zadnja posodobitev :
27/11/2025
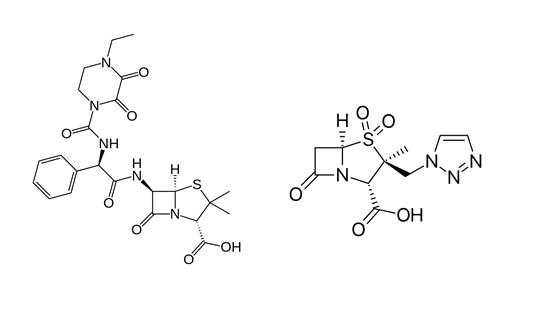
Antibiotik   Piperacillin sodium / tazobactam  
Brizgalka
Stabilnost raztopine Stabilnost mešanice Faktorji, ki vplivajo na stabilnost Kompatibilnost način aplikacije Viri pdf
   Kemična formula  

Lastniško ime   Lastniško ime     

Sestava pomožnih snovi je med paralelami lahko različna

Bagotaz Argentina
Betampil Ekvador
Bioval Čile
Petezam Argentina
Piperac Nemčija
Piperacillin tazobactam Belgija, Kanada, Nemčija
Piperazam Brazilija
Pipetazo Čile
Pipitaz Avstrija
Pixamol Kolumbija
Tazobac Ekvador, Italija, Portugalska, Švica
Tazocel Španija
Tazocilline Francija
Tazocin Argentina, Avstralija, Brazilija, Danska, Egipt, Finska, Grčija, Hrvaška, Italija, Južnoafriška republika, Kolumbija, Luksemburg, Madžarska, Mehika, Nizozemska, Norveška, nova Zelandija, Peru, Poljska, Severna irska, Švedska, Turčija, Velika Britanija, Združeni arabski emirati
Tazonam Avstrija, Čile
Tazopip Avstralija
Tazpen Kolumbija, Mehika
Tazrobida Kolumbija
Tigux Čile
Tratac Čile
Trital Ekvador
Zosyn Japonska, Združene države Amerike
Stabilnost mešanice   Brizgalka   Stabilnost mešanice : Piperacillin sodium / tazobactam     
Vsebnik Topilo Koncentracija Sestava Temperatura Shranjevanje Trajanje stabilnosti Viri
Steklo Natrijev klorid 0,9% 80/10 mg/ml
Brizgalka   Piperacillin sodium / tazobactam   
Brizgalka   Ranitidine hydrochloride 0,5 & 2 mg/ml
23°C
4 čas
Svetloba 235
 Stopnja dokaza B
Steklo Natrijev klorid 0,9% 20/2,5 >> 40/5 mg/ml
Brizgalka   Piperacillin sodium / tazobactam   
Brizgalka   Ondansetron hydrochloride 0,015 >> 0,15 mg/ml
23°C
4 čas
Svetloba 16
Polivinil klorid Dianéal® PD1 1.5% Glukoza (Baxter) 0,5/0,0625 mg/ml
Brizgalka   Piperacillin sodium / tazobactam   
Brizgalka   Heparin sodium 0,5 UI/ml
37°C
10 čas
Nedoločeno 4180
 Stopnja dokaza B
Polivinil klorid Dianéal® PD1 1.5% Glukoza (Baxter) 0,5/0,0625 mg/ml
Brizgalka   Piperacillin sodium / tazobactam   
Brizgalka   Heparin sodium 0,5 UI/ml
4°C
168 čas
Nedoločeno 4180
 Stopnja dokaza B
Polivinil klorid Dianéal® PD2 4.25% Glukoza (Baxter) 0,5/0,0625 mg/ml
Brizgalka   Piperacillin sodium / tazobactam   
Brizgalka   Heparin sodium 0,5 UI/ml
37°C
10 čas
Nedoločeno 4180
 Stopnja dokaza B
Polivinil klorid Dianéal® PD2 4.25% Glukoza (Baxter) 0,5/0,0625 mg/ml
Brizgalka   Piperacillin sodium / tazobactam   
Brizgalka   Heparin sodium 0,5 UI/ml
4°C
168 čas
Nedoločeno 4180
 Stopnja dokaza B
Polivinil klorid Dianéal® PD2 2.5% glucose (Baxter) 0,5/0,0625 mg/ml
Brizgalka   Piperacillin sodium / tazobactam   
Brizgalka   Heparin sodium 0,5 UI/ml
37°C
10 čas
Nedoločeno 4180
 Stopnja dokaza B
Polivinil klorid Dianéal® PD2 2.5% glucose (Baxter) 0,5/0,0625 mg/ml
Brizgalka   Piperacillin sodium / tazobactam   
Brizgalka   Heparin sodium 0,5 UI/ml
4°C
168 čas
Nedoločeno 4180
 Stopnja dokaza B
Polivinil klorid Extraneal® (Baxter) 0,5/0,0625 mg/ml
Brizgalka   Piperacillin sodium / tazobactam   
Brizgalka   Heparin sodium 0,5 UI/ml
37°C
10 čas
Nedoločeno 4180
 Stopnja dokaza B
Polivinil klorid Extraneal® (Baxter) 0,5/0,0625 mg/ml
Brizgalka   Piperacillin sodium / tazobactam   
Brizgalka   Heparin sodium 0,5 UI/ml
4°C
168 čas
Nedoločeno 4180
 Stopnja dokaza B
Polivinil klorid Physionéal® 1.36 (Baxter) 1,38/0,172 mg/ml
Brizgalka   Piperacillin sodium / tazobactam   
Brizgalka   Heparin sodium 1,4 UI/ml
37°C
10 čas
Nedoločeno 4180
 Stopnja dokaza B
Polivinil klorid Physionéal® 1.36 (Baxter) 1,38/0,172 mg/ml
Brizgalka   Piperacillin sodium / tazobactam   
Brizgalka   Heparin sodium 1,4 UI/ml
4°C
168 čas
Nedoločeno 4180
 Stopnja dokaza B
Polivinil klorid Physionéal® 2.27 (Baxter) 1,38/0,172 mg/ml
Brizgalka   Piperacillin sodium / tazobactam   
Brizgalka   Heparin sodium 1,4 UI/ml
37°C
10 čas
Nedoločeno 4180
 Stopnja dokaza B
Polivinil klorid Physionéal® 2.27 (Baxter) 1,38/0,172 mg/ml
Brizgalka   Piperacillin sodium / tazobactam   
Brizgalka   Heparin sodium 1,4 UI/ml
4°C
168 čas
Nedoločeno 4180
 Stopnja dokaza B
Polivinil klorid Physionéal® 3.86 (Baxter) 1,38/0,172 mg/ml
Brizgalka   Piperacillin sodium / tazobactam   
Brizgalka   Heparin sodium 1,4 UI/ml
37°C
10 čas
Nedoločeno 4180
 Stopnja dokaza B
Polivinil klorid Physionéal® 3.86 (Baxter) 1,38/0,172 mg/ml
Brizgalka   Piperacillin sodium / tazobactam   
Brizgalka   Heparin sodium 1,4 UI/ml
4°C
168 čas
Nedoločeno 4180
 Stopnja dokaza B
Polipropilen Natrijev klorid 0,9% 20 / 2.5 mg/ml
Brizgalka   Piperacillin sodium / tazobactam   
Brizgalka   Norepinephrine bitartrate 0,032 mg/ml
22-23°C
24 čas
Zaščiteno pred svetlobo 4758
 Stopnja dokaza B
Brizgalka polipropilen Voda za injekcije 90/10 mg/ml
Brizgalka   Piperacillin sodium / tazobactam   
Brizgalka   Paracetamol 10 mg/ml
25°C
4 čas
Nedoločeno 3571
 Stopnja dokaza A+

  Mentions Légales