Zadnji put ažurirano :
31/03/2026
antibiotik   Tobramycin sulfate  
injekcija
aerosol kapi za oko oralna otopina
Stabilizacija rješenja Stabilnost mješavine Stabilizacijski faktor Kompatibilnosti način davanja lijeka Bibliografija pdf
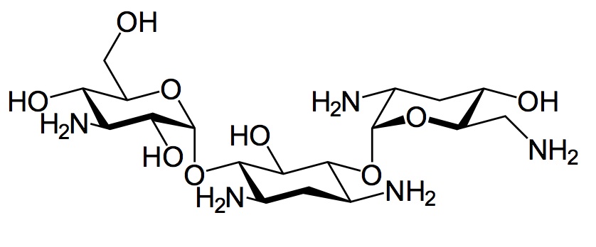
   Kemijska struktura  

Nekomercijalni   Nekomercijalni     

Zaštićeni nazivi su indikativni i sastav ekscipijensa može biti različit ovisno o državi i laboratorijima

Bactob Indija
Beltob Indija
Bramicil Italija
Brulamycin Madžarska, Malezija, Slovenija
Eltol Indija
Fytobra Indija
Gernebcin Njemačka
Komitob Indija
Nebcin Egipat, Grčka, novi Zeland, Saudijska Arabija, Ujedinjeni Arapski Emirati, Velika Britanija
Nebcina Danska, Maroko, Norveška, Švedska
Nebcine Francuska, Maroko, Slovenija
Nebicina Italija
Obracin Belgija, Luksemburg, Nizozemska, Švicarska
Tobracin Brazil, Egipat, Saudijska Arabija
Tobramicina Argentina, Brazil, Čile, Ekvador, Italija, Kolumbija, Portugal, Španjolska
Tobramina Brazil
Tobramycin Australija, Irska, Kanada, Njemačka, Norveška, S A D, Saudijska Arabija, Velika Britanija
Tobramycine Francuska, Irska, Nizozemska
Tobrasix Austrija
Tobrazid Njemačka
Stabilizacija rješenja   injekcija   Stabilizacija rješenja : Tobramycin sulfate     
Kontejner sredstvo za rastapanje koncentracija temperatura Konzerviranje Trajanje stabilnosti Bibliografija
polivinilklorid natrijumkorid 0,9% 1 & 10 mg/ml 25°C nespecifičan
3 dan
13
Razina dokaza B

polivinilklorid natrijumkorid 0,9% 1 & 10 mg/ml 5°C Zaštićeno od svjetlosti
14 dan
13
Razina dokaza B

polivinilklorid natrijumkorid 0,9% 1,2 mg/ml -20°C Zaštićeno od svjetlosti
28 dan
565
Razina dokaza D

polivinilklorid natrijumkorid 0,9% 1,2 mg/ml 25°C svjetlost
48 sat
434

polivinilklorid natrijumkorid 0,9% 1,2 mg/ml 4°C Zaštićeno od svjetlosti
48 sat
434

polivinilklorid glukoza 5% 1,2 mg/ml -20°C Zaštićeno od svjetlosti
28 dan
565
Razina dokaza D

polivinilklorid glukoza 5% 1,2 mg/ml 25°C svjetlost
48 sat
434

polivinilklorid glukoza 5% 1,2 mg/ml 4°C Zaštićeno od svjetlosti
48 sat
434

polivinilklorid glukoza 5% 3,2 mg/ml -20°C Zaštićeno od svjetlosti
30 dan
575
Biološka metoda

etilvinilacetat natrijumkorid 0,9% 0,95 mg/ml 23°C Zaštićeno od svjetlosti
7 dan
1704
Razina dokaza A+

etilvinilacetat natrijumkorid 0,9% 0,95 mg/ml 4°C Zaštićeno od svjetlosti
30 dan
1704
Razina dokaza A+

špric polipropilen čista voda za injektiranje 40 mg/ml 25°C nespecifičan
60 dan
709
Biološka metoda

špric polipropilen čista voda za injektiranje 40 mg/ml 4°C Zaštićeno od svjetlosti
60 dan
709
Biološka metoda

špric polipropilen natrijumkorid 0,9% 30 mg/ml 22°C-23°C svjetlost
48 sat
639
Razina dokaza D

Poliizoprenski elastomer natrijumkorid 0,9% 0,5 & 5 mg/ml 25°C nespecifičan
24 sat
604
Podaci proizvođača o stabilnosti

Poliizoprenski elastomer natrijumkorid 0,9% 0,5 & 5 mg/ml 4°C Zaštićeno od svjetlosti
10 dan
604
Podaci proizvođača o stabilnosti

Poliizoprenski elastomer glukoza 5% 0,5 & 5 mg/ml 25°C nespecifičan
24 sat
604
Podaci proizvođača o stabilnosti

Poliizoprenski elastomer glukoza 5% 0,5 & 5 mg/ml 4°C Zaštićeno od svjetlosti
10 dan
604
Podaci proizvođača o stabilnosti


  Mentions Légales