Última actualización :
27/11/2025
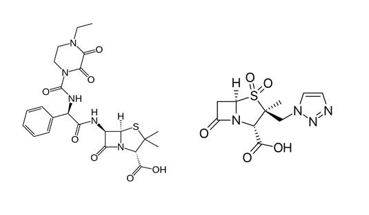
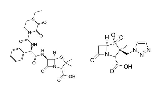
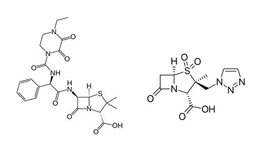
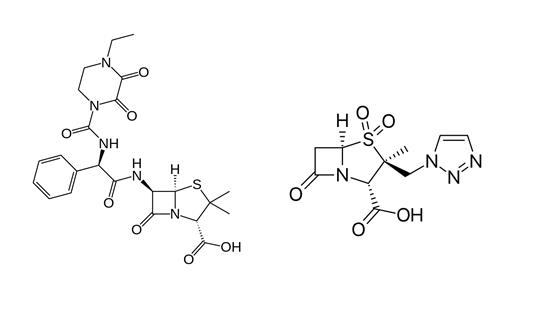
Antibiótico   Piperacillin sodium / tazobactam  
Inyectables
Estabilidad en solucion Estabilidad en mezcla Factores que influyen sobre la estabilidad Compatibilidades método de inyección Bibliografía pdf
   Estructura química  

Nombre comercial   Nombre comercial     

Los nombres comerciales son orientativos y los excipientes de la formulación pueden ser distintos dependiendo del país y del laboratorio fabricante.

Bagotaz Argentina
Betampil Ecuador
Bioval Chile
Petezam Argentina
Piperac Alemania
Piperacillin tazobactam Alemania, Bélgica, Canadá
Piperazam Brasil
Pipetazo Chile
Pipitaz Austria
Pixamol Colombia
Tazobac Ecuador, Italia, Portugal, Suiza
Tazocel España
Tazocilline Francia
Tazocin Argentina, Australia, Brasil, Colombia, Croacia, Dinamarca, Egipto, Emiratos Árabes Unidos, Finlandia, Gran Bretaña, Grecia, Hungría, Irlanda del norte, Italia, Luxemburgo, Marruecos, México, Noruega, Nueva Zelanda, Países Bajos, Polonia, Sudafrica, Suecia, Turquía
Tazonam Austria, Chile
Tazopip Australia
Tazpen Colombia, México
Tazrobida Colombia
Tigux Chile
Tratac Chile
Trital Ecuador
Zosyn Estados Unidos de América, Japón
Estabilidad en mezcla   Inyectables   Estabilidad en mezcla : Piperacillin sodium / tazobactam     
Envase Solvente Concentración Molécula Temperatura Conservación Duración de la estabilidad Bibliografía
Vidrio Cloruro de sodio 0,9% 80/10 mg/ml
Inyectables   Piperacillin sodium / tazobactam   
Inyectables   Ranitidine hydrochloride 0,5 & 2 mg/ml
23°C
4 Hora
Luz 235
Nivel de evidencia B
Vidrio Cloruro de sodio 0,9% 20/2,5 >> 40/5 mg/ml
Inyectables   Piperacillin sodium / tazobactam   
Inyectables   Ondansetron hydrochloride 0,015 >> 0,15 mg/ml
23°C
4 Hora
Luz 16
Cloruro de polivinilo Dianéal® PD1 1.5% Glucosa (Baxter) 0,5/0,0625 mg/ml
Inyectables   Piperacillin sodium / tazobactam   
Inyectables   Heparin sodium 0,5 UI/ml
37°C
10 Hora
No precisada 4180
Nivel de evidencia B
Cloruro de polivinilo Dianéal® PD1 1.5% Glucosa (Baxter) 0,5/0,0625 mg/ml
Inyectables   Piperacillin sodium / tazobactam   
Inyectables   Heparin sodium 0,5 UI/ml
4°C
168 Hora
No precisada 4180
Nivel de evidencia B
Cloruro de polivinilo Dianéal® PD2 4.25% Glucosa (Baxter) 0,5/0,0625 mg/ml
Inyectables   Piperacillin sodium / tazobactam   
Inyectables   Heparin sodium 0,5 UI/ml
37°C
10 Hora
No precisada 4180
Nivel de evidencia B
Cloruro de polivinilo Dianéal® PD2 4.25% Glucosa (Baxter) 0,5/0,0625 mg/ml
Inyectables   Piperacillin sodium / tazobactam   
Inyectables   Heparin sodium 0,5 UI/ml
4°C
168 Hora
No precisada 4180
Nivel de evidencia B
Cloruro de polivinilo Dianéal® PD2 2.5% glucose (Baxter) 0,5/0,0625 mg/ml
Inyectables   Piperacillin sodium / tazobactam   
Inyectables   Heparin sodium 0,5 UI/ml
37°C
10 Hora
No precisada 4180
Nivel de evidencia B
Cloruro de polivinilo Dianéal® PD2 2.5% glucose (Baxter) 0,5/0,0625 mg/ml
Inyectables   Piperacillin sodium / tazobactam   
Inyectables   Heparin sodium 0,5 UI/ml
4°C
168 Hora
No precisada 4180
Nivel de evidencia B
Cloruro de polivinilo Extraneal® (Baxter) 0,5/0,0625 mg/ml
Inyectables   Piperacillin sodium / tazobactam   
Inyectables   Heparin sodium 0,5 UI/ml
37°C
10 Hora
No precisada 4180
Nivel de evidencia B
Cloruro de polivinilo Extraneal® (Baxter) 0,5/0,0625 mg/ml
Inyectables   Piperacillin sodium / tazobactam   
Inyectables   Heparin sodium 0,5 UI/ml
4°C
168 Hora
No precisada 4180
Nivel de evidencia B
Cloruro de polivinilo Physionéal® 1.36 (Baxter) 1,38/0,172 mg/ml
Inyectables   Piperacillin sodium / tazobactam   
Inyectables   Heparin sodium 1,4 UI/ml
37°C
10 Hora
No precisada 4180
Nivel de evidencia B
Cloruro de polivinilo Physionéal® 1.36 (Baxter) 1,38/0,172 mg/ml
Inyectables   Piperacillin sodium / tazobactam   
Inyectables   Heparin sodium 1,4 UI/ml
4°C
168 Hora
No precisada 4180
Nivel de evidencia B
Cloruro de polivinilo Physionéal® 2.27 (Baxter) 1,38/0,172 mg/ml
Inyectables   Piperacillin sodium / tazobactam   
Inyectables   Heparin sodium 1,4 UI/ml
37°C
10 Hora
No precisada 4180
Nivel de evidencia B
Cloruro de polivinilo Physionéal® 2.27 (Baxter) 1,38/0,172 mg/ml
Inyectables   Piperacillin sodium / tazobactam   
Inyectables   Heparin sodium 1,4 UI/ml
4°C
168 Hora
No precisada 4180
Nivel de evidencia B
Cloruro de polivinilo Physionéal® 3.86 (Baxter) 1,38/0,172 mg/ml
Inyectables   Piperacillin sodium / tazobactam   
Inyectables   Heparin sodium 1,4 UI/ml
37°C
10 Hora
No precisada 4180
Nivel de evidencia B
Cloruro de polivinilo Physionéal® 3.86 (Baxter) 1,38/0,172 mg/ml
Inyectables   Piperacillin sodium / tazobactam   
Inyectables   Heparin sodium 1,4 UI/ml
4°C
168 Hora
No precisada 4180
Nivel de evidencia B
Polipropileno Cloruro de sodio 0,9% 20 / 2.5 mg/ml
Inyectables   Piperacillin sodium / tazobactam   
Inyectables   Norepinephrine bitartrate 0,032 mg/ml
22-23°C
24 Hora
A cubierto de la luz 4758
Nivel de evidencia B
jeringa polipropileno Agua para preparación inyectable 90/10 mg/ml
Inyectables   Piperacillin sodium / tazobactam   
Inyectables   Paracetamol 10 mg/ml
25°C
4 Hora
No precisada 3571
Nivel de evidencia A+

  Mentions Légales