Siste oppdatering :
27/11/2025
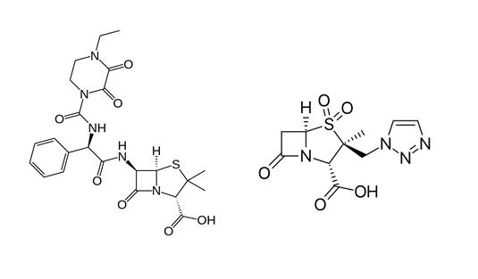
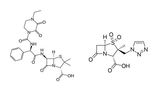
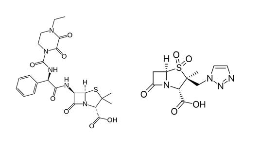
Antibiotika   Piperacillin sodium / tazobactam  
Injeksjon
Oppløsningsstabilitet Stabilitet i blandinger Faktorer som påvirker stabiliteten Kompatibilitet Administrasjonsmåte Referanser pdf
   Kjemisk struktur  

Handelsnavn   Handelsnavn     

Handelsnavn er veiledende og sammensetning av hjelpestoffer kan være forskjellig avhengig av land og produsent

Bagotaz Argentina
Betampil Ecuador
Bioval Chile
Petezam Argentina
Piperac Tyskland
Piperacillin tazobactam Belgia, Canada, Tyskland
Piperazam Brasil
Pipetazo Chile
Pipitaz Østerrike
Pixamol Colombia
Tazobac Ecuador, Italia, Portugal, Sveits
Tazocel Spania
Tazocilline Frankrike
Tazocin Argentina, Australia, Brasil, Colombia, Danmark, De forente arabiske emirater, Egypt, Finland, Hellas, Italia, Kroatia, Luxembourg, Mexico, Nederland, New Zealand, Nord-Irland, Norge, Peru, Polen, Storbritannia, Sverige, Sør-Afrika, Tyrkia, Ungarn
Tazonam Chile, Østerrike
Tazopip Australia
Tazpen Colombia, Mexico
Tazrobida Colombia
Tigux Chile
Tratac Chile
Trital Ecuador
Zosyn Japan, USA
Stabilitet i blandinger   Injeksjon   Stabilitet i blandinger : Piperacillin sodium / tazobactam     
Beholder Oppløsningsmiddel Konsentrasjon Legemiddel Temperatur Oppbevaring Varighet av stabilitet Referanser
Glass Natriumklorid 0,9 % 80/10 mg/ml
Injeksjon   Piperacillin sodium / tazobactam   
Injeksjon   Ranitidine hydrochloride 0,5 & 2 mg/ml
23°C
4 Tid
Lys 235
Bevisgrad B
Glass Natriumklorid 0,9 % 20/2,5 >> 40/5 mg/ml
Injeksjon   Piperacillin sodium / tazobactam   
Injeksjon   Ondansetron hydrochloride 0,015 >> 0,15 mg/ml
23°C
4 Tid
Lys 16
Polyvinylklorid Dianéal® PD1 1.5% Glukose (Baxter) 0,5/0,0625 mg/ml
Injeksjon   Piperacillin sodium / tazobactam   
Injeksjon   Heparin sodium 0,5 UI/ml
37°C
10 Tid
Ikke angitt 4180
Bevisgrad B
Polyvinylklorid Dianéal® PD1 1.5% Glukose (Baxter) 0,5/0,0625 mg/ml
Injeksjon   Piperacillin sodium / tazobactam   
Injeksjon   Heparin sodium 0,5 UI/ml
4°C
168 Tid
Ikke angitt 4180
Bevisgrad B
Polyvinylklorid Dianéal® PD2 4.25% Glukose (Baxter) 0,5/0,0625 mg/ml
Injeksjon   Piperacillin sodium / tazobactam   
Injeksjon   Heparin sodium 0,5 UI/ml
37°C
10 Tid
Ikke angitt 4180
Bevisgrad B
Polyvinylklorid Dianéal® PD2 4.25% Glukose (Baxter) 0,5/0,0625 mg/ml
Injeksjon   Piperacillin sodium / tazobactam   
Injeksjon   Heparin sodium 0,5 UI/ml
4°C
168 Tid
Ikke angitt 4180
Bevisgrad B
Polyvinylklorid Dianéal® PD2 2.5% glucose (Baxter) 0,5/0,0625 mg/ml
Injeksjon   Piperacillin sodium / tazobactam   
Injeksjon   Heparin sodium 0,5 UI/ml
37°C
10 Tid
Ikke angitt 4180
Bevisgrad B
Polyvinylklorid Dianéal® PD2 2.5% glucose (Baxter) 0,5/0,0625 mg/ml
Injeksjon   Piperacillin sodium / tazobactam   
Injeksjon   Heparin sodium 0,5 UI/ml
4°C
168 Tid
Ikke angitt 4180
Bevisgrad B
Polyvinylklorid Extraneal® (Baxter) 0,5/0,0625 mg/ml
Injeksjon   Piperacillin sodium / tazobactam   
Injeksjon   Heparin sodium 0,5 UI/ml
37°C
10 Tid
Ikke angitt 4180
Bevisgrad B
Polyvinylklorid Extraneal® (Baxter) 0,5/0,0625 mg/ml
Injeksjon   Piperacillin sodium / tazobactam   
Injeksjon   Heparin sodium 0,5 UI/ml
4°C
168 Tid
Ikke angitt 4180
Bevisgrad B
Polyvinylklorid Physionéal® 1.36 (Baxter) 1,38/0,172 mg/ml
Injeksjon   Piperacillin sodium / tazobactam   
Injeksjon   Heparin sodium 1,4 UI/ml
37°C
10 Tid
Ikke angitt 4180
Bevisgrad B
Polyvinylklorid Physionéal® 1.36 (Baxter) 1,38/0,172 mg/ml
Injeksjon   Piperacillin sodium / tazobactam   
Injeksjon   Heparin sodium 1,4 UI/ml
4°C
168 Tid
Ikke angitt 4180
Bevisgrad B
Polyvinylklorid Physionéal® 2.27 (Baxter) 1,38/0,172 mg/ml
Injeksjon   Piperacillin sodium / tazobactam   
Injeksjon   Heparin sodium 1,4 UI/ml
37°C
10 Tid
Ikke angitt 4180
Bevisgrad B
Polyvinylklorid Physionéal® 2.27 (Baxter) 1,38/0,172 mg/ml
Injeksjon   Piperacillin sodium / tazobactam   
Injeksjon   Heparin sodium 1,4 UI/ml
4°C
168 Tid
Ikke angitt 4180
Bevisgrad B
Polyvinylklorid Physionéal® 3.86 (Baxter) 1,38/0,172 mg/ml
Injeksjon   Piperacillin sodium / tazobactam   
Injeksjon   Heparin sodium 1,4 UI/ml
37°C
10 Tid
Ikke angitt 4180
Bevisgrad B
Polyvinylklorid Physionéal® 3.86 (Baxter) 1,38/0,172 mg/ml
Injeksjon   Piperacillin sodium / tazobactam   
Injeksjon   Heparin sodium 1,4 UI/ml
4°C
168 Tid
Ikke angitt 4180
Bevisgrad B
Polypropylen Natriumklorid 0,9 % 20 / 2.5 mg/ml
Injeksjon   Piperacillin sodium / tazobactam   
Injeksjon   Norepinephrine bitartrate 0,032 mg/ml
22-23°C
24 Tid
Beskyttes mot lys 4758
Bevisgrad B
Sprøyte polypropylen Vann til injeksjon 90/10 mg/ml
Injeksjon   Piperacillin sodium / tazobactam   
Injeksjon   Paracetamol 10 mg/ml
25°C
4 Tid
Ikke angitt 3571
Bevisgrad A +

  Mentions Légales