zadnja posodobitev :
18/03/2026
Antikoagulant   Heparin sodium  
Brizgalka
Stabilnost raztopine Stabilnost mešanice Faktorji, ki vplivajo na stabilnost Kompatibilnost način aplikacije Viri pdf
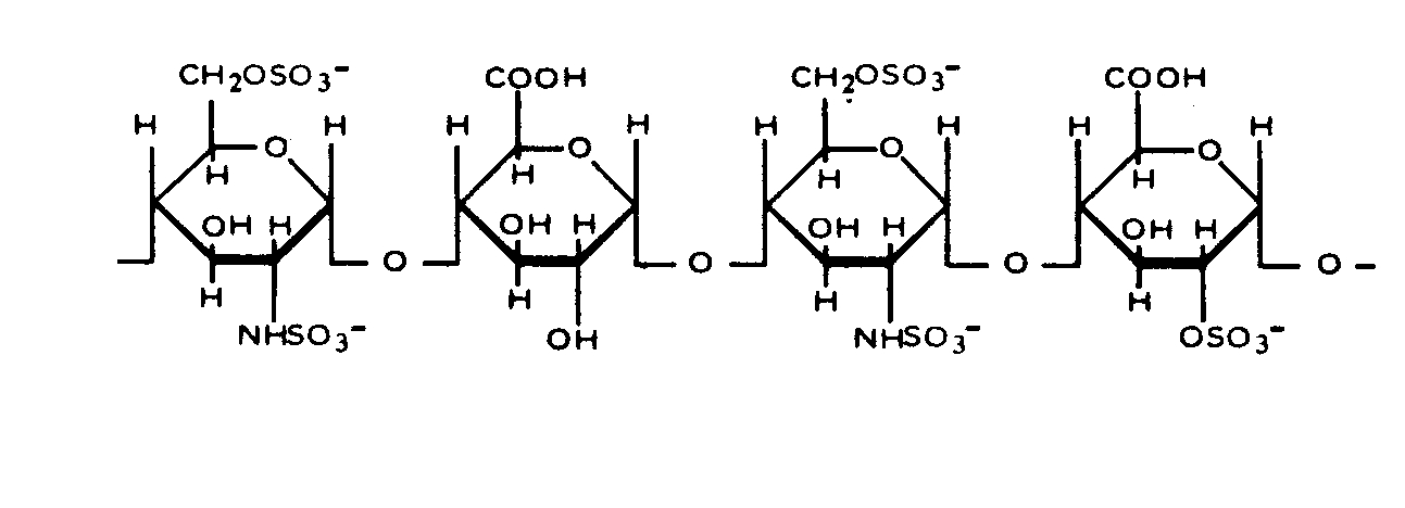
   Kemična formula  

Lastniško ime   Lastniško ime     

Sestava pomožnih snovi je med paralelami lahko različna

Arapin Čile
Ateroclar Italija
Clarisco Italija
Epsoclar Italija
Hepaflex Finska, Norveška
Hepamax Čile, Ekvador, Kolumbija
Heparin Avstrija, Danska, Finska, Grčija, Jugoslavija, Južnoafriška republika, Kanada, Madžarska, Nizozemska, Norveška, ruščina, Švedska, Švica, Tajska, Turčija, Velika Britanija, Združene države Amerike
Heparine Belgija, Francija
Heparinised Avstralija
Heparstad Nemčija
Liquemin Švica, Turčija
Liquemine Brazilija
Monoparin Savdska Arabija
Normoparin Italija
Nuparin Ekvador
Pharepa Italija
Riveparin Argentina
Sobrius Argentina, Ekvador
Thrombophob Nemčija
Stabilnost mešanice   Brizgalka   Stabilnost mešanice : Heparin sodium     
Vsebnik Topilo Koncentracija Sestava Temperatura Shranjevanje Trajanje stabilnosti Viri
Steklo Natrijev klorid 0,9% 9,75 UI/ml
Brizgalka   Heparin sodium   
Brizgalka   Vancomycin hydrochloride 0,025 mg/ml
23°C
85 Dan
Nedoločeno 3958
biološka analiza
Steklo Natrijev klorid 0,9% 50 UI/ml
Brizgalka   Heparin sodium   
Brizgalka   Magnesium sulfate 15,6 mg/ml
25°C
14 Dan
Svetloba 2100
biološka analiza
Steklo Natrijev klorid 0,9% 2500 UI/ml
Brizgalka   Heparin sodium   
Brizgalka   Telavancin hydrochloride 2 & 5 mg/ml
Brizgalka   Sodium citrate 22 & 40 mg/ml
37°C
72 čas
Zaščiteno pred svetlobo 3327
 Stopnja dokaza D
Steklo Natrijev klorid 0,9% 2500 UI/ml
Brizgalka   Heparin sodium   
Brizgalka   Vancomycin hydrochloride 2 & 5 mg/ml
Brizgalka   Sodium citrate 22 & 40 mg/ml
37°C
72 čas
Zaščiteno pred svetlobo 3327
 Stopnja dokaza D
Steklo Natrijev klorid 0,9% 100 UI/ml
Brizgalka   Heparin sodium   
Brizgalka   Vancomycin hydrochloride 0,025 mg/ml
4°C
63 Dan
Zaščiteno pred svetlobo 1414
biološka analiza
Steklo Natrijev klorid 0,9% 9,75 UI/ml
Brizgalka   Heparin sodium   
Brizgalka   Vancomycin hydrochloride 0,025 mg/ml
4°C
85 Dan
Nedoločeno 3958
biološka analiza
Steklo Glukoza 5% 59 UI/ml
Brizgalka   Heparin sodium   
Brizgalka   Milrinone lactate 0,2 mg/ml
22°C-23°C
4 čas
Svetloba 813
 Stopnja dokaza A
Steklo Glukoza 5% 20 UI/ml
Brizgalka   Heparin sodium   
Brizgalka   Dopamine hydrochloride 0,8 mg/ml
23°C-25°C
24 čas
Svetloba 738
Joker
Steklo Glukoza 5% 50 UI/ml
Brizgalka   Heparin sodium   
Brizgalka   Palonosetron hydrochloride 25 µg/ml
25°C
4 čas
Svetloba 2279
 Stopnja dokaza A+
Steklo Glukoza 5% 100 UI/ml
Brizgalka   Heparin sodium   
Brizgalka   Fluconazole 1 mg/ml
25°C
24 čas
Svetloba 257
 Stopnja dokaza D
Polivinil klorid Natrijev klorid 0,9% 20 & 50 UI/ml
Brizgalka   Heparin sodium   
Brizgalka   Tirofiban 25 µg/ml
25°C
4 čas
Svetloba 1420
 Stopnja dokaza C+
Polivinil klorid Glukoza 5% 50 UI/ml
Brizgalka   Heparin sodium   
Brizgalka   Flumazenil 0,02 mg/ml
23°C
24 čas
Svetloba 187
 Stopnja dokaza A
Polivinil klorid Glukoza 5% 20 & 50 UI/ml
Brizgalka   Heparin sodium   
Brizgalka   Tirofiban 25 µg/ml
25°C
4 čas
Svetloba 1420
 Stopnja dokaza C+
Polivinil klorid Dianéal® PD1 1.5% Glukoza (Baxter) 0,5 UI/ml
Brizgalka   Heparin sodium   
Brizgalka   Piperacillin sodium / tazobactam 0,5/0,0625 mg/ml
37°C
10 čas
Nedoločeno 4180
 Stopnja dokaza B
Polivinil klorid Dianéal® PD1 1.5% Glukoza (Baxter) 0,5 UI/ml
Brizgalka   Heparin sodium   
Brizgalka   Meropenem 0,5 mg/ml
37°C
10 čas
Nedoločeno 4180
 Stopnja dokaza B
Polivinil klorid Dianéal® PD1 1.5% Glukoza (Baxter) 0,5 UI/ml
Brizgalka   Heparin sodium   
Brizgalka   Piperacillin sodium / tazobactam 0,5/0,0625 mg/ml
4°C
168 čas
Nedoločeno 4180
 Stopnja dokaza B
Polivinil klorid Dianéal® PD1 1.5% Glukoza (Baxter) 0,5 UI/ml
Brizgalka   Heparin sodium   
Brizgalka   Meropenem 0,5 mg/ml
4°C
168 čas
Nedoločeno 4180
 Stopnja dokaza B
Polivinil klorid Dianéal® PD2 4.25% Glukoza (Baxter) 0,5 UI/ml
Brizgalka   Heparin sodium   
Brizgalka   Piperacillin sodium / tazobactam 0,5/0,0625 mg/ml
37°C
10 čas
Nedoločeno 4180
 Stopnja dokaza B
Polivinil klorid Dianéal® PD2 4.25% Glukoza (Baxter) 0,5 UI/ml
Brizgalka   Heparin sodium   
Brizgalka   Meropenem 0,5 mg/ml
37°C
10 čas
Nedoločeno 4180
 Stopnja dokaza B
Polivinil klorid Dianéal® PD2 4.25% Glukoza (Baxter) 0.5 UI/ml
Brizgalka   Heparin sodium   
Brizgalka   Ceftazidime 0.125 mg/ml
37°C
12 čas
Nedoločeno 4056
 Stopnja dokaza B+
Polivinil klorid Dianéal® PD2 4.25% Glukoza (Baxter) 0.5 UI/ml
Brizgalka   Heparin sodium   
Brizgalka   Ceftazidime 0.125 mg/ml
4°C
120 čas
Nedoločeno 4056
 Stopnja dokaza B+
Polivinil klorid Dianéal® PD2 4.25% Glukoza (Baxter) 0,5 UI/ml
Brizgalka   Heparin sodium   
Brizgalka   Piperacillin sodium / tazobactam 0,5/0,0625 mg/ml
4°C
168 čas
Nedoločeno 4180
 Stopnja dokaza B
Polivinil klorid Dianéal® PD2 4.25% Glukoza (Baxter) 0,5 UI/ml
Brizgalka   Heparin sodium   
Brizgalka   Meropenem 0,5 mg/ml
4°C
168 čas
Nedoločeno 4180
 Stopnja dokaza B
Polivinil klorid Dianéal® PD2 2.5% glucose (Baxter) 0,5 UI/ml
Brizgalka   Heparin sodium   
Brizgalka   Piperacillin sodium / tazobactam 0,5/0,0625 mg/ml
37°C
10 čas
Nedoločeno 4180
 Stopnja dokaza B
Polivinil klorid Dianéal® PD2 2.5% glucose (Baxter) 0,5 UI/ml
Brizgalka   Heparin sodium   
Brizgalka   Meropenem 0,5 mg/ml
37°C
10 čas
Nedoločeno 4180
 Stopnja dokaza B
Polivinil klorid Dianéal® PD2 2.5% glucose (Baxter) 0.5 UI/ml
Brizgalka   Heparin sodium   
Brizgalka   Ceftazidime 0.125 mg/ml
37°C
12 čas
Nedoločeno 4056
 Stopnja dokaza B+
Polivinil klorid Dianéal® PD2 2.5% glucose (Baxter) 0.5 UI/ml
Brizgalka   Heparin sodium   
Brizgalka   Ceftazidime 0.125 mg/ml
4°C
120 čas
Nedoločeno 4056
 Stopnja dokaza B+
Polivinil klorid Dianéal® PD2 2.5% glucose (Baxter) 0,5 UI/ml
Brizgalka   Heparin sodium   
Brizgalka   Piperacillin sodium / tazobactam 0,5/0,0625 mg/ml
4°C
168 čas
Nedoločeno 4180
 Stopnja dokaza B
Polivinil klorid Dianéal® PD2 2.5% glucose (Baxter) 0,5 UI/ml
Brizgalka   Heparin sodium   
Brizgalka   Meropenem 0,5 mg/ml
4°C
168 čas
Nedoločeno 4180
 Stopnja dokaza B
Polivinil klorid Extraneal® (Baxter) 0,5 UI/ml
Brizgalka   Heparin sodium   
Brizgalka   Piperacillin sodium / tazobactam 0,5/0,0625 mg/ml
37°C
10 čas
Nedoločeno 4180
 Stopnja dokaza B
Polivinil klorid Extraneal® (Baxter) 0,5 UI/ml
Brizgalka   Heparin sodium   
Brizgalka   Meropenem 0,5 mg/ml
37°C
10 čas
Nedoločeno 4180
 Stopnja dokaza B
Polivinil klorid Extraneal® (Baxter) 0.5 UI/ml
Brizgalka   Heparin sodium   
Brizgalka   Ceftazidime 0.125 mg/ml
37°C
12 čas
Nedoločeno 4056
 Stopnja dokaza B+
Polivinil klorid Extraneal® (Baxter) 0.5 UI/ml
Brizgalka   Heparin sodium   
Brizgalka   Ceftazidime 0.125 mg/ml
4°C
120 čas
Nedoločeno 4056
 Stopnja dokaza B+
Polivinil klorid Extraneal® (Baxter) 0,5 UI/ml
Brizgalka   Heparin sodium   
Brizgalka   Piperacillin sodium / tazobactam 0,5/0,0625 mg/ml
4°C
168 čas
Nedoločeno 4180
 Stopnja dokaza B
Polivinil klorid Extraneal® (Baxter) 0,5 UI/ml
Brizgalka   Heparin sodium   
Brizgalka   Meropenem 0,5 mg/ml
4°C
168 čas
Nedoločeno 4180
 Stopnja dokaza B
Polivinil klorid Physionéal® 1.36 (Baxter) 1,4 UI/ml
Brizgalka   Heparin sodium   
Brizgalka   Piperacillin sodium / tazobactam 1,38/0,172 mg/ml
37°C
10 čas
Nedoločeno 4180
 Stopnja dokaza B
Polivinil klorid Physionéal® 1.36 (Baxter) 1,4 UI/ml
Brizgalka   Heparin sodium   
Brizgalka   Piperacillin sodium / tazobactam 1,38/0,172 mg/ml
4°C
168 čas
Nedoločeno 4180
 Stopnja dokaza B
Polivinil klorid Physionéal® 2.27 (Baxter) 1,4 UI/ml
Brizgalka   Heparin sodium   
Brizgalka   Piperacillin sodium / tazobactam 1,38/0,172 mg/ml
37°C
10 čas
Nedoločeno 4180
 Stopnja dokaza B
Polivinil klorid Physionéal® 2.27 (Baxter) 1,4 UI/ml
Brizgalka   Heparin sodium   
Brizgalka   Piperacillin sodium / tazobactam 1,38/0,172 mg/ml
4°C
168 čas
Nedoločeno 4180
 Stopnja dokaza B
Polivinil klorid Physionéal® 3.86 (Baxter) 1,4 UI/ml
Brizgalka   Heparin sodium   
Brizgalka   Piperacillin sodium / tazobactam 1,38/0,172 mg/ml
37°C
10 čas
Nedoločeno 4180
 Stopnja dokaza B
Polivinil klorid Physionéal® 3.86 (Baxter) 1,4 UI/ml
Brizgalka   Heparin sodium   
Brizgalka   Piperacillin sodium / tazobactam 1,38/0,172 mg/ml
4°C
168 čas
Nedoločeno 4180
 Stopnja dokaza B
Polipropilen Natrijev klorid 0,9% 5000 UI/ml
Brizgalka   Heparin sodium   
Brizgalka   Vancomycin hydrochloride 0,1 mg/ml
4°C
28 Dan
Nedoločeno 3956
biološka analiza
Polipropilen Natrijev klorid 0,9% 5000 UI/ml
Brizgalka   Heparin sodium   
Brizgalka   Gentamicin sulfate 0,1 mg/ml
4°C
28 Dan
Nedoločeno 3956
biološka analiza
Brizgalka polipropilen Natrijev klorid 0,9% 100 UI/ml
Brizgalka   Heparin sodium   
Brizgalka   Vancomycin hydrochloride 0,025 mg/ml
4°C
14 Dan
Zaščiteno pred svetlobo 895
biološka analiza
Brizgalka polipropilen Ringerjev laktat 100 UI/ml
Brizgalka   Heparin sodium   
Brizgalka   Daptomycin 5 mg/ml
-20°C
14 Dan
Zaščiteno pred svetlobo 3665
 Stopnja dokaza B
Brizgalka polipropilen Ringerjev laktat 100 UI/ml
Brizgalka   Heparin sodium   
Brizgalka   Daptomycin 5 mg/ml
4°C
14 Dan
Nedoločeno 3665
 Stopnja dokaza B
Brizgalka polipropilen Nobeden 960 UI/ml
Brizgalka   Heparin sodium   
Brizgalka   Fluorouracil 24 mg/ml
37°C
7 Dan
Nedoločeno 163
 Stopnja dokaza B
Brizgalka polipropilen Nobeden 960 UI/ml
Brizgalka   Heparin sodium   
Brizgalka   Fluorouracil 24 mg/ml
4°C
14 Dan
Zaščiteno pred svetlobo 163
 Stopnja dokaza B
Nedoločeno Natrijev klorid 0,9% 5000 UI/ml
Brizgalka   Heparin sodium   
Brizgalka   Daptomycin 19,6 mg/ml
22°C-28°C
2 čas
Nedoločeno 1937
 Stopnja dokaza C+

  Mentions Légales