Son güncelleme :
27/11/2025
Antibiyotik   Piperacillin sodium / tazobactam  
Enjeksiyon
Çözeltilerin stabilitesi Karışımlardaki stabilitesi Stabiliteyi etkileyen faktörler Uyumluluk Uygulama yöntemi Kaynaklar pdf
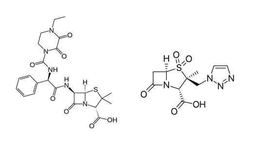
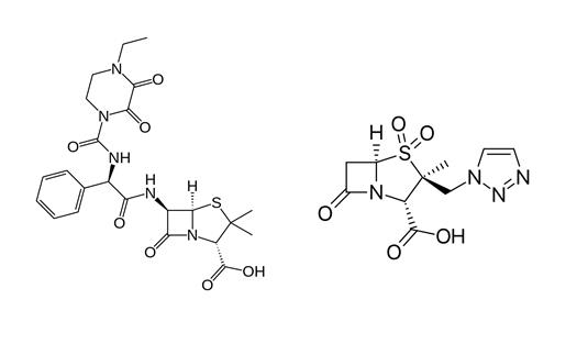
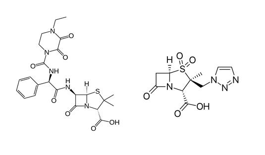
   Kimyasal yapı   

Ticari isim   Ticari isim     

Trade names are indicative and excipients composition can be different depending on the country and manufacturers

Bagotaz Arjantin
Betampil Ekvador
Bioval Şili
Petezam Arjantin
Piperac Almanya
Piperacillin tazobactam Almanya, Belçika, Kanada
Piperazam Brezilya
Pipetazo Şili
Pipitaz Avusturya
Pixamol Kolombiya
Tazobac Ekvador, İsviçre, İtalya, Portekiz
Tazocel İspanya
Tazocilline Fransa
Tazocin Arjantin, Avustralya, Birleşik Arap Emirlikleri, Brezilya, Büyük Britanya, Danimarka, Finlandiya, Güney Afrika Cumhuriyeti, Hırvatistan, Hollanda, İsveç, İtalya, Kolombiya, Kuzey irlanda, Lüksemburg, Macaristan, Meksika, Mısır, Norveç, Peru, Polonya, Türkiye, yeni Zelanda, Yunanistan
Tazonam Avusturya, Şili
Tazopip Avustralya
Tazpen Kolombiya, Meksika
Tazrobida Kolombiya
Tigux Şili
Tratac Şili
Trital Ekvador
Zosyn Amerika Birleşik Devletleri, Japonya
Karışımlardaki stabilitesi   Enjeksiyon    Karışımlardaki stabilitesi : Piperacillin sodium / tazobactam     
Saklama kabı Çözücü Konsantrasyon Bileşik Isı Saklama    Stabilite süresi Kaynaklar
Cam Sodyum klorür % 0,9 80/10 mg/ml
Enjeksiyon   Piperacillin sodium / tazobactam   
Enjeksiyon   Ranitidine hydrochloride 0,5 & 2 mg/ml
23°C
4 Zaman
I_ık 235
Kanıt düzeyi B
Cam Sodyum klorür % 0,9 20/2,5 >> 40/5 mg/ml
Enjeksiyon   Piperacillin sodium / tazobactam   
Enjeksiyon   Ondansetron hydrochloride 0,015 >> 0,15 mg/ml
23°C
4 Zaman
I_ık 16
Polivinil klorür Dianéal® PD1 1.5% Glukoz (Baxter) 0,5/0,0625 mg/ml
Enjeksiyon   Piperacillin sodium / tazobactam   
Enjeksiyon   Heparin sodium 0,5 UI/ml
37°C
10 Zaman
Belirtilmemiş 4180
Kanıt düzeyi B
Polivinil klorür Dianéal® PD1 1.5% Glukoz (Baxter) 0,5/0,0625 mg/ml
Enjeksiyon   Piperacillin sodium / tazobactam   
Enjeksiyon   Heparin sodium 0,5 UI/ml
4°C
168 Zaman
Belirtilmemiş 4180
Kanıt düzeyi B
Polivinil klorür Dianéal® PD2 4.25% Glukoz (Baxter) 0,5/0,0625 mg/ml
Enjeksiyon   Piperacillin sodium / tazobactam   
Enjeksiyon   Heparin sodium 0,5 UI/ml
37°C
10 Zaman
Belirtilmemiş 4180
Kanıt düzeyi B
Polivinil klorür Dianéal® PD2 4.25% Glukoz (Baxter) 0,5/0,0625 mg/ml
Enjeksiyon   Piperacillin sodium / tazobactam   
Enjeksiyon   Heparin sodium 0,5 UI/ml
4°C
168 Zaman
Belirtilmemiş 4180
Kanıt düzeyi B
Polivinil klorür Dianéal® PD2 2.5% glucose (Baxter) 0,5/0,0625 mg/ml
Enjeksiyon   Piperacillin sodium / tazobactam   
Enjeksiyon   Heparin sodium 0,5 UI/ml
37°C
10 Zaman
Belirtilmemiş 4180
Kanıt düzeyi B
Polivinil klorür Dianéal® PD2 2.5% glucose (Baxter) 0,5/0,0625 mg/ml
Enjeksiyon   Piperacillin sodium / tazobactam   
Enjeksiyon   Heparin sodium 0,5 UI/ml
4°C
168 Zaman
Belirtilmemiş 4180
Kanıt düzeyi B
Polivinil klorür Extraneal® (Baxter) 0,5/0,0625 mg/ml
Enjeksiyon   Piperacillin sodium / tazobactam   
Enjeksiyon   Heparin sodium 0,5 UI/ml
37°C
10 Zaman
Belirtilmemiş 4180
Kanıt düzeyi B
Polivinil klorür Extraneal® (Baxter) 0,5/0,0625 mg/ml
Enjeksiyon   Piperacillin sodium / tazobactam   
Enjeksiyon   Heparin sodium 0,5 UI/ml
4°C
168 Zaman
Belirtilmemiş 4180
Kanıt düzeyi B
Polivinil klorür Physionéal® 1.36 (Baxter) 1,38/0,172 mg/ml
Enjeksiyon   Piperacillin sodium / tazobactam   
Enjeksiyon   Heparin sodium 1,4 UI/ml
37°C
10 Zaman
Belirtilmemiş 4180
Kanıt düzeyi B
Polivinil klorür Physionéal® 1.36 (Baxter) 1,38/0,172 mg/ml
Enjeksiyon   Piperacillin sodium / tazobactam   
Enjeksiyon   Heparin sodium 1,4 UI/ml
4°C
168 Zaman
Belirtilmemiş 4180
Kanıt düzeyi B
Polivinil klorür Physionéal® 2.27 (Baxter) 1,38/0,172 mg/ml
Enjeksiyon   Piperacillin sodium / tazobactam   
Enjeksiyon   Heparin sodium 1,4 UI/ml
37°C
10 Zaman
Belirtilmemiş 4180
Kanıt düzeyi B
Polivinil klorür Physionéal® 2.27 (Baxter) 1,38/0,172 mg/ml
Enjeksiyon   Piperacillin sodium / tazobactam   
Enjeksiyon   Heparin sodium 1,4 UI/ml
4°C
168 Zaman
Belirtilmemiş 4180
Kanıt düzeyi B
Polivinil klorür Physionéal® 3.86 (Baxter) 1,38/0,172 mg/ml
Enjeksiyon   Piperacillin sodium / tazobactam   
Enjeksiyon   Heparin sodium 1,4 UI/ml
37°C
10 Zaman
Belirtilmemiş 4180
Kanıt düzeyi B
Polivinil klorür Physionéal® 3.86 (Baxter) 1,38/0,172 mg/ml
Enjeksiyon   Piperacillin sodium / tazobactam   
Enjeksiyon   Heparin sodium 1,4 UI/ml
4°C
168 Zaman
Belirtilmemiş 4180
Kanıt düzeyi B
Polipropilen Sodyum klorür % 0,9 20 / 2.5 mg/ml
Enjeksiyon   Piperacillin sodium / tazobactam   
Enjeksiyon   Norepinephrine bitartrate 0,032 mg/ml
22-23°C
24 Zaman
Işıktan koruyunuz 4758
Kanıt düzeyi B
Şırınga polipropilen Enjeksiyonluk su 90/10 mg/ml
Enjeksiyon   Piperacillin sodium / tazobactam   
Enjeksiyon   Paracetamol 10 mg/ml
25°C
4 Zaman
Belirtilmemiş 3571
Kanıt düzeyi A+

  Mentions Légales