Utolsó frissítés :
17/12/2025
Antibiotikum   Piperacillin sodium / tazobactam  
Injekció
Az oldatok stabilitása A keverékek stabilitása Stabilitást befolyásoló tényezők Kompatibilitás Az alkalmazás módja Irodalom pdf
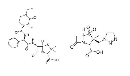
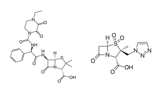
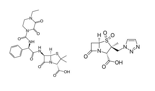
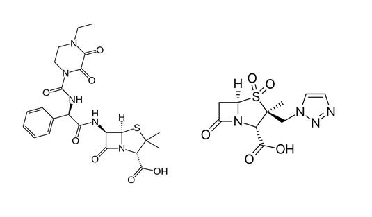
   Kémiai szerkezet   

Kereskedelmi név   Kereskedelmi név     

A kereskedelmi név meghatározó jelentőségű: a készítmények összetétele országonként, előállítóként eltérő lehet

Bagotaz Argentína
Betampil Ecuador
Bioval Chile
Petezam Argentína
Piperac Németország
Piperacillin tazobactam Belgium, Kanada, Németország
Piperazam Brazília
Pipetazo Chile
Pipitaz Ausztria
Pixamol Colombia
Tazobac Ecuador, Olaszország, Portugália, Svájc
Tazocel Spanyolország
Tazocilline Franciaország
Tazocin Argentína, Ausztrália, Brazília, Colombia, Dánia, Dél-Afrikai Köztársaság, Egyesült Arab Emírségek, Egyiptom, Észak-Írország, Finnország, Görögország, Hollandia, Horvátország, Lengyelország, Luxemburg, Magyarország, Mexikó, Nagy-Britannia, Norvégia, Olaszország, Peru, Svédország, Törökország, új-Zéland
Tazonam Ausztria, Chile
Tazopip Ausztrália
Tazpen Colombia, Mexikó
Tazrobida Colombia
Tigux Chile
Tratac Chile
Trital Ecuador
Zosyn Amerikai Egyesült Államok, Japán
A keverékek stabilitása   Injekció   A keverékek stabilitása : Piperacillin sodium / tazobactam     
Csomagolás Oldószer Koncentráció Vegyület Hőmérséklet Tárolás A stabilitás időtartama Irodalom
Üveg 0,9% nátrium-klorid 80/10 mg/ml
Injekció   Piperacillin sodium / tazobactam   
Injekció   Ranitidine hydrochloride 0,5 & 2 mg/ml
23°C
4 Óra
Fény 235
Szintű bizonyítékot B
Üveg 0,9% nátrium-klorid 20/2,5 >> 40/5 mg/ml
Injekció   Piperacillin sodium / tazobactam   
Injekció   Ondansetron hydrochloride 0,015 >> 0,15 mg/ml
23°C
4 Óra
Fény 16
Poli(vinilklorid) Dianéal® PD1 1.5% glükóz (Baxter) 0,5/0,0625 mg/ml
Injekció   Piperacillin sodium / tazobactam   
Injekció   Heparin sodium 0,5 UI/ml
37°C
10 Óra
Nincs meghatározva 4180
Szintű bizonyítékot B
Poli(vinilklorid) Dianéal® PD1 1.5% glükóz (Baxter) 0,5/0,0625 mg/ml
Injekció   Piperacillin sodium / tazobactam   
Injekció   Heparin sodium 0,5 UI/ml
4°C
168 Óra
Nincs meghatározva 4180
Szintű bizonyítékot B
Poli(vinilklorid) Dianéal® PD2 4.25% glükóz (Baxter) 0,5/0,0625 mg/ml
Injekció   Piperacillin sodium / tazobactam   
Injekció   Heparin sodium 0,5 UI/ml
37°C
10 Óra
Nincs meghatározva 4180
Szintű bizonyítékot B
Poli(vinilklorid) Dianéal® PD2 4.25% glükóz (Baxter) 0,5/0,0625 mg/ml
Injekció   Piperacillin sodium / tazobactam   
Injekció   Heparin sodium 0,5 UI/ml
4°C
168 Óra
Nincs meghatározva 4180
Szintű bizonyítékot B
Poli(vinilklorid) Dianéal® PD2 2.5% glucose (Baxter) 0,5/0,0625 mg/ml
Injekció   Piperacillin sodium / tazobactam   
Injekció   Heparin sodium 0,5 UI/ml
37°C
10 Óra
Nincs meghatározva 4180
Szintű bizonyítékot B
Poli(vinilklorid) Dianéal® PD2 2.5% glucose (Baxter) 0,5/0,0625 mg/ml
Injekció   Piperacillin sodium / tazobactam   
Injekció   Heparin sodium 0,5 UI/ml
4°C
168 Óra
Nincs meghatározva 4180
Szintű bizonyítékot B
Poli(vinilklorid) Extraneal® (Baxter) 0,5/0,0625 mg/ml
Injekció   Piperacillin sodium / tazobactam   
Injekció   Heparin sodium 0,5 UI/ml
37°C
10 Óra
Nincs meghatározva 4180
Szintű bizonyítékot B
Poli(vinilklorid) Extraneal® (Baxter) 0,5/0,0625 mg/ml
Injekció   Piperacillin sodium / tazobactam   
Injekció   Heparin sodium 0,5 UI/ml
4°C
168 Óra
Nincs meghatározva 4180
Szintű bizonyítékot B
Poli(vinilklorid) Physionéal® 1.36 (Baxter) 1,38/0,172 mg/ml
Injekció   Piperacillin sodium / tazobactam   
Injekció   Heparin sodium 1,4 UI/ml
37°C
10 Óra
Nincs meghatározva 4180
Szintű bizonyítékot B
Poli(vinilklorid) Physionéal® 1.36 (Baxter) 1,38/0,172 mg/ml
Injekció   Piperacillin sodium / tazobactam   
Injekció   Heparin sodium 1,4 UI/ml
4°C
168 Óra
Nincs meghatározva 4180
Szintű bizonyítékot B
Poli(vinilklorid) Physionéal® 2.27 (Baxter) 1,38/0,172 mg/ml
Injekció   Piperacillin sodium / tazobactam   
Injekció   Heparin sodium 1,4 UI/ml
37°C
10 Óra
Nincs meghatározva 4180
Szintű bizonyítékot B
Poli(vinilklorid) Physionéal® 2.27 (Baxter) 1,38/0,172 mg/ml
Injekció   Piperacillin sodium / tazobactam   
Injekció   Heparin sodium 1,4 UI/ml
4°C
168 Óra
Nincs meghatározva 4180
Szintű bizonyítékot B
Poli(vinilklorid) Physionéal® 3.86 (Baxter) 1,38/0,172 mg/ml
Injekció   Piperacillin sodium / tazobactam   
Injekció   Heparin sodium 1,4 UI/ml
37°C
10 Óra
Nincs meghatározva 4180
Szintű bizonyítékot B
Poli(vinilklorid) Physionéal® 3.86 (Baxter) 1,38/0,172 mg/ml
Injekció   Piperacillin sodium / tazobactam   
Injekció   Heparin sodium 1,4 UI/ml
4°C
168 Óra
Nincs meghatározva 4180
Szintű bizonyítékot B
Polipropilén 0,9% nátrium-klorid 20 / 2.5 mg/ml
Injekció   Piperacillin sodium / tazobactam   
Injekció   Norepinephrine bitartrate 0,032 mg/ml
22-23°C
24 Óra
Fénytől védve tartandó 4758
Szintű bizonyítékot B
fecskendő polipropilén Injekcióhoz való víz 90/10 mg/ml
Injekció   Piperacillin sodium / tazobactam   
Injekció   Paracetamol 10 mg/ml
25°C
4 Óra
Nincs meghatározva 3571
Szintű bizonyítékot A+

  Mentions Légales