Last update :
27/11/2025
Antibiotic   Piperacillin sodium / tazobactam  
injection
Stability in solutions Stability of mixtures Factors which affect stability Compatibility Route of administration References pdf
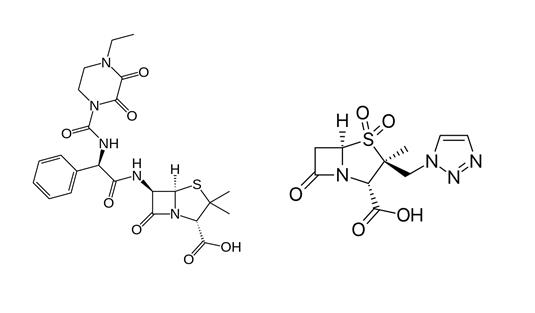
   Chemical structure  

Tradename   Tradename     

Trade names are indicative and excipients composition can be different depending on the country and manufacturers

Bagotaz Argentina
Betampil Ecuador
Bioval Chile
Petezam Argentina
Piperac Germany
Piperacillin tazobactam Belgium, Canada, Germany
Piperazam Brazil
Pipetazo Chile
Pipitaz Austria
Pixamol Colombia
Tazobac Ecuador, Italy, Portugal, Switzerland
Tazocel Spain
Tazocilline France
Tazocin Argentina, Australia, Brazil, Colombia, Croatia, Denmark, Egypt, Finland, Great Britain, Greece, Hungary, Italy, Luxembourg, Mexico, Netherlands, New Zealand, North Ireland, Norway, Peru, Poland, Republic of South Africa, Sweden, Turkey, United Arab Emirates
Tazonam Austria, Chile
Tazopip Australia
Tazpen Colombia, Mexico
Tazrobida Colombia
Tigux Chile
Tratac Chile
Trital Ecuador
Zosyn Japan, United States of America
Stability of mixtures   injection   Stability of mixtures : Piperacillin sodium / tazobactam     
Container Solvent Concentration Compound Temperature Storage Duration of stability References
Glass Sodium chloride 0,9% 80/10 mg/ml
injection   Piperacillin sodium / tazobactam   
injection   Ranitidine hydrochloride 0,5 & 2 mg/ml
23°C
4 Hour
Light 235
Level of evidence B
Glass Sodium chloride 0,9% 20/2,5 >> 40/5 mg/ml
injection   Piperacillin sodium / tazobactam   
injection   Ondansetron hydrochloride 0,015 >> 0,15 mg/ml
23°C
4 Hour
Light 16
Polyvinyl chloride Dianéal® PD1 1.5% glucose (Baxter) 0,5/0,0625 mg/ml
injection   Piperacillin sodium / tazobactam   
injection   Heparin sodium 0,5 UI/ml
37°C
10 Hour
Not specified 4180
Level of evidence B
Polyvinyl chloride Dianéal® PD1 1.5% glucose (Baxter) 0,5/0,0625 mg/ml
injection   Piperacillin sodium / tazobactam   
injection   Heparin sodium 0,5 UI/ml
4°C
168 Hour
Not specified 4180
Level of evidence B
Polyvinyl chloride Dianéal® PD2 4.25% glucose (Baxter) 0,5/0,0625 mg/ml
injection   Piperacillin sodium / tazobactam   
injection   Heparin sodium 0,5 UI/ml
37°C
10 Hour
Not specified 4180
Level of evidence B
Polyvinyl chloride Dianéal® PD2 4.25% glucose (Baxter) 0,5/0,0625 mg/ml
injection   Piperacillin sodium / tazobactam   
injection   Heparin sodium 0,5 UI/ml
4°C
168 Hour
Not specified 4180
Level of evidence B
Polyvinyl chloride Dianéal® PD2 2.5% glucose (Baxter) 0,5/0,0625 mg/ml
injection   Piperacillin sodium / tazobactam   
injection   Heparin sodium 0,5 UI/ml
37°C
10 Hour
Not specified 4180
Level of evidence B
Polyvinyl chloride Dianéal® PD2 2.5% glucose (Baxter) 0,5/0,0625 mg/ml
injection   Piperacillin sodium / tazobactam   
injection   Heparin sodium 0,5 UI/ml
4°C
168 Hour
Not specified 4180
Level of evidence B
Polyvinyl chloride Extraneal® (Baxter) 0,5/0,0625 mg/ml
injection   Piperacillin sodium / tazobactam   
injection   Heparin sodium 0,5 UI/ml
37°C
10 Hour
Not specified 4180
Level of evidence B
Polyvinyl chloride Extraneal® (Baxter) 0,5/0,0625 mg/ml
injection   Piperacillin sodium / tazobactam   
injection   Heparin sodium 0,5 UI/ml
4°C
168 Hour
Not specified 4180
Level of evidence B
Polyvinyl chloride Physionéal® 1.36 (Baxter) 1,38/0,172 mg/ml
injection   Piperacillin sodium / tazobactam   
injection   Heparin sodium 1,4 UI/ml
37°C
10 Hour
Not specified 4180
Level of evidence B
Polyvinyl chloride Physionéal® 1.36 (Baxter) 1,38/0,172 mg/ml
injection   Piperacillin sodium / tazobactam   
injection   Heparin sodium 1,4 UI/ml
4°C
168 Hour
Not specified 4180
Level of evidence B
Polyvinyl chloride Physionéal® 2.27 (Baxter) 1,38/0,172 mg/ml
injection   Piperacillin sodium / tazobactam   
injection   Heparin sodium 1,4 UI/ml
37°C
10 Hour
Not specified 4180
Level of evidence B
Polyvinyl chloride Physionéal® 2.27 (Baxter) 1,38/0,172 mg/ml
injection   Piperacillin sodium / tazobactam   
injection   Heparin sodium 1,4 UI/ml
4°C
168 Hour
Not specified 4180
Level of evidence B
Polyvinyl chloride Physionéal® 3.86 (Baxter) 1,38/0,172 mg/ml
injection   Piperacillin sodium / tazobactam   
injection   Heparin sodium 1,4 UI/ml
37°C
10 Hour
Not specified 4180
Level of evidence B
Polyvinyl chloride Physionéal® 3.86 (Baxter) 1,38/0,172 mg/ml
injection   Piperacillin sodium / tazobactam   
injection   Heparin sodium 1,4 UI/ml
4°C
168 Hour
Not specified 4180
Level of evidence B
Polypropylene Sodium chloride 0,9% 20 / 2.5 mg/ml
injection   Piperacillin sodium / tazobactam   
injection   Norepinephrine bitartrate 0,032 mg/ml
22-23°C
24 Hour
Protect from light 4758
Level of evidence B
Polypropylen Syringe Water for Injection 90/10 mg/ml
injection   Piperacillin sodium / tazobactam   
injection   Paracetamol 10 mg/ml
25°C
4 Hour
Not specified 3571
Level of evidence A+

  Mentions Légales