Laatste update :
27/11/2025
Antibioticum   Piperacillin sodium / tazobactam  
injecteerbaar geneesmiddel
Stabiliteit in oplossing Stabiliteit in mengsels Factoren die de stabiliteit beïnvloeden Verenigbaarheden Toedieningswijze Literatuur pdf
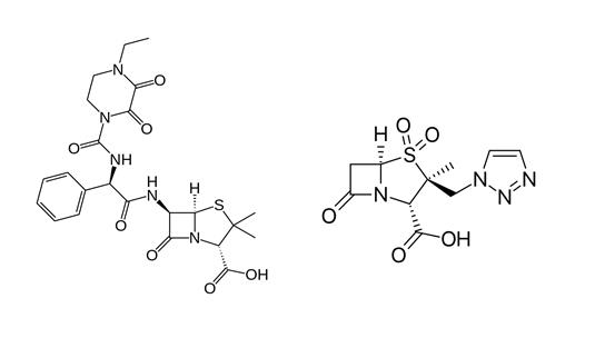
   Molecuulstructuur  

Merknamen in verschillende landen   Merknamen in verschillende landen     

Handelsnamen zijn slechts een indicatie; de samenstelling van hulpstoffen kan per land variëren afhankelijk van de fabrikant

Bagotaz Argentinië
Betampil Ecuador
Bioval Chili
Petezam Argentinië
Piperac Duitsland
Piperacillin tazobactam België, Canada, Duitsland
Piperazam Brazilië
Pipetazo Chili
Pipitaz Oostenrijk
Pixamol Colombia
Tazobac Ecuador, Italië, Portugal, Zwitserland
Tazocel Spanje
Tazocilline Frankrijk
Tazocin Argentinië, Australië, Brazilië, Colombia, Denemarken, Egypte, Finland, Griekenland, Groot Britannië, Hongarije, Italië, Kroatië, Luxemburg, Mexico, Nederland, nieuw Zeeland, Noord-ierland, Noorwegen, Peru, Polen, Turkije, Verenigde Arabische Emiraten, Zuid-Afrika, Zweden
Tazonam Chili, Oostenrijk
Tazopip Australië
Tazpen Colombia, Mexico
Tazrobida Colombia
Tigux Chili
Tratac Chili
Trital Ecuador
Zosyn Japan, USA
Stabiliteit in mengsels   injecteerbaar geneesmiddel   Stabiliteit in mengsels : Piperacillin sodium / tazobactam     
Verpakking Oplosmiddel Concentratie Stof Temperatuur Bewaring Duur van de stabiliteit Literatuur
Glas Natriumchloride 0,9% 80/10 mg/ml
injecteerbaar geneesmiddel   Piperacillin sodium / tazobactam   
injecteerbaar geneesmiddel   Ranitidine hydrochloride 0,5 & 2 mg/ml
23°C
4 Uur
Licht 235
Bewijsniveau B
Glas Natriumchloride 0,9% 20/2,5 >> 40/5 mg/ml
injecteerbaar geneesmiddel   Piperacillin sodium / tazobactam   
injecteerbaar geneesmiddel   Ondansetron hydrochloride 0,015 >> 0,15 mg/ml
23°C
4 Uur
Licht 16
Polyvinylchloride (PVC) Dianéal® PD1 1.5% Glucose (Baxter) 0,5/0,0625 mg/ml
injecteerbaar geneesmiddel   Piperacillin sodium / tazobactam   
injecteerbaar geneesmiddel   Heparin sodium 0,5 UI/ml
37°C
10 Uur
Niet gespecificeerd 4180
Bewijsniveau B
Polyvinylchloride (PVC) Dianéal® PD1 1.5% Glucose (Baxter) 0,5/0,0625 mg/ml
injecteerbaar geneesmiddel   Piperacillin sodium / tazobactam   
injecteerbaar geneesmiddel   Heparin sodium 0,5 UI/ml
4°C
168 Uur
Niet gespecificeerd 4180
Bewijsniveau B
Polyvinylchloride (PVC) Dianéal® PD2 4.25% Glucose (Baxter) 0,5/0,0625 mg/ml
injecteerbaar geneesmiddel   Piperacillin sodium / tazobactam   
injecteerbaar geneesmiddel   Heparin sodium 0,5 UI/ml
37°C
10 Uur
Niet gespecificeerd 4180
Bewijsniveau B
Polyvinylchloride (PVC) Dianéal® PD2 4.25% Glucose (Baxter) 0,5/0,0625 mg/ml
injecteerbaar geneesmiddel   Piperacillin sodium / tazobactam   
injecteerbaar geneesmiddel   Heparin sodium 0,5 UI/ml
4°C
168 Uur
Niet gespecificeerd 4180
Bewijsniveau B
Polyvinylchloride (PVC) Dianéal® PD2 2.5% glucose (Baxter) 0,5/0,0625 mg/ml
injecteerbaar geneesmiddel   Piperacillin sodium / tazobactam   
injecteerbaar geneesmiddel   Heparin sodium 0,5 UI/ml
37°C
10 Uur
Niet gespecificeerd 4180
Bewijsniveau B
Polyvinylchloride (PVC) Dianéal® PD2 2.5% glucose (Baxter) 0,5/0,0625 mg/ml
injecteerbaar geneesmiddel   Piperacillin sodium / tazobactam   
injecteerbaar geneesmiddel   Heparin sodium 0,5 UI/ml
4°C
168 Uur
Niet gespecificeerd 4180
Bewijsniveau B
Polyvinylchloride (PVC) Extraneal® (Baxter) 0,5/0,0625 mg/ml
injecteerbaar geneesmiddel   Piperacillin sodium / tazobactam   
injecteerbaar geneesmiddel   Heparin sodium 0,5 UI/ml
37°C
10 Uur
Niet gespecificeerd 4180
Bewijsniveau B
Polyvinylchloride (PVC) Extraneal® (Baxter) 0,5/0,0625 mg/ml
injecteerbaar geneesmiddel   Piperacillin sodium / tazobactam   
injecteerbaar geneesmiddel   Heparin sodium 0,5 UI/ml
4°C
168 Uur
Niet gespecificeerd 4180
Bewijsniveau B
Polyvinylchloride (PVC) Physionéal® 1.36 (Baxter) 1,38/0,172 mg/ml
injecteerbaar geneesmiddel   Piperacillin sodium / tazobactam   
injecteerbaar geneesmiddel   Heparin sodium 1,4 UI/ml
37°C
10 Uur
Niet gespecificeerd 4180
Bewijsniveau B
Polyvinylchloride (PVC) Physionéal® 1.36 (Baxter) 1,38/0,172 mg/ml
injecteerbaar geneesmiddel   Piperacillin sodium / tazobactam   
injecteerbaar geneesmiddel   Heparin sodium 1,4 UI/ml
4°C
168 Uur
Niet gespecificeerd 4180
Bewijsniveau B
Polyvinylchloride (PVC) Physionéal® 2.27 (Baxter) 1,38/0,172 mg/ml
injecteerbaar geneesmiddel   Piperacillin sodium / tazobactam   
injecteerbaar geneesmiddel   Heparin sodium 1,4 UI/ml
37°C
10 Uur
Niet gespecificeerd 4180
Bewijsniveau B
Polyvinylchloride (PVC) Physionéal® 2.27 (Baxter) 1,38/0,172 mg/ml
injecteerbaar geneesmiddel   Piperacillin sodium / tazobactam   
injecteerbaar geneesmiddel   Heparin sodium 1,4 UI/ml
4°C
168 Uur
Niet gespecificeerd 4180
Bewijsniveau B
Polyvinylchloride (PVC) Physionéal® 3.86 (Baxter) 1,38/0,172 mg/ml
injecteerbaar geneesmiddel   Piperacillin sodium / tazobactam   
injecteerbaar geneesmiddel   Heparin sodium 1,4 UI/ml
37°C
10 Uur
Niet gespecificeerd 4180
Bewijsniveau B
Polyvinylchloride (PVC) Physionéal® 3.86 (Baxter) 1,38/0,172 mg/ml
injecteerbaar geneesmiddel   Piperacillin sodium / tazobactam   
injecteerbaar geneesmiddel   Heparin sodium 1,4 UI/ml
4°C
168 Uur
Niet gespecificeerd 4180
Bewijsniveau B
Polypropyleen (PP) Natriumchloride 0,9% 20 / 2.5 mg/ml
injecteerbaar geneesmiddel   Piperacillin sodium / tazobactam   
injecteerbaar geneesmiddel   Norepinephrine bitartrate 0,032 mg/ml
22-23°C
24 Uur
Buiten invloed van licht 4758
Bewijsniveau B
injectiespuit polypropyleen Water voor injectie 90/10 mg/ml
injecteerbaar geneesmiddel   Piperacillin sodium / tazobactam   
injecteerbaar geneesmiddel   Paracetamol 10 mg/ml
25°C
4 Uur
Niet gespecificeerd 3571
Bewijsniveau A+

  Mentions Légales