Utolsó frissítés :
27/01/2026
Antibiotikum   Tobramycin sulfate  
Injekció
aeroszol belsőleges oldat Szemcsepp
Az oldatok stabilitása A keverékek stabilitása Stabilitást befolyásoló tényezők Kompatibilitás Az alkalmazás módja Irodalom pdf
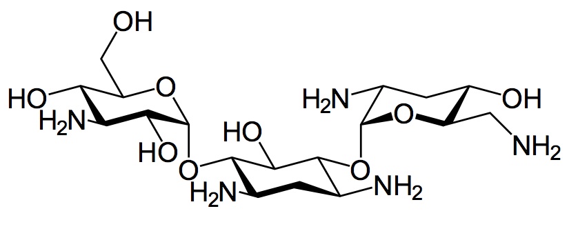
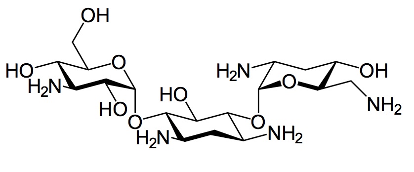
   Kémiai szerkezet   

Kereskedelmi név   Kereskedelmi név     

A kereskedelmi név meghatározó jelentőségű: a készítmények összetétele országonként, előállítóként eltérő lehet

Bactob India
Beltob India
Bramicil Olaszország
Brulamycin Magyarország, Malaysia, Szlovénia
Eltol India
Fytobra India
Gernebcin Németország
Komitob India
Nebcin Egyesült Arab Emírségek, Egyiptom, Görögország, Nagy-Britannia, Szaúd-Arábiában, új-Zéland
Nebcina Dánia, Marokkó, Norvégia, Svédország
Nebcine Franciaország, Marokkó, Szlovénia
Nebicina Olaszország
Obracin Belgium, Hollandia, Luxemburg, Svájc
Tobracin Brazília, Egyiptom, Szaúd-Arábiában
Tobramicina Argentína, Brazília, Chile, Colombia, Ecuador, Olaszország, Portugália, Spanyolország
Tobramina Brazília
Tobramycin Amerikai Egyesült Államok, Ausztrália, Írország, Kanada, Nagy-Britannia, Németország, Norvégia, Szaúd-Arábiában
Tobramycine Franciaország, Hollandia, Írország
Tobrasix Ausztria
Tobrazid Németország
Az oldatok stabilitása   Injekció   Az oldatok stabilitása : Tobramycin sulfate     
Csomagolás Oldószer Koncentráció Hőmérséklet Tárolás A stabilitás időtartama Irodalom
Poli(vinilklorid) 0,9% nátrium-klorid 1 & 10 mg/ml 25°C Nincs meghatározva
3 Nap
13
Szintű bizonyítékot B

Poli(vinilklorid) 0,9% nátrium-klorid 1 & 10 mg/ml 5°C Fénytől védve tartandó
14 Nap
13
Szintű bizonyítékot B

Poli(vinilklorid) 0,9% nátrium-klorid 1,2 mg/ml -20°C Fénytől védve tartandó
28 Nap
565
Szintű bizonyítékot D

Poli(vinilklorid) 0,9% nátrium-klorid 1,2 mg/ml 25°C Fény
48 Óra
434

Poli(vinilklorid) 0,9% nátrium-klorid 1,2 mg/ml 4°C Fénytől védve tartandó
48 Óra
434

Poli(vinilklorid) 5% glükóz 1,2 mg/ml -20°C Fénytől védve tartandó
28 Nap
565
Szintű bizonyítékot D

Poli(vinilklorid) 5% glükóz 1,2 mg/ml 25°C Fény
48 Óra
434

Poli(vinilklorid) 5% glükóz 1,2 mg/ml 4°C Fénytől védve tartandó
48 Óra
434

Poli(vinilklorid) 5% glükóz 3,2 mg/ml -20°C Fénytől védve tartandó
30 Nap
575
Biológiai elemzés

Etilén-vinilacetát 0,9% nátrium-klorid 0,95 mg/ml 23°C Fénytől védve tartandó
7 Nap
1704
Szintű bizonyítékot A+

Etilén-vinilacetát 0,9% nátrium-klorid 0,95 mg/ml 4°C Fénytől védve tartandó
30 Nap
1704
Szintű bizonyítékot A+

fecskendő polipropilén Injekcióhoz való víz 40 mg/ml 25°C Nincs meghatározva
60 Nap
709
Biológiai elemzés

fecskendő polipropilén Injekcióhoz való víz 40 mg/ml 4°C Fénytől védve tartandó
60 Nap
709
Biológiai elemzés

fecskendő polipropilén 0,9% nátrium-klorid 30 mg/ml 22°C-23°C Fény
48 Óra
639
Szintű bizonyítékot D

Poliizoprén elasztomer 0,9% nátrium-klorid 0,5 & 5 mg/ml 25°C Nincs meghatározva
24 Óra
604
Gyártó stabilitási adatokra

Poliizoprén elasztomer 0,9% nátrium-klorid 0,5 & 5 mg/ml 4°C Fénytől védve tartandó
10 Nap
604
Gyártó stabilitási adatokra

Poliizoprén elasztomer 5% glükóz 0,5 & 5 mg/ml 25°C Nincs meghatározva
24 Óra
604
Gyártó stabilitási adatokra

Poliizoprén elasztomer 5% glükóz 0,5 & 5 mg/ml 4°C Fénytől védve tartandó
10 Nap
604
Gyártó stabilitási adatokra


  Mentions Légales