最新更新 :
27/11/2025
抗生素   Piperacillin sodium / tazobactam  
注射液
溶液稳定性 混合物稳定性 影响稳定性的因素 兼容性 用药途径 引用文献 PDF
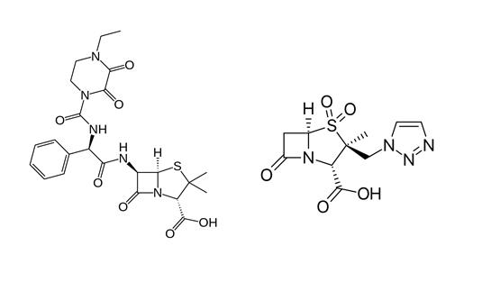
   化学式  

商品名   商品名     

商品名仅供参考, 药品所用的辅料可能依国家或厂商不同有所不同。

Bagotaz 阿根廷
Betampil 厄瓜多尔
Bioval 智利
Petezam 阿根廷
Piperac 德国
Piperacillin tazobactam 加拿大, 德国, 比利时
Piperazam 巴西
Pipetazo 智利
Pipitaz 奥地利
Pixamol 哥伦比亚
Tazobac 厄瓜多尔, 意大利, 瑞士, 葡萄牙
Tazocel 西班牙
Tazocilline 法国
Tazocin 丹麦, 克罗地亚, 匈牙利, 北愛爾蘭, 南非, 卢森堡, 哥伦比亚, 土耳其, 埃及, 墨西哥, 巴西, 希腊, 意大利, 挪威, 新西蘭, 波兰, 澳大利亚, 瑞典, 秘鲁, 芬兰, 英国, 荷兰, 阿根廷, 阿联酋
Tazonam 奥地利, 智利
Tazopip 澳大利亚
Tazpen 哥伦比亚, 墨西哥
Tazrobida 哥伦比亚
Tigux 智利
Tratac 智利
Trital 厄瓜多尔
Zosyn 日本, 美国
混合物稳定性   注射液   混合物稳定性 : Piperacillin sodium / tazobactam     
容器 溶剂 浓度 分子 温度 保存 穩定持續時間 引用文献
玻璃 NaCl 0,9% 80/10 mg/ml
注射液   Piperacillin sodium / tazobactam   
注射液   Ranitidine hydrochloride 0,5 & 2 mg/ml
23°C
4 小时
光 235
B级
玻璃 NaCl 0,9% 20/2,5 >> 40/5 mg/ml
注射液   Piperacillin sodium / tazobactam   
注射液   Ondansetron hydrochloride 0,015 >> 0,15 mg/ml
23°C
4 小时
光 16
聚氯乙烯 Dianéal® PD1 1.5% 葡萄糖 (Baxter) 0,5/0,0625 mg/ml
注射液   Piperacillin sodium / tazobactam   
注射液   Heparin sodium 0,5 UI/ml
37°C
10 小时
无特殊要求 4180
B级
聚氯乙烯 Dianéal® PD1 1.5% 葡萄糖 (Baxter) 0,5/0,0625 mg/ml
注射液   Piperacillin sodium / tazobactam   
注射液   Heparin sodium 0,5 UI/ml
4°C
168 小时
无特殊要求 4180
B级
聚氯乙烯 Dianéal® PD2 4.25% 葡萄糖(Baxter) 0,5/0,0625 mg/ml
注射液   Piperacillin sodium / tazobactam   
注射液   Heparin sodium 0,5 UI/ml
37°C
10 小时
无特殊要求 4180
B级
聚氯乙烯 Dianéal® PD2 4.25% 葡萄糖(Baxter) 0,5/0,0625 mg/ml
注射液   Piperacillin sodium / tazobactam   
注射液   Heparin sodium 0,5 UI/ml
4°C
168 小时
无特殊要求 4180
B级
聚氯乙烯 Dianéal® PD2 2.5% 葡萄糖 (Baxter) 0,5/0,0625 mg/ml
注射液   Piperacillin sodium / tazobactam   
注射液   Heparin sodium 0,5 UI/ml
37°C
10 小时
无特殊要求 4180
B级
聚氯乙烯 Dianéal® PD2 2.5% 葡萄糖 (Baxter) 0,5/0,0625 mg/ml
注射液   Piperacillin sodium / tazobactam   
注射液   Heparin sodium 0,5 UI/ml
4°C
168 小时
无特殊要求 4180
B级
聚氯乙烯 Extraneal® (Baxter) 0,5/0,0625 mg/ml
注射液   Piperacillin sodium / tazobactam   
注射液   Heparin sodium 0,5 UI/ml
37°C
10 小时
无特殊要求 4180
B级
聚氯乙烯 Extraneal® (Baxter) 0,5/0,0625 mg/ml
注射液   Piperacillin sodium / tazobactam   
注射液   Heparin sodium 0,5 UI/ml
4°C
168 小时
无特殊要求 4180
B级
聚氯乙烯 Physionéal® 1.36 (Baxter) 1,38/0,172 mg/ml
注射液   Piperacillin sodium / tazobactam   
注射液   Heparin sodium 1,4 UI/ml
37°C
10 小时
无特殊要求 4180
B级
聚氯乙烯 Physionéal® 1.36 (Baxter) 1,38/0,172 mg/ml
注射液   Piperacillin sodium / tazobactam   
注射液   Heparin sodium 1,4 UI/ml
4°C
168 小时
无特殊要求 4180
B级
聚氯乙烯 Physionéal® 2.27 (Baxter) 1,38/0,172 mg/ml
注射液   Piperacillin sodium / tazobactam   
注射液   Heparin sodium 1,4 UI/ml
37°C
10 小时
无特殊要求 4180
B级
聚氯乙烯 Physionéal® 2.27 (Baxter) 1,38/0,172 mg/ml
注射液   Piperacillin sodium / tazobactam   
注射液   Heparin sodium 1,4 UI/ml
4°C
168 小时
无特殊要求 4180
B级
聚氯乙烯 Physionéal® 3.86 (Baxter) 1,38/0,172 mg/ml
注射液   Piperacillin sodium / tazobactam   
注射液   Heparin sodium 1,4 UI/ml
37°C
10 小时
无特殊要求 4180
B级
聚氯乙烯 Physionéal® 3.86 (Baxter) 1,38/0,172 mg/ml
注射液   Piperacillin sodium / tazobactam   
注射液   Heparin sodium 1,4 UI/ml
4°C
168 小时
无特殊要求 4180
B级
聚丙烯 NaCl 0,9% 20 / 2.5 mg/ml
注射液   Piperacillin sodium / tazobactam   
注射液   Norepinephrine bitartrate 0,032 mg/ml
22-23°C
24 小时
避光 4758
B级
注射器  聚丙烯 注射用水 90/10 mg/ml
注射液   Piperacillin sodium / tazobactam   
注射液   Paracetamol 10 mg/ml
25°C
4 小时
无特殊要求 3571
A+级

  Mentions Légales