Utolsó frissítés :
27/11/2025
Véralvadásgátló   Heparin sodium  
Injekció
Az oldatok stabilitása A keverékek stabilitása Stabilitást befolyásoló tényezők Kompatibilitás Az alkalmazás módja Irodalom pdf
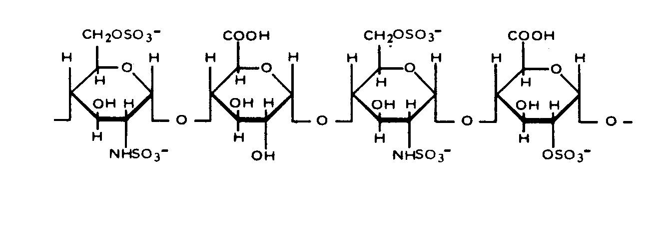
   Kémiai szerkezet   

Kereskedelmi név   Kereskedelmi név     

A kereskedelmi név meghatározó jelentőségű: a készítmények összetétele országonként, előállítóként eltérő lehet

Arapin Chile
Ateroclar Olaszország
Clarisco Olaszország
Epsoclar Olaszország
Hepaflex Finnország, Norvégia
Hepamax Chile, Colombia, Ecuador
Heparin Amerikai Egyesült Államok, Ausztria, Dánia, Dél-Afrikai Köztársaság, Finnország, Görögország, Hollandia, Jugoszlávia, Kanada, Magyarország, Nagy-Britannia, Norvégia, orosz, Svájc, Svédország, Thaiföld, Törökország
Heparine Belgium, Franciaország
Heparinised Ausztrália
Heparstad Németország
Liquemin Svájc, Törökország
Liquemine Brazília
Monoparin Szaúd-Arábiában
Normoparin Olaszország
Nuparin Ecuador
Pharepa Olaszország
Riveparin Argentína
Sobrius Argentína, Ecuador
Thrombophob Németország
A keverékek stabilitása   Injekció   A keverékek stabilitása : Heparin sodium     
Csomagolás Oldószer Koncentráció Vegyület Hőmérséklet Tárolás A stabilitás időtartama Irodalom
Üveg 0,9% nátrium-klorid 9,75 UI/ml
Injekció   Heparin sodium   
Injekció   Vancomycin hydrochloride 0,025 mg/ml
23°C
85 Nap
Nincs meghatározva 3958
Biológiai elemzés
Üveg 0,9% nátrium-klorid 50 UI/ml
Injekció   Heparin sodium   
Injekció   Magnesium sulfate 15,6 mg/ml
25°C
14 Nap
Fény 2100
Biológiai elemzés
Üveg 0,9% nátrium-klorid 2500 UI/ml
Injekció   Heparin sodium   
Injekció   Telavancin hydrochloride 2 & 5 mg/ml
Injekció   Sodium citrate 22 & 40 mg/ml
37°C
72 Óra
Fénytől védve tartandó 3327
Szintű bizonyítékot D
Üveg 0,9% nátrium-klorid 2500 UI/ml
Injekció   Heparin sodium   
Injekció   Vancomycin hydrochloride 2 & 5 mg/ml
Injekció   Sodium citrate 22 & 40 mg/ml
37°C
72 Óra
Fénytől védve tartandó 3327
Szintű bizonyítékot D
Üveg 0,9% nátrium-klorid 100 UI/ml
Injekció   Heparin sodium   
Injekció   Vancomycin hydrochloride 0,025 mg/ml
4°C
63 Nap
Fénytől védve tartandó 1414
Biológiai elemzés
Üveg 0,9% nátrium-klorid 9,75 UI/ml
Injekció   Heparin sodium   
Injekció   Vancomycin hydrochloride 0,025 mg/ml
4°C
85 Nap
Nincs meghatározva 3958
Biológiai elemzés
Üveg 5% glükóz 59 UI/ml
Injekció   Heparin sodium   
Injekció   Milrinone lactate 0,2 mg/ml
22°C-23°C
4 Óra
Fény 813
Szintű bizonyítékot A
Üveg 5% glükóz 20 UI/ml
Injekció   Heparin sodium   
Injekció   Dopamine hydrochloride 0,8 mg/ml
23°C-25°C
24 Óra
Fény 738
tréfacsináló
Üveg 5% glükóz 50 UI/ml
Injekció   Heparin sodium   
Injekció   Palonosetron hydrochloride 25 µg/ml
25°C
4 Óra
Fény 2279
Szintű bizonyítékot A+
Üveg 5% glükóz 100 UI/ml
Injekció   Heparin sodium   
Injekció   Fluconazole 1 mg/ml
25°C
24 Óra
Fény 257
Szintű bizonyítékot D
Poli(vinilklorid) 0,9% NaCl vagy 5% glükóz 20 & 50 UI/ml
Injekció   Heparin sodium   
Injekció   Tirofiban 25 µg/ml
25°C
4 Óra
Fény 1420
Szintű bizonyítékot C+
Poli(vinilklorid) 5% glükóz 50 UI/ml
Injekció   Heparin sodium   
Injekció   Flumazenil 0,02 mg/ml
23°C
24 Óra
Fény 187
Szintű bizonyítékot A
Poli(vinilklorid) Dianéal® PD1 1.5% glükóz (Baxter) 0,5 UI/ml
Injekció   Heparin sodium   
Injekció   Piperacillin sodium / tazobactam 0,5/0,0625 mg/ml
37°C
10 Óra
Nincs meghatározva 4180
Szintű bizonyítékot B
Poli(vinilklorid) Dianéal® PD1 1.5% glükóz (Baxter) 0,5 UI/ml
Injekció   Heparin sodium   
Injekció   Meropenem 0,5 mg/ml
37°C
10 Óra
Nincs meghatározva 4180
Szintű bizonyítékot B
Poli(vinilklorid) Dianéal® PD1 1.5% glükóz (Baxter) 0,5 UI/ml
Injekció   Heparin sodium   
Injekció   Piperacillin sodium / tazobactam 0,5/0,0625 mg/ml
4°C
168 Óra
Nincs meghatározva 4180
Szintű bizonyítékot B
Poli(vinilklorid) Dianéal® PD1 1.5% glükóz (Baxter) 0,5 UI/ml
Injekció   Heparin sodium   
Injekció   Meropenem 0,5 mg/ml
4°C
168 Óra
Nincs meghatározva 4180
Szintű bizonyítékot B
Poli(vinilklorid) Dianéal® PD2 4.25% glükóz (Baxter) 0,5 UI/ml
Injekció   Heparin sodium   
Injekció   Piperacillin sodium / tazobactam 0,5/0,0625 mg/ml
37°C
10 Óra
Nincs meghatározva 4180
Szintű bizonyítékot B
Poli(vinilklorid) Dianéal® PD2 4.25% glükóz (Baxter) 0,5 UI/ml
Injekció   Heparin sodium   
Injekció   Meropenem 0,5 mg/ml
37°C
10 Óra
Nincs meghatározva 4180
Szintű bizonyítékot B
Poli(vinilklorid) Dianéal® PD2 4.25% glükóz (Baxter) 0.5 UI/ml
Injekció   Heparin sodium   
Injekció   Ceftazidime 0.125 mg/ml
37°C
12 Óra
Nincs meghatározva 4056
Szintű bizonyítékot B+
Poli(vinilklorid) Dianéal® PD2 4.25% glükóz (Baxter) 0.5 UI/ml
Injekció   Heparin sodium   
Injekció   Ceftazidime 0.125 mg/ml
4°C
120 Óra
Nincs meghatározva 4056
Szintű bizonyítékot B+
Poli(vinilklorid) Dianéal® PD2 4.25% glükóz (Baxter) 0,5 UI/ml
Injekció   Heparin sodium   
Injekció   Piperacillin sodium / tazobactam 0,5/0,0625 mg/ml
4°C
168 Óra
Nincs meghatározva 4180
Szintű bizonyítékot B
Poli(vinilklorid) Dianéal® PD2 4.25% glükóz (Baxter) 0,5 UI/ml
Injekció   Heparin sodium   
Injekció   Meropenem 0,5 mg/ml
4°C
168 Óra
Nincs meghatározva 4180
Szintű bizonyítékot B
Poli(vinilklorid) Dianéal® PD2 2.5% glucose (Baxter) 0,5 UI/ml
Injekció   Heparin sodium   
Injekció   Piperacillin sodium / tazobactam 0,5/0,0625 mg/ml
37°C
10 Óra
Nincs meghatározva 4180
Szintű bizonyítékot B
Poli(vinilklorid) Dianéal® PD2 2.5% glucose (Baxter) 0,5 UI/ml
Injekció   Heparin sodium   
Injekció   Meropenem 0,5 mg/ml
37°C
10 Óra
Nincs meghatározva 4180
Szintű bizonyítékot B
Poli(vinilklorid) Dianéal® PD2 2.5% glucose (Baxter) 0.5 UI/ml
Injekció   Heparin sodium   
Injekció   Ceftazidime 0.125 mg/ml
37°C
12 Óra
Nincs meghatározva 4056
Szintű bizonyítékot B+
Poli(vinilklorid) Dianéal® PD2 2.5% glucose (Baxter) 0.5 UI/ml
Injekció   Heparin sodium   
Injekció   Ceftazidime 0.125 mg/ml
4°C
120 Óra
Nincs meghatározva 4056
Szintű bizonyítékot B+
Poli(vinilklorid) Dianéal® PD2 2.5% glucose (Baxter) 0,5 UI/ml
Injekció   Heparin sodium   
Injekció   Piperacillin sodium / tazobactam 0,5/0,0625 mg/ml
4°C
168 Óra
Nincs meghatározva 4180
Szintű bizonyítékot B
Poli(vinilklorid) Dianéal® PD2 2.5% glucose (Baxter) 0,5 UI/ml
Injekció   Heparin sodium   
Injekció   Meropenem 0,5 mg/ml
4°C
168 Óra
Nincs meghatározva 4180
Szintű bizonyítékot B
Poli(vinilklorid) Extraneal® (Baxter) 0,5 UI/ml
Injekció   Heparin sodium   
Injekció   Piperacillin sodium / tazobactam 0,5/0,0625 mg/ml
37°C
10 Óra
Nincs meghatározva 4180
Szintű bizonyítékot B
Poli(vinilklorid) Extraneal® (Baxter) 0,5 UI/ml
Injekció   Heparin sodium   
Injekció   Meropenem 0,5 mg/ml
37°C
10 Óra
Nincs meghatározva 4180
Szintű bizonyítékot B
Poli(vinilklorid) Extraneal® (Baxter) 0.5 UI/ml
Injekció   Heparin sodium   
Injekció   Ceftazidime 0.125 mg/ml
37°C
12 Óra
Nincs meghatározva 4056
Szintű bizonyítékot B+
Poli(vinilklorid) Extraneal® (Baxter) 0.5 UI/ml
Injekció   Heparin sodium   
Injekció   Ceftazidime 0.125 mg/ml
4°C
120 Óra
Nincs meghatározva 4056
Szintű bizonyítékot B+
Poli(vinilklorid) Extraneal® (Baxter) 0,5 UI/ml
Injekció   Heparin sodium   
Injekció   Piperacillin sodium / tazobactam 0,5/0,0625 mg/ml
4°C
168 Óra
Nincs meghatározva 4180
Szintű bizonyítékot B
Poli(vinilklorid) Extraneal® (Baxter) 0,5 UI/ml
Injekció   Heparin sodium   
Injekció   Meropenem 0,5 mg/ml
4°C
168 Óra
Nincs meghatározva 4180
Szintű bizonyítékot B
Poli(vinilklorid) Physionéal® 1.36 (Baxter) 1,4 UI/ml
Injekció   Heparin sodium   
Injekció   Piperacillin sodium / tazobactam 1,38/0,172 mg/ml
37°C
10 Óra
Nincs meghatározva 4180
Szintű bizonyítékot B
Poli(vinilklorid) Physionéal® 1.36 (Baxter) 1,4 UI/ml
Injekció   Heparin sodium   
Injekció   Piperacillin sodium / tazobactam 1,38/0,172 mg/ml
4°C
168 Óra
Nincs meghatározva 4180
Szintű bizonyítékot B
Poli(vinilklorid) Physionéal® 2.27 (Baxter) 1,4 UI/ml
Injekció   Heparin sodium   
Injekció   Piperacillin sodium / tazobactam 1,38/0,172 mg/ml
37°C
10 Óra
Nincs meghatározva 4180
Szintű bizonyítékot B
Poli(vinilklorid) Physionéal® 2.27 (Baxter) 1,4 UI/ml
Injekció   Heparin sodium   
Injekció   Piperacillin sodium / tazobactam 1,38/0,172 mg/ml
4°C
168 Óra
Nincs meghatározva 4180
Szintű bizonyítékot B
Poli(vinilklorid) Physionéal® 3.86 (Baxter) 1,4 UI/ml
Injekció   Heparin sodium   
Injekció   Piperacillin sodium / tazobactam 1,38/0,172 mg/ml
37°C
10 Óra
Nincs meghatározva 4180
Szintű bizonyítékot B
Poli(vinilklorid) Physionéal® 3.86 (Baxter) 1,4 UI/ml
Injekció   Heparin sodium   
Injekció   Piperacillin sodium / tazobactam 1,38/0,172 mg/ml
4°C
168 Óra
Nincs meghatározva 4180
Szintű bizonyítékot B
Polipropilén 0,9% nátrium-klorid 5000 UI/ml
Injekció   Heparin sodium   
Injekció   Vancomycin hydrochloride 0,1 mg/ml
4°C
28 Nap
Nincs meghatározva 3956
Biológiai elemzés
Polipropilén 0,9% nátrium-klorid 5000 UI/ml
Injekció   Heparin sodium   
Injekció   Gentamicin sulfate 0,1 mg/ml
4°C
28 Nap
Nincs meghatározva 3956
Biológiai elemzés
fecskendő polipropilén 0,9% nátrium-klorid 100 UI/ml
Injekció   Heparin sodium   
Injekció   Vancomycin hydrochloride 0,025 mg/ml
4°C
14 Nap
Fénytől védve tartandó 895
Biológiai elemzés
fecskendő polipropilén Ringer-laktát oldat 100 UI/ml
Injekció   Heparin sodium   
Injekció   Daptomycin 5 mg/ml
-20°C
14 Nap
Fénytől védve tartandó 3665
Szintű bizonyítékot B
fecskendő polipropilén Ringer-laktát oldat 100 UI/ml
Injekció   Heparin sodium   
Injekció   Daptomycin 5 mg/ml
4°C
14 Nap
Nincs meghatározva 3665
Szintű bizonyítékot B
fecskendő polipropilén Egy sem 960 UI/ml
Injekció   Heparin sodium   
Injekció   Fluorouracil 24 mg/ml
37°C
7 Nap
Nincs meghatározva 163
Szintű bizonyítékot B
fecskendő polipropilén Egy sem 960 UI/ml
Injekció   Heparin sodium   
Injekció   Fluorouracil 24 mg/ml
4°C
14 Nap
Fénytől védve tartandó 163
Szintű bizonyítékot B
Nincs meghatározva 0,9% nátrium-klorid 5000 UI/ml
Injekció   Heparin sodium   
Injekció   Daptomycin 19,6 mg/ml
22°C-28°C
2 Óra
Nincs meghatározva 1937
Szintű bizonyítékot C+

  Mentions Légales