Dernière mise à jour :
02/03/2026
Antibiotique   Piperacillin sodium / tazobactam  
injectable
Stabilité des solutions Stabilité en mélange Facteur influençant la stabilité Compatibilités Voie d’administration Bibliographie pdf
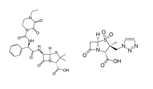
   Structure chimique  

Noms commerciaux   Noms commerciaux     

Les noms commerciaux sont donnés à titre indicatif et la composition en excipients peut être différente selon les pays et selon les laboratoires

Bagotaz Argentine
Betampil Equateur
Bioval Chili
Petezam Argentine
Piperac Allemagne
Piperacillin tazobactam Allemagne, Belgique, Canada
Piperazam Brésil
Pipetazo Chili
Pipitaz Autriche
Pixamol Colombie
Tazobac Equateur, Italie, Portugal, Suisse
Tazocel Espagne
Tazocilline France
Tazocin Afrique du sud, Argentine, Australie, Brésil, Colombie, Croatie, Danemark, Egypte, Emirats Arabes Unis , Finlande, Grande Bretagne, Grèce, Hongrie, Irlande du nord, Italie, Luxembourg, Mexique, Norvège, Nouvelle Zélande, Pays bas, Pérou, Pologne, Suède, Turquie
Tazonam Autriche, Chili
Tazopip Australie
Tazpen Colombie, Mexique
Tazrobida Colombie
Tigux Chili
Tratac Chili
Trital Equateur
Zosyn Etats Unis d’Amérique, Japon
Stabilité en mélange   injectable   Stabilité en mélange : Piperacillin sodium / tazobactam     
Contenant Solvant Concentration Molécule Température Conservation Durée de stabilité Bibliographie
Verre Chlorure de sodium 0,9% 80/10 mg/ml
injectable   Piperacillin sodium / tazobactam   
injectable   Ranitidine hydrochloride 0,5 & 2 mg/ml
23°C
4 Heure
Lumière 235
Niveau de preuve B
Verre Chlorure de sodium 0,9% 20/2,5 >> 40/5 mg/ml
injectable   Piperacillin sodium / tazobactam   
injectable   Ondansetron hydrochloride 0,015 >> 0,15 mg/ml
23°C
4 Heure
Lumière 16
Polyvinyl chlorure Dianéal® PD1 1.5% glucose (Baxter) 0,5/0,0625 mg/ml
injectable   Piperacillin sodium / tazobactam   
injectable   Heparin sodium 0,5 UI/ml
37°C
10 Heure
Non précisée 4180
Niveau de preuve B
Polyvinyl chlorure Dianéal® PD1 1.5% glucose (Baxter) 0,5/0,0625 mg/ml
injectable   Piperacillin sodium / tazobactam   
injectable   Heparin sodium 0,5 UI/ml
4°C
168 Heure
Non précisée 4180
Niveau de preuve B
Polyvinyl chlorure Dianéal® PD2 4.25% glucose (Baxter) 0,5/0,0625 mg/ml
injectable   Piperacillin sodium / tazobactam   
injectable   Heparin sodium 0,5 UI/ml
37°C
10 Heure
Non précisée 4180
Niveau de preuve B
Polyvinyl chlorure Dianéal® PD2 4.25% glucose (Baxter) 0,5/0,0625 mg/ml
injectable   Piperacillin sodium / tazobactam   
injectable   Heparin sodium 0,5 UI/ml
4°C
168 Heure
Non précisée 4180
Niveau de preuve B
Polyvinyl chlorure Dianéal® PD2 2.5% glucose (Baxter) 0,5/0,0625 mg/ml
injectable   Piperacillin sodium / tazobactam   
injectable   Heparin sodium 0,5 UI/ml
37°C
10 Heure
Non précisée 4180
Niveau de preuve B
Polyvinyl chlorure Dianéal® PD2 2.5% glucose (Baxter) 0,5/0,0625 mg/ml
injectable   Piperacillin sodium / tazobactam   
injectable   Heparin sodium 0,5 UI/ml
4°C
168 Heure
Non précisée 4180
Niveau de preuve B
Polyvinyl chlorure Extraneal® (Baxter) 0,5/0,0625 mg/ml
injectable   Piperacillin sodium / tazobactam   
injectable   Heparin sodium 0,5 UI/ml
37°C
10 Heure
Non précisée 4180
Niveau de preuve B
Polyvinyl chlorure Extraneal® (Baxter) 0,5/0,0625 mg/ml
injectable   Piperacillin sodium / tazobactam   
injectable   Heparin sodium 0,5 UI/ml
4°C
168 Heure
Non précisée 4180
Niveau de preuve B
Polyvinyl chlorure Physionéal® 1.36 (Baxter) 1,38/0,172 mg/ml
injectable   Piperacillin sodium / tazobactam   
injectable   Heparin sodium 1,4 UI/ml
37°C
10 Heure
Non précisée 4180
Niveau de preuve B
Polyvinyl chlorure Physionéal® 1.36 (Baxter) 1,38/0,172 mg/ml
injectable   Piperacillin sodium / tazobactam   
injectable   Heparin sodium 1,4 UI/ml
4°C
168 Heure
Non précisée 4180
Niveau de preuve B
Polyvinyl chlorure Physionéal® 2.27 (Baxter) 1,38/0,172 mg/ml
injectable   Piperacillin sodium / tazobactam   
injectable   Heparin sodium 1,4 UI/ml
37°C
10 Heure
Non précisée 4180
Niveau de preuve B
Polyvinyl chlorure Physionéal® 2.27 (Baxter) 1,38/0,172 mg/ml
injectable   Piperacillin sodium / tazobactam   
injectable   Heparin sodium 1,4 UI/ml
4°C
168 Heure
Non précisée 4180
Niveau de preuve B
Polyvinyl chlorure Physionéal® 3.86 (Baxter) 1,38/0,172 mg/ml
injectable   Piperacillin sodium / tazobactam   
injectable   Heparin sodium 1,4 UI/ml
37°C
10 Heure
Non précisée 4180
Niveau de preuve B
Polyvinyl chlorure Physionéal® 3.86 (Baxter) 1,38/0,172 mg/ml
injectable   Piperacillin sodium / tazobactam   
injectable   Heparin sodium 1,4 UI/ml
4°C
168 Heure
Non précisée 4180
Niveau de preuve B
Polypropylène Chlorure de sodium 0,9% 20 / 2.5 mg/ml
injectable   Piperacillin sodium / tazobactam   
injectable   Norepinephrine bitartrate 0,032 mg/ml
22-23°C
24 Heure
A l’abri de la lumière 4758
Niveau de preuve B
Seringue polypropylène Eau pour préparation injectable 90/10 mg/ml
injectable   Piperacillin sodium / tazobactam   
injectable   Paracetamol 10 mg/ml
25°C
4 Heure
Non précisée 3571
Niveau de preuve A +

  Mentions Légales