Останнє оновлення :
18/03/2026
Антикоагулянти   Heparin sodium  
ін'єкція
Стійкість в розчинах Стійкість сумішей Фактори, що впливають на стабільність Сумісність Шлях введення Список літератури pdf
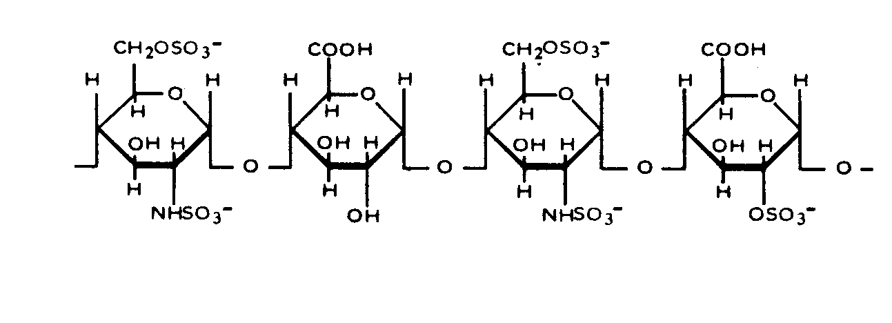
   Хімічна структура  

Торгова назва   Торгова назва     

Торгові назви є орієнтовними, а склад допоміжних речовин може бути різним залежно від країни та виробника

Arapin Чилі
Ateroclar Італія
Clarisco Італія
Epsoclar Італія
Hepaflex Норвегія, Фінляндія
Hepamax Еквадор, Колумбія, Чилі
Heparin Австрія, Великобританія, Греція, Данія, Канада, Нідерланди, Норвегія, Південно-Африканська Республіка, російський, Сербія, Сполучені Штати Америки, Таїланд, Туреччина, Угорщина, Фінляндія, Швейцарія, Швеція
Heparine Бельгія, Франція
Heparinised Австралія
Heparstad Німеччина
Liquemin Туреччина, Швейцарія
Liquemine Бразилія
Monoparin Саудівська Аравія
Normoparin Італія
Nuparin Еквадор
Pharepa Італія
Riveparin Аргентина
Sobrius Аргентина, Еквадор
Thrombophob Німеччина
Стійкість сумішей   ін'єкція   Стійкість сумішей : Heparin sodium     
Контейнер Розчинник Концентрація З'єднання температура Зберігання Тривалість стабільності Список літератури
скло Натрію хлорид 0,9% 9,75 UI/ml
ін'єкція   Heparin sodium   
ін'єкція   Vancomycin hydrochloride 0,025 mg/ml
23°C
85 День
Не визначено 3958
Біологічний аналіз
скло Натрію хлорид 0,9% 50 UI/ml
ін'єкція   Heparin sodium   
ін'єкція   Magnesium sulfate 15,6 mg/ml
25°C
14 День
світло 2100
Біологічний аналіз
скло Натрію хлорид 0,9% 2500 UI/ml
ін'єкція   Heparin sodium   
ін'єкція   Telavancin hydrochloride 2 & 5 mg/ml
ін'єкція   Sodium citrate 22 & 40 mg/ml
37°C
72 годину
Берегти від світла 3327
Рівень доказовості D
скло Натрію хлорид 0,9% 2500 UI/ml
ін'єкція   Heparin sodium   
ін'єкція   Vancomycin hydrochloride 2 & 5 mg/ml
ін'єкція   Sodium citrate 22 & 40 mg/ml
37°C
72 годину
Берегти від світла 3327
Рівень доказовості D
скло Натрію хлорид 0,9% 100 UI/ml
ін'єкція   Heparin sodium   
ін'єкція   Vancomycin hydrochloride 0,025 mg/ml
4°C
63 День
Берегти від світла 1414
Біологічний аналіз
скло Натрію хлорид 0,9% 9,75 UI/ml
ін'єкція   Heparin sodium   
ін'єкція   Vancomycin hydrochloride 0,025 mg/ml
4°C
85 День
Не визначено 3958
Біологічний аналіз
скло Глюкоза 5% 59 UI/ml
ін'єкція   Heparin sodium   
ін'єкція   Milrinone lactate 0,2 mg/ml
22°C-23°C
4 годину
світло 813
Рівень доказовості А
скло Глюкоза 5% 20 UI/ml
ін'єкція   Heparin sodium   
ін'єкція   Dopamine hydrochloride 0,8 mg/ml
23°C-25°C
24 годину
світло 738
Джокер
скло Глюкоза 5% 50 UI/ml
ін'єкція   Heparin sodium   
ін'єкція   Palonosetron hydrochloride 25 µg/ml
25°C
4 годину
світло 2279
Рівень доказовості А+
скло Глюкоза 5% 100 UI/ml
ін'єкція   Heparin sodium   
ін'єкція   Fluconazole 1 mg/ml
25°C
24 годину
світло 257
Рівень доказовості D
Полівініл хлорид Натрію хлорид 0,9% 20 & 50 UI/ml
ін'єкція   Heparin sodium   
ін'єкція   Tirofiban 25 µg/ml
25°C
4 годину
світло 1420
Рівень доказовості C+
Полівініл хлорид Глюкоза 5% 50 UI/ml
ін'єкція   Heparin sodium   
ін'єкція   Flumazenil 0,02 mg/ml
23°C
24 годину
світло 187
Рівень доказовості А
Полівініл хлорид Глюкоза 5% 20 & 50 UI/ml
ін'єкція   Heparin sodium   
ін'єкція   Tirofiban 25 µg/ml
25°C
4 годину
світло 1420
Рівень доказовості C+
Полівініл хлорид Dianéal® PD1 1.5% glucose (Baxter) 0,5 UI/ml
ін'єкція   Heparin sodium   
ін'єкція   Piperacillin sodium / tazobactam 0,5/0,0625 mg/ml
37°C
10 годину
Не визначено 4180
Рівень доказовості B
Полівініл хлорид Dianéal® PD1 1.5% glucose (Baxter) 0,5 UI/ml
ін'єкція   Heparin sodium   
ін'єкція   Meropenem 0,5 mg/ml
37°C
10 годину
Не визначено 4180
Рівень доказовості B
Полівініл хлорид Dianéal® PD1 1.5% glucose (Baxter) 0,5 UI/ml
ін'єкція   Heparin sodium   
ін'єкція   Piperacillin sodium / tazobactam 0,5/0,0625 mg/ml
4°C
168 годину
Не визначено 4180
Рівень доказовості B
Полівініл хлорид Dianéal® PD1 1.5% glucose (Baxter) 0,5 UI/ml
ін'єкція   Heparin sodium   
ін'єкція   Meropenem 0,5 mg/ml
4°C
168 годину
Не визначено 4180
Рівень доказовості B
Полівініл хлорид Dianéal® PD2 4.25% glucose (Baxter) 0,5 UI/ml
ін'єкція   Heparin sodium   
ін'єкція   Piperacillin sodium / tazobactam 0,5/0,0625 mg/ml
37°C
10 годину
Не визначено 4180
Рівень доказовості B
Полівініл хлорид Dianéal® PD2 4.25% glucose (Baxter) 0,5 UI/ml
ін'єкція   Heparin sodium   
ін'єкція   Meropenem 0,5 mg/ml
37°C
10 годину
Не визначено 4180
Рівень доказовості B
Полівініл хлорид Dianéal® PD2 4.25% glucose (Baxter) 0.5 UI/ml
ін'єкція   Heparin sodium   
ін'єкція   Ceftazidime 0.125 mg/ml
37°C
12 годину
Не визначено 4056
Рівень доказовості B+
Полівініл хлорид Dianéal® PD2 4.25% glucose (Baxter) 0.5 UI/ml
ін'єкція   Heparin sodium   
ін'єкція   Ceftazidime 0.125 mg/ml
4°C
120 годину
Не визначено 4056
Рівень доказовості B+
Полівініл хлорид Dianéal® PD2 4.25% glucose (Baxter) 0,5 UI/ml
ін'єкція   Heparin sodium   
ін'єкція   Piperacillin sodium / tazobactam 0,5/0,0625 mg/ml
4°C
168 годину
Не визначено 4180
Рівень доказовості B
Полівініл хлорид Dianéal® PD2 4.25% glucose (Baxter) 0,5 UI/ml
ін'єкція   Heparin sodium   
ін'єкція   Meropenem 0,5 mg/ml
4°C
168 годину
Не визначено 4180
Рівень доказовості B
Полівініл хлорид Dianéal® PD2 2.5% glucose (Baxter) 0,5 UI/ml
ін'єкція   Heparin sodium   
ін'єкція   Piperacillin sodium / tazobactam 0,5/0,0625 mg/ml
37°C
10 годину
Не визначено 4180
Рівень доказовості B
Полівініл хлорид Dianéal® PD2 2.5% glucose (Baxter) 0,5 UI/ml
ін'єкція   Heparin sodium   
ін'єкція   Meropenem 0,5 mg/ml
37°C
10 годину
Не визначено 4180
Рівень доказовості B
Полівініл хлорид Dianéal® PD2 2.5% glucose (Baxter) 0.5 UI/ml
ін'єкція   Heparin sodium   
ін'єкція   Ceftazidime 0.125 mg/ml
37°C
12 годину
Не визначено 4056
Рівень доказовості B+
Полівініл хлорид Dianéal® PD2 2.5% glucose (Baxter) 0.5 UI/ml
ін'єкція   Heparin sodium   
ін'єкція   Ceftazidime 0.125 mg/ml
4°C
120 годину
Не визначено 4056
Рівень доказовості B+
Полівініл хлорид Dianéal® PD2 2.5% glucose (Baxter) 0,5 UI/ml
ін'єкція   Heparin sodium   
ін'єкція   Piperacillin sodium / tazobactam 0,5/0,0625 mg/ml
4°C
168 годину
Не визначено 4180
Рівень доказовості B
Полівініл хлорид Dianéal® PD2 2.5% glucose (Baxter) 0,5 UI/ml
ін'єкція   Heparin sodium   
ін'єкція   Meropenem 0,5 mg/ml
4°C
168 годину
Не визначено 4180
Рівень доказовості B
Полівініл хлорид Extraneal® (Baxter) 0,5 UI/ml
ін'єкція   Heparin sodium   
ін'єкція   Piperacillin sodium / tazobactam 0,5/0,0625 mg/ml
37°C
10 годину
Не визначено 4180
Рівень доказовості B
Полівініл хлорид Extraneal® (Baxter) 0,5 UI/ml
ін'єкція   Heparin sodium   
ін'єкція   Meropenem 0,5 mg/ml
37°C
10 годину
Не визначено 4180
Рівень доказовості B
Полівініл хлорид Extraneal® (Baxter) 0.5 UI/ml
ін'єкція   Heparin sodium   
ін'єкція   Ceftazidime 0.125 mg/ml
37°C
12 годину
Не визначено 4056
Рівень доказовості B+
Полівініл хлорид Extraneal® (Baxter) 0.5 UI/ml
ін'єкція   Heparin sodium   
ін'єкція   Ceftazidime 0.125 mg/ml
4°C
120 годину
Не визначено 4056
Рівень доказовості B+
Полівініл хлорид Extraneal® (Baxter) 0,5 UI/ml
ін'єкція   Heparin sodium   
ін'єкція   Piperacillin sodium / tazobactam 0,5/0,0625 mg/ml
4°C
168 годину
Не визначено 4180
Рівень доказовості B
Полівініл хлорид Extraneal® (Baxter) 0,5 UI/ml
ін'єкція   Heparin sodium   
ін'єкція   Meropenem 0,5 mg/ml
4°C
168 годину
Не визначено 4180
Рівень доказовості B
Полівініл хлорид Physionéal® 1.36 (Baxter) 1,4 UI/ml
ін'єкція   Heparin sodium   
ін'єкція   Piperacillin sodium / tazobactam 1,38/0,172 mg/ml
37°C
10 годину
Не визначено 4180
Рівень доказовості B
Полівініл хлорид Physionéal® 1.36 (Baxter) 1,4 UI/ml
ін'єкція   Heparin sodium   
ін'єкція   Piperacillin sodium / tazobactam 1,38/0,172 mg/ml
4°C
168 годину
Не визначено 4180
Рівень доказовості B
Полівініл хлорид Physionéal® 2.27 (Baxter) 1,4 UI/ml
ін'єкція   Heparin sodium   
ін'єкція   Piperacillin sodium / tazobactam 1,38/0,172 mg/ml
37°C
10 годину
Не визначено 4180
Рівень доказовості B
Полівініл хлорид Physionéal® 2.27 (Baxter) 1,4 UI/ml
ін'єкція   Heparin sodium   
ін'єкція   Piperacillin sodium / tazobactam 1,38/0,172 mg/ml
4°C
168 годину
Не визначено 4180
Рівень доказовості B
Полівініл хлорид Physionéal® 3.86 (Baxter) 1,4 UI/ml
ін'єкція   Heparin sodium   
ін'єкція   Piperacillin sodium / tazobactam 1,38/0,172 mg/ml
37°C
10 годину
Не визначено 4180
Рівень доказовості B
Полівініл хлорид Physionéal® 3.86 (Baxter) 1,4 UI/ml
ін'єкція   Heparin sodium   
ін'єкція   Piperacillin sodium / tazobactam 1,38/0,172 mg/ml
4°C
168 годину
Не визначено 4180
Рівень доказовості B
Поліпропілен Натрію хлорид 0,9% 5000 UI/ml
ін'єкція   Heparin sodium   
ін'єкція   Vancomycin hydrochloride 0,1 mg/ml
4°C
28 День
Не визначено 3956
Біологічний аналіз
Поліпропілен Натрію хлорид 0,9% 5000 UI/ml
ін'єкція   Heparin sodium   
ін'єкція   Gentamicin sulfate 0,1 mg/ml
4°C
28 День
Не визначено 3956
Біологічний аналіз
Поліпропіленовий шприц Натрію хлорид 0,9% 100 UI/ml
ін'єкція   Heparin sodium   
ін'єкція   Vancomycin hydrochloride 0,025 mg/ml
4°C
14 День
Берегти від світла 895
Біологічний аналіз
Поліпропіленовий шприц Розчин лактату Рінгера 100 UI/ml
ін'єкція   Heparin sodium   
ін'єкція   Daptomycin 5 mg/ml
-20°C
14 День
Берегти від світла 3665
Рівень доказовості B
Поліпропіленовий шприц Розчин лактату Рінгера 100 UI/ml
ін'єкція   Heparin sodium   
ін'єкція   Daptomycin 5 mg/ml
4°C
14 День
Не визначено 3665
Рівень доказовості B
Поліпропіленовий шприц Жодного 960 UI/ml
ін'єкція   Heparin sodium   
ін'єкція   Fluorouracil 24 mg/ml
37°C
7 День
Не визначено 163
Рівень доказовості B
Поліпропіленовий шприц Жодного 960 UI/ml
ін'єкція   Heparin sodium   
ін'єкція   Fluorouracil 24 mg/ml
4°C
14 День
Берегти від світла 163
Рівень доказовості B
Не визначено Натрію хлорид 0,9% 5000 UI/ml
ін'єкція   Heparin sodium   
ін'єкція   Daptomycin 19,6 mg/ml
22°C-28°C
2 годину
Не визначено 1937
Рівень доказовості C+

  Mentions Légales