最新更新 :
27/01/2026
抗菌薬   Tobramycin sulfate  
注射薬
エアロゾル 点眼薬 経口液
溶媒内の安定性 混合時の安定性 安定性に影響する因子 互換性 投与経路 引用文献 PDF
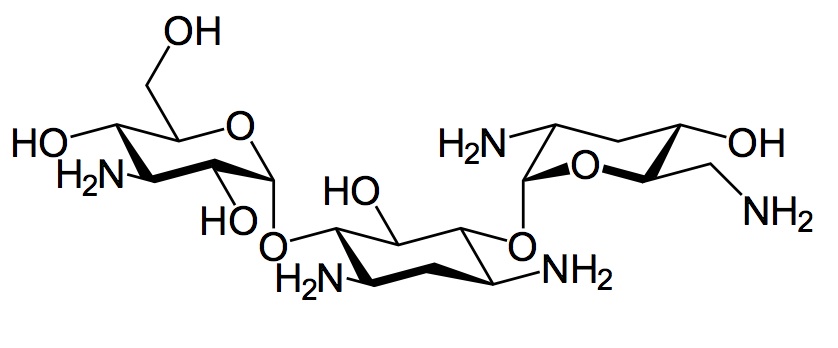
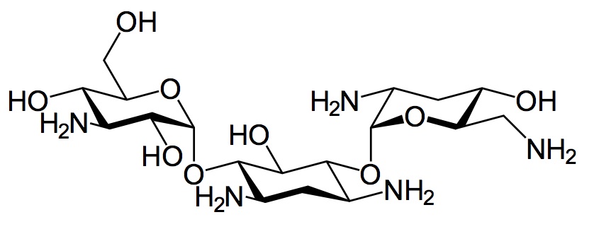
   化学構造  

商品名   商品名     

商品名、賦形剤は国、製薬会社ごとに異なることがあります

Bactob インド
Beltob インド
Bramicil イタリア
Brulamycin スロベニア, ハンガリー, マレーシア
Eltol インド
Fytobra インド
Gernebcin ドイツ
Komitob インド
Nebcin アラブ首長国連邦, イギリス, エジプト, ギリシア, サウジアラビア, ニュージーランド
Nebcina スウェーデン, デンマーク, ノルウェー, モロッコ
Nebcine スロベニア, フランス, モロッコ
Nebicina イタリア
Obracin オランダ, スイス, ベルギー, ルクセンブルグ
Tobracin エジプト, サウジアラビア, ブラジル
Tobramicina アルゼンチン, イタリア, エクアドル, コロンビア, スペイン, チリ, ブラジル, ポルトガル
Tobramina ブラジル
Tobramycin アイルランド, アメリカ, アーストラリア, イギリス, カナダ, サウジアラビア, ドイツ, ノルウェー
Tobramycine アイルランド, オランダ, フランス
Tobrasix オーストリア
Tobrazid ドイツ
溶媒内の安定性   注射薬   溶媒内の安定性 : Tobramycin sulfate     
容器 溶媒 濃度 温度 保管 安定期間 引用文献
ポリ塩化ビニル(PVC) NaCl 0,9% 1 & 10 mg/ml 25°C 特記なし
3 日
13
エビデンスレベル B

ポリ塩化ビニル(PVC) NaCl 0,9% 1 & 10 mg/ml 5°C 遮光
14 日
13
エビデンスレベル B

ポリ塩化ビニル(PVC) NaCl 0,9% 1,2 mg/ml -20°C 遮光
28 日
565
エビデンスレベル D

ポリ塩化ビニル(PVC) NaCl 0,9% 1,2 mg/ml 25°C 光
48 時間
434

ポリ塩化ビニル(PVC) NaCl 0,9% 1,2 mg/ml 4°C 遮光
48 時間
434

ポリ塩化ビニル(PVC) グルコース5% 1,2 mg/ml -20°C 遮光
28 日
565
エビデンスレベル D

ポリ塩化ビニル(PVC) グルコース5% 1,2 mg/ml 25°C 光
48 時間
434

ポリ塩化ビニル(PVC) グルコース5% 1,2 mg/ml 4°C 遮光
48 時間
434

ポリ塩化ビニル(PVC) グルコース5% 3,2 mg/ml -20°C 遮光
30 日
575
生物学的分析

エチレン酢酸ビニル NaCl 0,9% 0,95 mg/ml 23°C 遮光
7 日
1704
エビデンスレベル A+

エチレン酢酸ビニル NaCl 0,9% 0,95 mg/ml 4°C 遮光
30 日
1704
エビデンスレベル A+

シリンジ ポリプロピレン 注射用水 40 mg/ml 25°C 特記なし
60 日
709
生物学的分析

シリンジ ポリプロピレン 注射用水 40 mg/ml 4°C 遮光
60 日
709
生物学的分析

シリンジ ポリプロピレン NaCl 0,9% 30 mg/ml 22°C-23°C 光
48 時間
639
エビデンスレベル D

ポリイソプレンエラストマー NaCl 0,9% 0,5 & 5 mg/ml 25°C 特記なし
24 時間
604
製薬会社の安定性データ

ポリイソプレンエラストマー NaCl 0,9% 0,5 & 5 mg/ml 4°C 遮光
10 日
604
製薬会社の安定性データ

ポリイソプレンエラストマー グルコース5% 0,5 & 5 mg/ml 25°C 特記なし
24 時間
604
製薬会社の安定性データ

ポリイソプレンエラストマー グルコース5% 0,5 & 5 mg/ml 4°C 遮光
10 日
604
製薬会社の安定性データ


  Mentions Légales