Pēdējā atjaunošana :
17/12/2025
Antibiotika   Piperacillin sodium / tazobactam  
Injekcija
Šķīduma stabilitāte Maisījuma stabilitāte Stabilitāti ietekmējoši faktori Saderība Levadīšanas veids Literatūras saraksts pdf
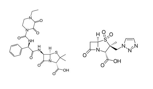
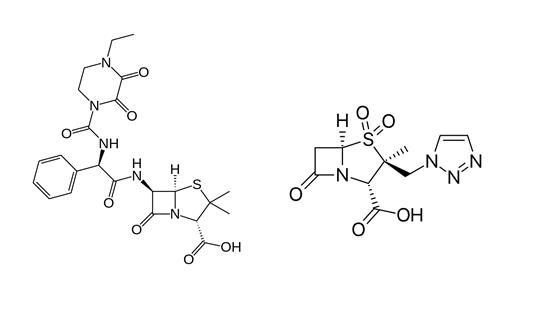
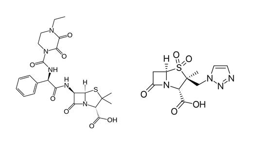
   Ķīmiskā uzbūve   

Oriģinālais nosaukums   Oriģinālais nosaukums     

Tirdzniecības nosaukumi ir apzīmējoši un palīgvielas var atšķirties dažādām valstīm un laboratorijām

Bagotaz Argentīna
Betampil Ekvadora
Bioval Čīle
Petezam Argentīna
Piperac Vācija
Piperacillin tazobactam Beļģija, Kanāda, Vācija
Piperazam Brazīlija
Pipetazo Čīle
Pipitaz Austrija
Pixamol Kolumbija
Tazobac Ekvadora, Itālija, Portugāle, Šveice
Tazocel Spānija
Tazocilline Francija
Tazocin Apvienotie Arābu Emirāti, Argentīna, Austrālija, Brazīlija, Dānija, Dienvidāfrikas Republika, Ēģipte, Grieķija, Holande, Horvātija, Itālija, Jaunzēlande, Kolumbija, Lielbritānija, Luksemburga, Meksika, Norvēģija, Peru, Polija, Somija, Turcija, Ungārija, Ziemeļīrija, Zviedrija
Tazonam Austrija, Čīle
Tazopip Austrālija
Tazpen Kolumbija, Meksika
Tazrobida Kolumbija
Tigux Čīle
Tratac Čīle
Trital Ekvadora
Zosyn Amerikas Savienotās Valstis, Japāna
Maisījuma stabilitāte   Injekcija   Maisījuma stabilitāte : Piperacillin sodium / tazobactam     
Iepakojums Šķīdinātājs Koncentrācija Savienojums Temperatūra Glabāšana Stabilitātes ilgums Literatūras saraksts
Stikls Nātrija hlorīds 0.9% 80/10 mg/ml
Injekcija   Piperacillin sodium / tazobactam   
Injekcija   Ranitidine hydrochloride 0,5 & 2 mg/ml
23°C
4 Stunda
Gaisma 235
Pierādījumu līmenis B
Stikls Nātrija hlorīds 0.9% 20/2,5 >> 40/5 mg/ml
Injekcija   Piperacillin sodium / tazobactam   
Injekcija   Ondansetron hydrochloride 0,015 >> 0,15 mg/ml
23°C
4 Stunda
Gaisma 16
Polivinilhlorīds Dianéal® PD1 1.5% glikoze (Baxter) 0,5/0,0625 mg/ml
Injekcija   Piperacillin sodium / tazobactam   
Injekcija   Heparin sodium 0,5 UI/ml
37°C
10 Stunda
Nav specifisks 4180
Pierādījumu līmenis B
Polivinilhlorīds Dianéal® PD1 1.5% glikoze (Baxter) 0,5/0,0625 mg/ml
Injekcija   Piperacillin sodium / tazobactam   
Injekcija   Heparin sodium 0,5 UI/ml
4°C
168 Stunda
Nav specifisks 4180
Pierādījumu līmenis B
Polivinilhlorīds Dianéal® PD2 4.25% glikoze (Baxter) 0,5/0,0625 mg/ml
Injekcija   Piperacillin sodium / tazobactam   
Injekcija   Heparin sodium 0,5 UI/ml
37°C
10 Stunda
Nav specifisks 4180
Pierādījumu līmenis B
Polivinilhlorīds Dianéal® PD2 4.25% glikoze (Baxter) 0,5/0,0625 mg/ml
Injekcija   Piperacillin sodium / tazobactam   
Injekcija   Heparin sodium 0,5 UI/ml
4°C
168 Stunda
Nav specifisks 4180
Pierādījumu līmenis B
Polivinilhlorīds Dianéal® PD2 2.5% glucose (Baxter) 0,5/0,0625 mg/ml
Injekcija   Piperacillin sodium / tazobactam   
Injekcija   Heparin sodium 0,5 UI/ml
37°C
10 Stunda
Nav specifisks 4180
Pierādījumu līmenis B
Polivinilhlorīds Dianéal® PD2 2.5% glucose (Baxter) 0,5/0,0625 mg/ml
Injekcija   Piperacillin sodium / tazobactam   
Injekcija   Heparin sodium 0,5 UI/ml
4°C
168 Stunda
Nav specifisks 4180
Pierādījumu līmenis B
Polivinilhlorīds Extraneal® (Baxter) 0,5/0,0625 mg/ml
Injekcija   Piperacillin sodium / tazobactam   
Injekcija   Heparin sodium 0,5 UI/ml
37°C
10 Stunda
Nav specifisks 4180
Pierādījumu līmenis B
Polivinilhlorīds Extraneal® (Baxter) 0,5/0,0625 mg/ml
Injekcija   Piperacillin sodium / tazobactam   
Injekcija   Heparin sodium 0,5 UI/ml
4°C
168 Stunda
Nav specifisks 4180
Pierādījumu līmenis B
Polivinilhlorīds Physionéal® 1.36 (Baxter) 1,38/0,172 mg/ml
Injekcija   Piperacillin sodium / tazobactam   
Injekcija   Heparin sodium 1,4 UI/ml
37°C
10 Stunda
Nav specifisks 4180
Pierādījumu līmenis B
Polivinilhlorīds Physionéal® 1.36 (Baxter) 1,38/0,172 mg/ml
Injekcija   Piperacillin sodium / tazobactam   
Injekcija   Heparin sodium 1,4 UI/ml
4°C
168 Stunda
Nav specifisks 4180
Pierādījumu līmenis B
Polivinilhlorīds Physionéal® 2.27 (Baxter) 1,38/0,172 mg/ml
Injekcija   Piperacillin sodium / tazobactam   
Injekcija   Heparin sodium 1,4 UI/ml
37°C
10 Stunda
Nav specifisks 4180
Pierādījumu līmenis B
Polivinilhlorīds Physionéal® 2.27 (Baxter) 1,38/0,172 mg/ml
Injekcija   Piperacillin sodium / tazobactam   
Injekcija   Heparin sodium 1,4 UI/ml
4°C
168 Stunda
Nav specifisks 4180
Pierādījumu līmenis B
Polivinilhlorīds Physionéal® 3.86 (Baxter) 1,38/0,172 mg/ml
Injekcija   Piperacillin sodium / tazobactam   
Injekcija   Heparin sodium 1,4 UI/ml
37°C
10 Stunda
Nav specifisks 4180
Pierādījumu līmenis B
Polivinilhlorīds Physionéal® 3.86 (Baxter) 1,38/0,172 mg/ml
Injekcija   Piperacillin sodium / tazobactam   
Injekcija   Heparin sodium 1,4 UI/ml
4°C
168 Stunda
Nav specifisks 4180
Pierādījumu līmenis B
Polipropilēns Nātrija hlorīds 0.9% 20 / 2.5 mg/ml
Injekcija   Piperacillin sodium / tazobactam   
Injekcija   Norepinephrine bitartrate 0,032 mg/ml
22-23°C
24 Stunda
Aizsargāt no gaismas 4758
Pierādījumu līmenis B
Šļirce polipropilēna Ūdens injekcijām 90/10 mg/ml
Injekcija   Piperacillin sodium / tazobactam   
Injekcija   Paracetamol 10 mg/ml
25°C
4 Stunda
Nav specifisks 3571
Pierādījumu līmenis A+

  Mentions Légales