Ostatnia aktualizacja :
17/12/2025
Antybiotyk   Piperacillin sodium / tazobactam  
Injekcje
Trwałość roztworów Trwałość w mieszaninie Czynnik wpływający na trwałość Zgodność Sposób podania Bibliografia pdf
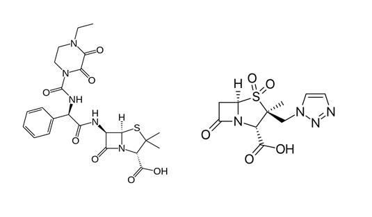
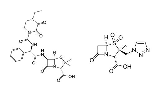
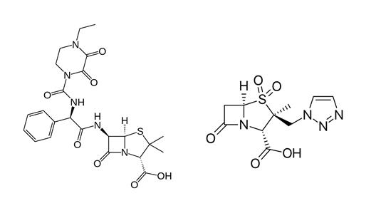
   Struktura chemiczna  

Nazwa handlowa   Nazwa handlowa     

Trade names are indicative and excipients composition can be different depending on the country and manufacturers

Bagotaz Argentyna
Betampil Ekwador
Bioval Chile
Petezam Argentyna
Piperac Niemcy
Piperacillin tazobactam Belgia, Kanada, Niemcy
Piperazam Brazylia
Pipetazo Chile
Pipitaz Austria
Pixamol KolumbiaKolumbia
Tazobac Ekwador, Portugalia, Szwajcaria, Włochy
Tazocel Hiszpania
Tazocilline Francja
Tazocin Afryka Południowa, Argentyna, Australia, Brazylia, Chorwacja, Dania, Egipt, Finlandia, Grecja, Holandia, Irlandia Północna, KolumbiaKolumbia, Luksemburg, Meksyk, Norwegia, nowa Zelandia, Peru, Polska, Szwecja, Turcja, Węgry, Wielka Brytania, Włochy, Zjednoczone Emiraty Arabskie
Tazonam Austria, Chile
Tazopip Australia
Tazpen KolumbiaKolumbia, Meksyk
Tazrobida KolumbiaKolumbia
Tigux Chile
Tratac Chile
Trital Ekwador
Zosyn Japonia, Stany Zjednoczone Ameryki
Trwałość w mieszaninie   Injekcje   Trwałość w mieszaninie : Piperacillin sodium / tazobactam     
Pojemnik Rozpuszczalnik Stężenie Związek Temperatura Przechowywanie Czas trwania stabilności Bibliografia
Szkło Chlorek sodu 0,9% 80/10 mg/ml
Injekcje   Piperacillin sodium / tazobactam   
Injekcje   Ranitidine hydrochloride 0,5 & 2 mg/ml
23°C
4 Godzina
światło 235
Poziom wiarygodności B
Szkło Chlorek sodu 0,9% 20/2,5 >> 40/5 mg/ml
Injekcje   Piperacillin sodium / tazobactam   
Injekcje   Ondansetron hydrochloride 0,015 >> 0,15 mg/ml
23°C
4 Godzina
światło 16
Polichlorek winylu Dianéal® PD1 1.5% Glukoza (Baxter) 0,5/0,0625 mg/ml
Injekcje   Piperacillin sodium / tazobactam   
Injekcje   Heparin sodium 0,5 UI/ml
37°C
10 Godzina
Nie wyszczególniony 4180
Poziom wiarygodności B
Polichlorek winylu Dianéal® PD1 1.5% Glukoza (Baxter) 0,5/0,0625 mg/ml
Injekcje   Piperacillin sodium / tazobactam   
Injekcje   Heparin sodium 0,5 UI/ml
4°C
168 Godzina
Nie wyszczególniony 4180
Poziom wiarygodności B
Polichlorek winylu Dianéal® PD2 4.25% Glukoza (Baxter) 0,5/0,0625 mg/ml
Injekcje   Piperacillin sodium / tazobactam   
Injekcje   Heparin sodium 0,5 UI/ml
37°C
10 Godzina
Nie wyszczególniony 4180
Poziom wiarygodności B
Polichlorek winylu Dianéal® PD2 4.25% Glukoza (Baxter) 0,5/0,0625 mg/ml
Injekcje   Piperacillin sodium / tazobactam   
Injekcje   Heparin sodium 0,5 UI/ml
4°C
168 Godzina
Nie wyszczególniony 4180
Poziom wiarygodności B
Polichlorek winylu Dianéal® PD2 2.5% glucose (Baxter) 0,5/0,0625 mg/ml
Injekcje   Piperacillin sodium / tazobactam   
Injekcje   Heparin sodium 0,5 UI/ml
37°C
10 Godzina
Nie wyszczególniony 4180
Poziom wiarygodności B
Polichlorek winylu Dianéal® PD2 2.5% glucose (Baxter) 0,5/0,0625 mg/ml
Injekcje   Piperacillin sodium / tazobactam   
Injekcje   Heparin sodium 0,5 UI/ml
4°C
168 Godzina
Nie wyszczególniony 4180
Poziom wiarygodności B
Polichlorek winylu Extraneal® (Baxter) 0,5/0,0625 mg/ml
Injekcje   Piperacillin sodium / tazobactam   
Injekcje   Heparin sodium 0,5 UI/ml
37°C
10 Godzina
Nie wyszczególniony 4180
Poziom wiarygodności B
Polichlorek winylu Extraneal® (Baxter) 0,5/0,0625 mg/ml
Injekcje   Piperacillin sodium / tazobactam   
Injekcje   Heparin sodium 0,5 UI/ml
4°C
168 Godzina
Nie wyszczególniony 4180
Poziom wiarygodności B
Polichlorek winylu Physionéal® 1.36 (Baxter) 1,38/0,172 mg/ml
Injekcje   Piperacillin sodium / tazobactam   
Injekcje   Heparin sodium 1,4 UI/ml
37°C
10 Godzina
Nie wyszczególniony 4180
Poziom wiarygodności B
Polichlorek winylu Physionéal® 1.36 (Baxter) 1,38/0,172 mg/ml
Injekcje   Piperacillin sodium / tazobactam   
Injekcje   Heparin sodium 1,4 UI/ml
4°C
168 Godzina
Nie wyszczególniony 4180
Poziom wiarygodności B
Polichlorek winylu Physionéal® 2.27 (Baxter) 1,38/0,172 mg/ml
Injekcje   Piperacillin sodium / tazobactam   
Injekcje   Heparin sodium 1,4 UI/ml
37°C
10 Godzina
Nie wyszczególniony 4180
Poziom wiarygodności B
Polichlorek winylu Physionéal® 2.27 (Baxter) 1,38/0,172 mg/ml
Injekcje   Piperacillin sodium / tazobactam   
Injekcje   Heparin sodium 1,4 UI/ml
4°C
168 Godzina
Nie wyszczególniony 4180
Poziom wiarygodności B
Polichlorek winylu Physionéal® 3.86 (Baxter) 1,38/0,172 mg/ml
Injekcje   Piperacillin sodium / tazobactam   
Injekcje   Heparin sodium 1,4 UI/ml
37°C
10 Godzina
Nie wyszczególniony 4180
Poziom wiarygodności B
Polichlorek winylu Physionéal® 3.86 (Baxter) 1,38/0,172 mg/ml
Injekcje   Piperacillin sodium / tazobactam   
Injekcje   Heparin sodium 1,4 UI/ml
4°C
168 Godzina
Nie wyszczególniony 4180
Poziom wiarygodności B
Polipropylen Chlorek sodu 0,9% 20 / 2.5 mg/ml
Injekcje   Piperacillin sodium / tazobactam   
Injekcje   Norepinephrine bitartrate 0,032 mg/ml
22-23°C
24 Godzina
Chronić od światła 4758
Poziom wiarygodności B
Strzykawka Woda do wstrzyknięć 90/10 mg/ml
Injekcje   Piperacillin sodium / tazobactam   
Injekcje   Paracetamol 10 mg/ml
25°C
4 Godzina
Nie wyszczególniony 3571
Poziom wiarygodności A+

  Mentions Légales