Последно актуализиране :
27/11/2025
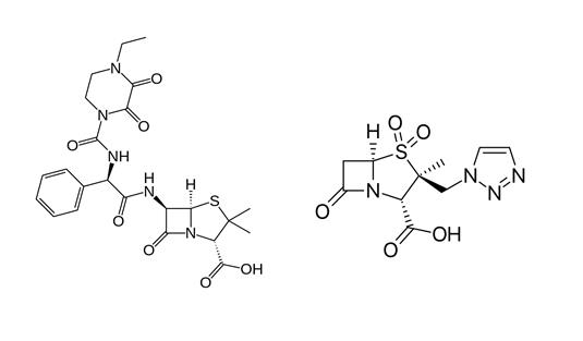
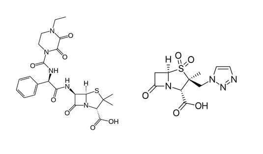
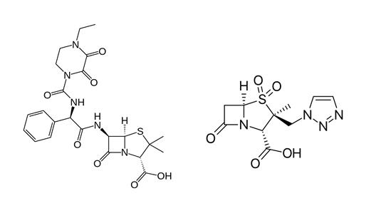
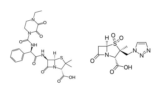
Антибиотик   Piperacillin sodium / tazobactam  
Инжекция/Инжекционен
Стабилност на разтвори Стабилност на смеси Фактори, повлияващи стабилността Съвместимост Път на въвеждане Библиография Pdf
   Химична структура  

Търговско наименование   Търговско наименование     

Търговските имена са примерни и съставът на помощните вещества може да бъде различен в зависимост от държавата и лабораториите

Bagotaz Аржентина
Betampil Еквадор
Bioval Чили
Petezam Аржентина
Piperac Германия
Piperacillin tazobactam Белгия, Германия, Канада
Piperazam Бразилия
Pipetazo Чили
Pipitaz Австрия
Pixamol Колумбия
Tazobac Еквадор, Италия, Португалия, Швейцария
Tazocel Испания
Tazocilline Франция
Tazocin Австралия, Аржентина, Бразилия, Великобритания, Гърция, Дания, Египет, Италия, Колумбия, Люксенбург, Мексико, нова Зеландия, Норвегия, Обединени арабски емирства, Перу, Полша, Северна Ирландия, Турция, Унгария, Финландия, Холандия, Хърватия, Швеция, Южноафриканска република / ЮАР
Tazonam Австрия, Чили
Tazopip Австралия
Tazpen Колумбия, Мексико
Tazrobida Колумбия
Tigux Чили
Tratac Чили
Trital Еквадор
Zosyn Съединени Американски щати / САЩ, Япония
Стабилност на смеси   Инжекция/Инжекционен   Стабилност на смеси : Piperacillin sodium / tazobactam     
Контейнер Разтворител Концентрация Състав / молекула Температура Съхранение Продължителност на стабилността Библиография
Стъкло Sodium chloride 0,9% 80/10 mg/ml
Инжекция/Инжекционен   Piperacillin sodium / tazobactam   
Инжекция/Инжекционен   Ranitidine hydrochloride 0,5 & 2 mg/ml
23°C
4 Час
Светлина 235
Степен на доказаност B
Стъкло Sodium chloride 0,9% 20/2,5 >> 40/5 mg/ml
Инжекция/Инжекционен   Piperacillin sodium / tazobactam   
Инжекция/Инжекционен   Ondansetron hydrochloride 0,015 >> 0,15 mg/ml
23°C
4 Час
Светлина 16
Поливинил хлорид Dianéal® PD1 1.5% glucose (Baxter) 0,5/0,0625 mg/ml
Инжекция/Инжекционен   Piperacillin sodium / tazobactam   
Инжекция/Инжекционен   Heparin sodium 0,5 UI/ml
37°C
10 Час
Не е уточнено 4180
Степен на доказаност B
Поливинил хлорид Dianéal® PD1 1.5% glucose (Baxter) 0,5/0,0625 mg/ml
Инжекция/Инжекционен   Piperacillin sodium / tazobactam   
Инжекция/Инжекционен   Heparin sodium 0,5 UI/ml
4°C
168 Час
Не е уточнено 4180
Степен на доказаност B
Поливинил хлорид Dianéal® PD2 4.25% glucose (Baxter) 0,5/0,0625 mg/ml
Инжекция/Инжекционен   Piperacillin sodium / tazobactam   
Инжекция/Инжекционен   Heparin sodium 0,5 UI/ml
37°C
10 Час
Не е уточнено 4180
Степен на доказаност B
Поливинил хлорид Dianéal® PD2 4.25% glucose (Baxter) 0,5/0,0625 mg/ml
Инжекция/Инжекционен   Piperacillin sodium / tazobactam   
Инжекция/Инжекционен   Heparin sodium 0,5 UI/ml
4°C
168 Час
Не е уточнено 4180
Степен на доказаност B
Поливинил хлорид Dianéal® PD2 2.5% glucose (Baxter) 0,5/0,0625 mg/ml
Инжекция/Инжекционен   Piperacillin sodium / tazobactam   
Инжекция/Инжекционен   Heparin sodium 0,5 UI/ml
37°C
10 Час
Не е уточнено 4180
Степен на доказаност B
Поливинил хлорид Dianéal® PD2 2.5% glucose (Baxter) 0,5/0,0625 mg/ml
Инжекция/Инжекционен   Piperacillin sodium / tazobactam   
Инжекция/Инжекционен   Heparin sodium 0,5 UI/ml
4°C
168 Час
Не е уточнено 4180
Степен на доказаност B
Поливинил хлорид Extraneal® (Baxter) 0,5/0,0625 mg/ml
Инжекция/Инжекционен   Piperacillin sodium / tazobactam   
Инжекция/Инжекционен   Heparin sodium 0,5 UI/ml
37°C
10 Час
Не е уточнено 4180
Степен на доказаност B
Поливинил хлорид Extraneal® (Baxter) 0,5/0,0625 mg/ml
Инжекция/Инжекционен   Piperacillin sodium / tazobactam   
Инжекция/Инжекционен   Heparin sodium 0,5 UI/ml
4°C
168 Час
Не е уточнено 4180
Степен на доказаност B
Поливинил хлорид Physionéal® 1.36 (Baxter) 1,38/0,172 mg/ml
Инжекция/Инжекционен   Piperacillin sodium / tazobactam   
Инжекция/Инжекционен   Heparin sodium 1,4 UI/ml
37°C
10 Час
Не е уточнено 4180
Степен на доказаност B
Поливинил хлорид Physionéal® 1.36 (Baxter) 1,38/0,172 mg/ml
Инжекция/Инжекционен   Piperacillin sodium / tazobactam   
Инжекция/Инжекционен   Heparin sodium 1,4 UI/ml
4°C
168 Час
Не е уточнено 4180
Степен на доказаност B
Поливинил хлорид Physionéal® 2.27 (Baxter) 1,38/0,172 mg/ml
Инжекция/Инжекционен   Piperacillin sodium / tazobactam   
Инжекция/Инжекционен   Heparin sodium 1,4 UI/ml
37°C
10 Час
Не е уточнено 4180
Степен на доказаност B
Поливинил хлорид Physionéal® 2.27 (Baxter) 1,38/0,172 mg/ml
Инжекция/Инжекционен   Piperacillin sodium / tazobactam   
Инжекция/Инжекционен   Heparin sodium 1,4 UI/ml
4°C
168 Час
Не е уточнено 4180
Степен на доказаност B
Поливинил хлорид Physionéal® 3.86 (Baxter) 1,38/0,172 mg/ml
Инжекция/Инжекционен   Piperacillin sodium / tazobactam   
Инжекция/Инжекционен   Heparin sodium 1,4 UI/ml
37°C
10 Час
Не е уточнено 4180
Степен на доказаност B
Поливинил хлорид Physionéal® 3.86 (Baxter) 1,38/0,172 mg/ml
Инжекция/Инжекционен   Piperacillin sodium / tazobactam   
Инжекция/Инжекционен   Heparin sodium 1,4 UI/ml
4°C
168 Час
Не е уточнено 4180
Степен на доказаност B
Полипропилен Sodium chloride 0,9% 20 / 2.5 mg/ml
Инжекция/Инжекционен   Piperacillin sodium / tazobactam   
Инжекция/Инжекционен   Norepinephrine bitartrate 0,032 mg/ml
22-23°C
24 Час
Защита от светлина 4758
Степен на доказаност B
шприц полипропилен Вода за инжекции 90/10 mg/ml
Инжекция/Инжекционен   Piperacillin sodium / tazobactam   
Инжекция/Инжекционен   Paracetamol 10 mg/ml
25°C
4 Час
Не е уточнено 3571
Степен на доказаност A+

  Mentions Légales