آخر تحديث :
17/12/2025
مضاد حيوي   Piperacillin sodium / tazobactam  
حقن
الاستقرار في حلول استقرار مخاليط العوامل التي تؤثر على الاستقرار التوافق طريقة التعاطي مراجع pdf
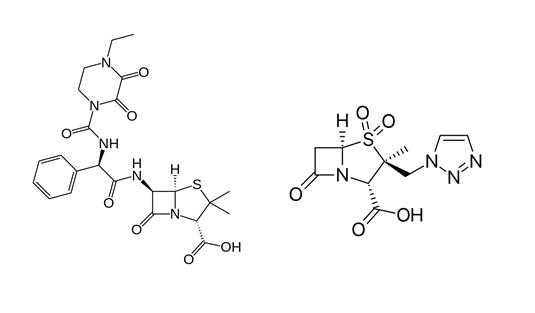
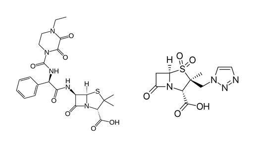
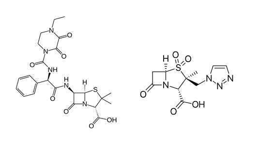
   التركيب الكيميائي  

حجز الاسم التجاري   حجز الاسم التجاري     

تحذير الأسماء التجاريه المختلفه قد تحتوي علي محتوي إضافات مختلفة حسب الدوله و المعمل

Bagotaz الأرجنتين
Betampil الإكوادور
Bioval تشيلي
Petezam الأرجنتين
Piperac ألمانيا
Piperacillin tazobactam ألمانيا, بلجيكا, كندا
Piperazam البرازيل
Pipetazo تشيلي
Pipitaz النمسا
Pixamol كولومبيا
Tazobac إيطاليا, الإكوادور, البرتغال, سويسرا
Tazocel إسبانيا
Tazocilline فرنسا
Tazocin أستراليا, إيرلندا الشمالية, إيطاليا, الأرجنتين, الإمارات العربية المتحدة, البرازيل, الدنمارك, السويد, المكسيك, النرويج, بريطانيا العظمي, بولندا, بيرو, تركيا, جمهورية جنوب أفريقيا, زيلاندا الجديدة, فنلندا, كرواتيا, كولومبيا, لوكسمبورغ, مصر, هنغاريا, هولندا, يونان
Tazonam النمسا, تشيلي
Tazopip أستراليا
Tazpen المكسيك, كولومبيا
Tazrobida كولومبيا
Tigux تشيلي
Tratac تشيلي
Trital الإكوادور
Zosyn الولايات المتحدة, اليابان
استقرار مخاليط   حقن   استقرار مخاليط : Piperacillin sodium / tazobactam     
حاوية مذيب تركيز مركب درجة الحرارة تخزين مدة الاستقرار مراجع
زجاج كلوريد الصوديوم 0.9% 80/10 mg/ml
حقن   Piperacillin sodium / tazobactam   
حقن   Ranitidine hydrochloride 0,5 & 2 mg/ml
23°C
4 ساعة
ضوء 235
B مستوى الأدلة
زجاج كلوريد الصوديوم 0.9% 20/2,5 >> 40/5 mg/ml
حقن   Piperacillin sodium / tazobactam   
حقن   Ondansetron hydrochloride 0,015 >> 0,15 mg/ml
23°C
4 ساعة
ضوء 16
البولي فينيل كلوريد Dianéal PD1 الجلوكوز%1.5 (باكستر) 0,5/0,0625 mg/ml
حقن   Piperacillin sodium / tazobactam   
حقن   Heparin sodium 0,5 UI/ml
37°C
10 ساعة
لم يتم تحديد 4180
B مستوى الأدلة
البولي فينيل كلوريد Dianéal PD1 الجلوكوز%1.5 (باكستر) 0,5/0,0625 mg/ml
حقن   Piperacillin sodium / tazobactam   
حقن   Heparin sodium 0,5 UI/ml
4°C
168 ساعة
لم يتم تحديد 4180
B مستوى الأدلة
البولي فينيل كلوريد Dianéal PD2 الجلوكوز%4.25 (باكستر) 0,5/0,0625 mg/ml
حقن   Piperacillin sodium / tazobactam   
حقن   Heparin sodium 0,5 UI/ml
37°C
10 ساعة
لم يتم تحديد 4180
B مستوى الأدلة
البولي فينيل كلوريد Dianéal PD2 الجلوكوز%4.25 (باكستر) 0,5/0,0625 mg/ml
حقن   Piperacillin sodium / tazobactam   
حقن   Heparin sodium 0,5 UI/ml
4°C
168 ساعة
لم يتم تحديد 4180
B مستوى الأدلة
البولي فينيل كلوريد Dianéal PD2 الجلوكوز%2.5 (باكستر) 0,5/0,0625 mg/ml
حقن   Piperacillin sodium / tazobactam   
حقن   Heparin sodium 0,5 UI/ml
37°C
10 ساعة
لم يتم تحديد 4180
B مستوى الأدلة
البولي فينيل كلوريد Dianéal PD2 الجلوكوز%2.5 (باكستر) 0,5/0,0625 mg/ml
حقن   Piperacillin sodium / tazobactam   
حقن   Heparin sodium 0,5 UI/ml
4°C
168 ساعة
لم يتم تحديد 4180
B مستوى الأدلة
البولي فينيل كلوريد Extraneal  (باكستر) 0,5/0,0625 mg/ml
حقن   Piperacillin sodium / tazobactam   
حقن   Heparin sodium 0,5 UI/ml
37°C
10 ساعة
لم يتم تحديد 4180
B مستوى الأدلة
البولي فينيل كلوريد Extraneal  (باكستر) 0,5/0,0625 mg/ml
حقن   Piperacillin sodium / tazobactam   
حقن   Heparin sodium 0,5 UI/ml
4°C
168 ساعة
لم يتم تحديد 4180
B مستوى الأدلة
البولي فينيل كلوريد Physionéal® 1.36 (Baxter) 1,38/0,172 mg/ml
حقن   Piperacillin sodium / tazobactam   
حقن   Heparin sodium 1,4 UI/ml
37°C
10 ساعة
لم يتم تحديد 4180
B مستوى الأدلة
البولي فينيل كلوريد Physionéal® 1.36 (Baxter) 1,38/0,172 mg/ml
حقن   Piperacillin sodium / tazobactam   
حقن   Heparin sodium 1,4 UI/ml
4°C
168 ساعة
لم يتم تحديد 4180
B مستوى الأدلة
البولي فينيل كلوريد Physionéal® 2.27 (Baxter) 1,38/0,172 mg/ml
حقن   Piperacillin sodium / tazobactam   
حقن   Heparin sodium 1,4 UI/ml
37°C
10 ساعة
لم يتم تحديد 4180
B مستوى الأدلة
البولي فينيل كلوريد Physionéal® 2.27 (Baxter) 1,38/0,172 mg/ml
حقن   Piperacillin sodium / tazobactam   
حقن   Heparin sodium 1,4 UI/ml
4°C
168 ساعة
لم يتم تحديد 4180
B مستوى الأدلة
البولي فينيل كلوريد Physionéal® 3.86 (Baxter) 1,38/0,172 mg/ml
حقن   Piperacillin sodium / tazobactam   
حقن   Heparin sodium 1,4 UI/ml
37°C
10 ساعة
لم يتم تحديد 4180
B مستوى الأدلة
البولي فينيل كلوريد Physionéal® 3.86 (Baxter) 1,38/0,172 mg/ml
حقن   Piperacillin sodium / tazobactam   
حقن   Heparin sodium 1,4 UI/ml
4°C
168 ساعة
لم يتم تحديد 4180
B مستوى الأدلة
البولي بروبلين كلوريد الصوديوم 0.9% 20 / 2.5 mg/ml
حقن   Piperacillin sodium / tazobactam   
حقن   Norepinephrine bitartrate 0,032 mg/ml
22-23°C
24 ساعة
بعيدا عن الضوء 4758
B مستوى الأدلة
محقنة البولي بروبلين حقن المياه لل 90/10 mg/ml
حقن   Piperacillin sodium / tazobactam   
حقن   Paracetamol 10 mg/ml
25°C
4 ساعة
لم يتم تحديد 3571
 A+ مستوى الأدلة

  Mentions Légales