Останнє оновлення :
17/12/2025
Антибіотик   Piperacillin sodium / tazobactam  
ін'єкція
Стійкість в розчинах Стійкість сумішей Фактори, що впливають на стабільність Сумісність Шлях введення Список літератури pdf
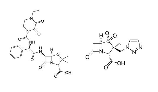
   Хімічна структура  

Торгова назва   Торгова назва     

Торгові назви є орієнтовними, а склад допоміжних речовин може бути різним залежно від країни та виробника

Bagotaz Аргентина
Betampil Еквадор
Bioval Чилі
Petezam Аргентина
Piperac Німеччина
Piperacillin tazobactam Бельгія, Канада, Німеччина
Piperazam Бразилія
Pipetazo Чилі
Pipitaz Австрія
Pixamol Колумбія
Tazobac Італія, Еквадор, Португалія, Швейцарія
Tazocel Іспанія
Tazocilline Франція
Tazocin Єгипет, Італія, Австралія, Аргентина, Бразилія, Великобританія, Греція, Данія, Колумбія, Люксембург, Мексика, Нідерланди, Нова Зеландія, Норвегія, Об'єднані Арабські Емірати, Південно-Африканська Республіка, Північна Ірландія, Перу, Польща, Туреччина, Угорщина, Фінляндія, Хорватія, Швеція
Tazonam Австрія, Чилі
Tazopip Австралія
Tazpen Колумбія, Мексика
Tazrobida Колумбія
Tigux Чилі
Tratac Чилі
Trital Еквадор
Zosyn Сполучені Штати Америки, Японія
Стійкість сумішей   ін'єкція   Стійкість сумішей : Piperacillin sodium / tazobactam     
Контейнер Розчинник Концентрація З'єднання температура Зберігання Тривалість стабільності Список літератури
скло Натрію хлорид 0,9% 80/10 mg/ml
ін'єкція   Piperacillin sodium / tazobactam   
ін'єкція   Ranitidine hydrochloride 0,5 & 2 mg/ml
23°C
4 годину
світло 235
Рівень доказовості B
скло Натрію хлорид 0,9% 20/2,5 >> 40/5 mg/ml
ін'єкція   Piperacillin sodium / tazobactam   
ін'єкція   Ondansetron hydrochloride 0,015 >> 0,15 mg/ml
23°C
4 годину
світло 16
Полівініл хлорид Dianéal® PD1 1.5% glucose (Baxter) 0,5/0,0625 mg/ml
ін'єкція   Piperacillin sodium / tazobactam   
ін'єкція   Heparin sodium 0,5 UI/ml
37°C
10 годину
Не визначено 4180
Рівень доказовості B
Полівініл хлорид Dianéal® PD1 1.5% glucose (Baxter) 0,5/0,0625 mg/ml
ін'єкція   Piperacillin sodium / tazobactam   
ін'єкція   Heparin sodium 0,5 UI/ml
4°C
168 годину
Не визначено 4180
Рівень доказовості B
Полівініл хлорид Dianéal® PD2 4.25% glucose (Baxter) 0,5/0,0625 mg/ml
ін'єкція   Piperacillin sodium / tazobactam   
ін'єкція   Heparin sodium 0,5 UI/ml
37°C
10 годину
Не визначено 4180
Рівень доказовості B
Полівініл хлорид Dianéal® PD2 4.25% glucose (Baxter) 0,5/0,0625 mg/ml
ін'єкція   Piperacillin sodium / tazobactam   
ін'єкція   Heparin sodium 0,5 UI/ml
4°C
168 годину
Не визначено 4180
Рівень доказовості B
Полівініл хлорид Dianéal® PD2 2.5% glucose (Baxter) 0,5/0,0625 mg/ml
ін'єкція   Piperacillin sodium / tazobactam   
ін'єкція   Heparin sodium 0,5 UI/ml
37°C
10 годину
Не визначено 4180
Рівень доказовості B
Полівініл хлорид Dianéal® PD2 2.5% glucose (Baxter) 0,5/0,0625 mg/ml
ін'єкція   Piperacillin sodium / tazobactam   
ін'єкція   Heparin sodium 0,5 UI/ml
4°C
168 годину
Не визначено 4180
Рівень доказовості B
Полівініл хлорид Extraneal® (Baxter) 0,5/0,0625 mg/ml
ін'єкція   Piperacillin sodium / tazobactam   
ін'єкція   Heparin sodium 0,5 UI/ml
37°C
10 годину
Не визначено 4180
Рівень доказовості B
Полівініл хлорид Extraneal® (Baxter) 0,5/0,0625 mg/ml
ін'єкція   Piperacillin sodium / tazobactam   
ін'єкція   Heparin sodium 0,5 UI/ml
4°C
168 годину
Не визначено 4180
Рівень доказовості B
Полівініл хлорид Physionéal® 1.36 (Baxter) 1,38/0,172 mg/ml
ін'єкція   Piperacillin sodium / tazobactam   
ін'єкція   Heparin sodium 1,4 UI/ml
37°C
10 годину
Не визначено 4180
Рівень доказовості B
Полівініл хлорид Physionéal® 1.36 (Baxter) 1,38/0,172 mg/ml
ін'єкція   Piperacillin sodium / tazobactam   
ін'єкція   Heparin sodium 1,4 UI/ml
4°C
168 годину
Не визначено 4180
Рівень доказовості B
Полівініл хлорид Physionéal® 2.27 (Baxter) 1,38/0,172 mg/ml
ін'єкція   Piperacillin sodium / tazobactam   
ін'єкція   Heparin sodium 1,4 UI/ml
37°C
10 годину
Не визначено 4180
Рівень доказовості B
Полівініл хлорид Physionéal® 2.27 (Baxter) 1,38/0,172 mg/ml
ін'єкція   Piperacillin sodium / tazobactam   
ін'єкція   Heparin sodium 1,4 UI/ml
4°C
168 годину
Не визначено 4180
Рівень доказовості B
Полівініл хлорид Physionéal® 3.86 (Baxter) 1,38/0,172 mg/ml
ін'єкція   Piperacillin sodium / tazobactam   
ін'єкція   Heparin sodium 1,4 UI/ml
37°C
10 годину
Не визначено 4180
Рівень доказовості B
Полівініл хлорид Physionéal® 3.86 (Baxter) 1,38/0,172 mg/ml
ін'єкція   Piperacillin sodium / tazobactam   
ін'єкція   Heparin sodium 1,4 UI/ml
4°C
168 годину
Не визначено 4180
Рівень доказовості B
Поліпропілен Натрію хлорид 0,9% 20 / 2.5 mg/ml
ін'єкція   Piperacillin sodium / tazobactam   
ін'єкція   Norepinephrine bitartrate 0,032 mg/ml
22-23°C
24 годину
Берегти від світла 4758
Рівень доказовості B
Поліпропіленовий шприц Вода для ін'єкцій 90/10 mg/ml
ін'єкція   Piperacillin sodium / tazobactam   
ін'єкція   Paracetamol 10 mg/ml
25°C
4 годину
Не визначено 3571
Рівень доказовості А+

  Mentions Légales