Ultimo aggiornamento :
27/11/2025
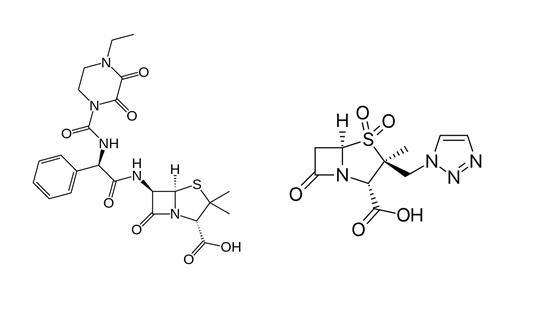
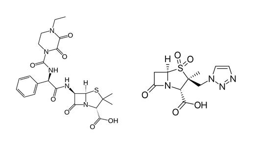
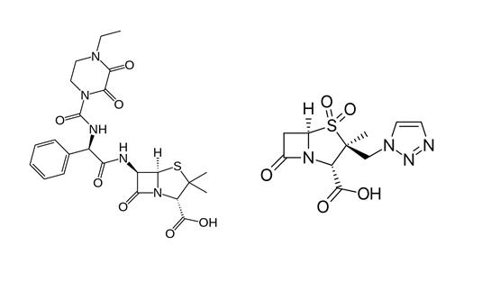
Antibiotico   Piperacillin sodium / tazobactam  
Iniezione
Stabilità in soluzione Stabilità in miscela Fattori che influenzano la stabilità Compatibilità metodo di iniezione Bibliografia pdf
   Struttura chimica  

Nome commerciale   Nome commerciale     

Trade names are indicative and excipients composition can be different depending on the country and manufacturers

Bagotaz Argentina
Betampil Ecuador
Bioval Chile
Petezam Argentina
Piperac Germania
Piperacillin tazobactam Belgio, Canada, Germania
Piperazam Brasile
Pipetazo Chile
Pipitaz Austria
Pixamol Colombia
Tazobac Ecuador, Italia, Portogallo, Svizzera
Tazocel Spagna
Tazocilline Francia
Tazocin Africa del Sud, Argentina, Australia, Brasile, Colombia, Croazia, Danimarca, Egitto, Emirati Arabi Uniti, Finlandia, Gran Bretagna, Grecia, Irlanda del Nord, Italia, Lussemburgo, Messico, Norvegia, nuova Zelanda, Paesi Bassi, Perù, Polonia, Svezia, Turchia, Ungheria
Tazonam Austria, Chile
Tazopip Australia
Tazpen Colombia, Messico
Tazrobida Colombia
Tigux Chile
Tratac Chile
Trital Ecuador
Zosyn Giappone, Stati Uniti d’America
Stabilità in miscela   Iniezione   Stabilità in miscela : Piperacillin sodium / tazobactam     
contenitore Solvente Concentrazione Molecola Temperatura Conservazione Durata della stabilità Bibliografia
Vetro Cloruro di sodio 0,9% 80/10 mg/ml
Iniezione   Piperacillin sodium / tazobactam   
Iniezione   Ranitidine hydrochloride 0,5 & 2 mg/ml
23°C
4 Ora
Luce 235
Livello di evidenza B
Vetro Cloruro di sodio 0,9% 20/2,5 >> 40/5 mg/ml
Iniezione   Piperacillin sodium / tazobactam   
Iniezione   Ondansetron hydrochloride 0,015 >> 0,15 mg/ml
23°C
4 Ora
Luce 16
Cloruro di polivinile Dianéal® PD1 1.5% Glucosio (Baxter) 0,5/0,0625 mg/ml
Iniezione   Piperacillin sodium / tazobactam   
Iniezione   Heparin sodium 0,5 UI/ml
37°C
10 Ora
Non precisata 4180
Livello di evidenza B
Cloruro di polivinile Dianéal® PD1 1.5% Glucosio (Baxter) 0,5/0,0625 mg/ml
Iniezione   Piperacillin sodium / tazobactam   
Iniezione   Heparin sodium 0,5 UI/ml
4°C
168 Ora
Non precisata 4180
Livello di evidenza B
Cloruro di polivinile Dianéal® PD2 4.25% Glucosio (Baxter) 0,5/0,0625 mg/ml
Iniezione   Piperacillin sodium / tazobactam   
Iniezione   Heparin sodium 0,5 UI/ml
37°C
10 Ora
Non precisata 4180
Livello di evidenza B
Cloruro di polivinile Dianéal® PD2 4.25% Glucosio (Baxter) 0,5/0,0625 mg/ml
Iniezione   Piperacillin sodium / tazobactam   
Iniezione   Heparin sodium 0,5 UI/ml
4°C
168 Ora
Non precisata 4180
Livello di evidenza B
Cloruro di polivinile Dianéal® PD2 2.5% glucose (Baxter) 0,5/0,0625 mg/ml
Iniezione   Piperacillin sodium / tazobactam   
Iniezione   Heparin sodium 0,5 UI/ml
37°C
10 Ora
Non precisata 4180
Livello di evidenza B
Cloruro di polivinile Dianéal® PD2 2.5% glucose (Baxter) 0,5/0,0625 mg/ml
Iniezione   Piperacillin sodium / tazobactam   
Iniezione   Heparin sodium 0,5 UI/ml
4°C
168 Ora
Non precisata 4180
Livello di evidenza B
Cloruro di polivinile Extraneal® (Baxter) 0,5/0,0625 mg/ml
Iniezione   Piperacillin sodium / tazobactam   
Iniezione   Heparin sodium 0,5 UI/ml
37°C
10 Ora
Non precisata 4180
Livello di evidenza B
Cloruro di polivinile Extraneal® (Baxter) 0,5/0,0625 mg/ml
Iniezione   Piperacillin sodium / tazobactam   
Iniezione   Heparin sodium 0,5 UI/ml
4°C
168 Ora
Non precisata 4180
Livello di evidenza B
Cloruro di polivinile Physionéal® 1.36 (Baxter) 1,38/0,172 mg/ml
Iniezione   Piperacillin sodium / tazobactam   
Iniezione   Heparin sodium 1,4 UI/ml
37°C
10 Ora
Non precisata 4180
Livello di evidenza B
Cloruro di polivinile Physionéal® 1.36 (Baxter) 1,38/0,172 mg/ml
Iniezione   Piperacillin sodium / tazobactam   
Iniezione   Heparin sodium 1,4 UI/ml
4°C
168 Ora
Non precisata 4180
Livello di evidenza B
Cloruro di polivinile Physionéal® 2.27 (Baxter) 1,38/0,172 mg/ml
Iniezione   Piperacillin sodium / tazobactam   
Iniezione   Heparin sodium 1,4 UI/ml
37°C
10 Ora
Non precisata 4180
Livello di evidenza B
Cloruro di polivinile Physionéal® 2.27 (Baxter) 1,38/0,172 mg/ml
Iniezione   Piperacillin sodium / tazobactam   
Iniezione   Heparin sodium 1,4 UI/ml
4°C
168 Ora
Non precisata 4180
Livello di evidenza B
Cloruro di polivinile Physionéal® 3.86 (Baxter) 1,38/0,172 mg/ml
Iniezione   Piperacillin sodium / tazobactam   
Iniezione   Heparin sodium 1,4 UI/ml
37°C
10 Ora
Non precisata 4180
Livello di evidenza B
Cloruro di polivinile Physionéal® 3.86 (Baxter) 1,38/0,172 mg/ml
Iniezione   Piperacillin sodium / tazobactam   
Iniezione   Heparin sodium 1,4 UI/ml
4°C
168 Ora
Non precisata 4180
Livello di evidenza B
Polipropilene Cloruro di sodio 0,9% 20 / 2.5 mg/ml
Iniezione   Piperacillin sodium / tazobactam   
Iniezione   Norepinephrine bitartrate 0,032 mg/ml
22-23°C
24 Ora
Al riparo dalla luce 4758
Livello di evidenza B
siringa polipropilene Acqua per preparato iniettabile 90/10 mg/ml
Iniezione   Piperacillin sodium / tazobactam   
Iniezione   Paracetamol 10 mg/ml
25°C
4 Ora
Non precisata 3571
Livello di evidenza A+

  Mentions Légales