Τελευταία ενημέρωση :
27/11/2025
Αντιπηκτικό   Heparin sodium  
Ενέσιμο
Σταθερότητα διαλυμάτων Σταθερότητα σε μίγματα Παράγοντας που επηρεάζει τη σταθερότητα Συμβατότητες Τρόπος χορήγησης Βιβλιογραφία pdf
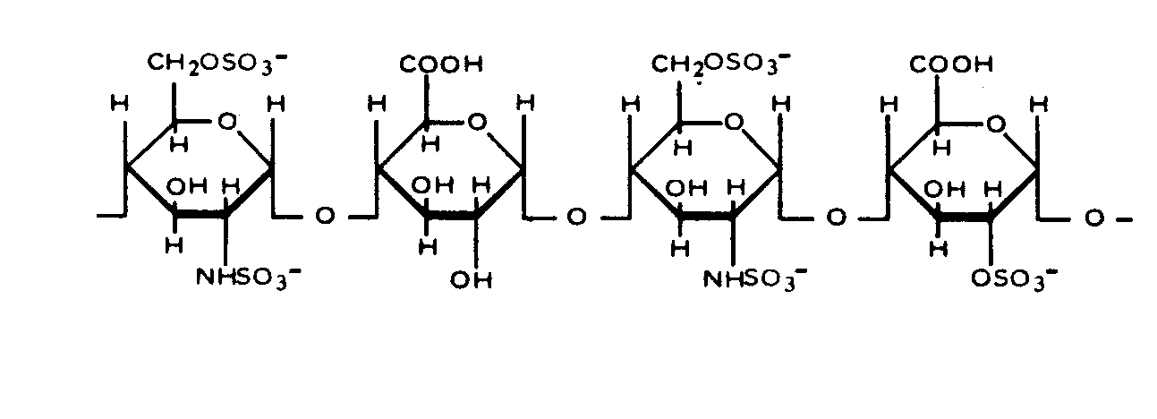
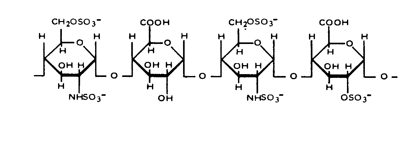
   χημική δομή  

Εμπορική ονομασία   Εμπορική ονομασία     

Οι εμπορικές ονομασίες είναι ενδεικτικές και η σύνθεση των εκδόχων μπορεί να διαφέρει ανάλογα με τη χώρα και τα εργαστήρια

Arapin Χιλή
Ateroclar Ιταλία
Clarisco Ιταλία
Epsoclar Ιταλία
Hepaflex Νορβηγία, Φινλανδία
Hepamax Εκουαδόρ, Κολομβία, Χιλή
Heparin Αυστρία, Γιουγκοσλαβία, Δανία, Ελβετία, Ελλάδα, Η.Π.Α., Καναδάς, Μεγάλη Βρετανία, Νορβηγία, Νότιος Αφρική, Ολλανδία, Ουγγαρία, Ρωσικά, Σουηδία, Ταϊλάνδη, Τουρκία, Φινλανδία
Heparine Βέλγιο, Γαλλία
Heparinised Αυστραλία
Heparstad Γερμανία
Liquemin Ελβετία, Τουρκία
Liquemine Βραζιλία
Monoparin Σαουδική Αραβία
Normoparin Ιταλία
Nuparin Εκουαδόρ
Pharepa Ιταλία
Riveparin Αργεντινή
Sobrius Αργεντινή, Εκουαδόρ
Thrombophob Γερμανία
Σταθερότητα σε μίγματα   Ενέσιμο   Σταθερότητα σε μίγματα : Heparin sodium     
Υποδοχέας Διαλυτικό Συγκέντρωση Συστατικό Θερμοκρασία Αποθήκευση Διάρκεια σταθερότητας Βιβλιογραφία
Ύαλος Χλωριούχο νάτριο 0,9% 9,75 UI/ml
Ενέσιμο   Heparin sodium   
Ενέσιμο   Vancomycin hydrochloride 0,025 mg/ml
23°C
85 Ημέρα
Απροσδιόριστο 3958
Βιολογική ανάλυση
Ύαλος Χλωριούχο νάτριο 0,9% 50 UI/ml
Ενέσιμο   Heparin sodium   
Ενέσιμο   Magnesium sulfate 15,6 mg/ml
25°C
14 Ημέρα
Φως 2100
Βιολογική ανάλυση
Ύαλος Χλωριούχο νάτριο 0,9% 2500 UI/ml
Ενέσιμο   Heparin sodium   
Ενέσιμο   Telavancin hydrochloride 2 & 5 mg/ml
Ενέσιμο   Sodium citrate 22 & 40 mg/ml
37°C
72 Ώρα
Προστατεύετε από το φως 3327
Επίπεδο των αποδεικτικών στοιχείων D
Ύαλος Χλωριούχο νάτριο 0,9% 2500 UI/ml
Ενέσιμο   Heparin sodium   
Ενέσιμο   Vancomycin hydrochloride 2 & 5 mg/ml
Ενέσιμο   Sodium citrate 22 & 40 mg/ml
37°C
72 Ώρα
Προστατεύετε από το φως 3327
Επίπεδο των αποδεικτικών στοιχείων D
Ύαλος Χλωριούχο νάτριο 0,9% 100 UI/ml
Ενέσιμο   Heparin sodium   
Ενέσιμο   Vancomycin hydrochloride 0,025 mg/ml
4°C
63 Ημέρα
Προστατεύετε από το φως 1414
Βιολογική ανάλυση
Ύαλος Χλωριούχο νάτριο 0,9% 9,75 UI/ml
Ενέσιμο   Heparin sodium   
Ενέσιμο   Vancomycin hydrochloride 0,025 mg/ml
4°C
85 Ημέρα
Απροσδιόριστο 3958
Βιολογική ανάλυση
Ύαλος Γλυκόζη 5% 59 UI/ml
Ενέσιμο   Heparin sodium   
Ενέσιμο   Milrinone lactate 0,2 mg/ml
22°C-23°C
4 Ώρα
Φως 813
Επίπεδο των αποδεικτικών στοιχείων A
Ύαλος Γλυκόζη 5% 20 UI/ml
Ενέσιμο   Heparin sodium   
Ενέσιμο   Dopamine hydrochloride 0,8 mg/ml
23°C-25°C
24 Ώρα
Φως 738
Τζόκερ
Ύαλος Γλυκόζη 5% 50 UI/ml
Ενέσιμο   Heparin sodium   
Ενέσιμο   Palonosetron hydrochloride 25 µg/ml
25°C
4 Ώρα
Φως 2279
Επίπεδο των αποδεικτικών στοιχείων A+
Ύαλος Γλυκόζη 5% 100 UI/ml
Ενέσιμο   Heparin sodium   
Ενέσιμο   Fluconazole 1 mg/ml
25°C
24 Ώρα
Φως 257
Επίπεδο των αποδεικτικών στοιχείων D
Πολυβινυλοχλωρίδιο NaCl 0,9% ή Γλυκόζη 5% 20 & 50 UI/ml
Ενέσιμο   Heparin sodium   
Ενέσιμο   Tirofiban 25 µg/ml
25°C
4 Ώρα
Φως 1420
Επίπεδο των αποδεικτικών στοιχείων C+
Πολυβινυλοχλωρίδιο Γλυκόζη 5% 50 UI/ml
Ενέσιμο   Heparin sodium   
Ενέσιμο   Flumazenil 0,02 mg/ml
23°C
24 Ώρα
Φως 187
Επίπεδο των αποδεικτικών στοιχείων A
Πολυβινυλοχλωρίδιο Dianéal® PD1 1.5% Γλυκόζη (Baxter) 0,5 UI/ml
Ενέσιμο   Heparin sodium   
Ενέσιμο   Piperacillin sodium / tazobactam 0,5/0,0625 mg/ml
37°C
10 Ώρα
Απροσδιόριστο 4180
Επίπεδο των αποδεικτικών στοιχείων B
Πολυβινυλοχλωρίδιο Dianéal® PD1 1.5% Γλυκόζη (Baxter) 0,5 UI/ml
Ενέσιμο   Heparin sodium   
Ενέσιμο   Meropenem 0,5 mg/ml
37°C
10 Ώρα
Απροσδιόριστο 4180
Επίπεδο των αποδεικτικών στοιχείων B
Πολυβινυλοχλωρίδιο Dianéal® PD1 1.5% Γλυκόζη (Baxter) 0,5 UI/ml
Ενέσιμο   Heparin sodium   
Ενέσιμο   Piperacillin sodium / tazobactam 0,5/0,0625 mg/ml
4°C
168 Ώρα
Απροσδιόριστο 4180
Επίπεδο των αποδεικτικών στοιχείων B
Πολυβινυλοχλωρίδιο Dianéal® PD1 1.5% Γλυκόζη (Baxter) 0,5 UI/ml
Ενέσιμο   Heparin sodium   
Ενέσιμο   Meropenem 0,5 mg/ml
4°C
168 Ώρα
Απροσδιόριστο 4180
Επίπεδο των αποδεικτικών στοιχείων B
Πολυβινυλοχλωρίδιο Dianéal® PD2 4.25% Γλυκόζη (Baxter) 0,5 UI/ml
Ενέσιμο   Heparin sodium   
Ενέσιμο   Piperacillin sodium / tazobactam 0,5/0,0625 mg/ml
37°C
10 Ώρα
Απροσδιόριστο 4180
Επίπεδο των αποδεικτικών στοιχείων B
Πολυβινυλοχλωρίδιο Dianéal® PD2 4.25% Γλυκόζη (Baxter) 0,5 UI/ml
Ενέσιμο   Heparin sodium   
Ενέσιμο   Meropenem 0,5 mg/ml
37°C
10 Ώρα
Απροσδιόριστο 4180
Επίπεδο των αποδεικτικών στοιχείων B
Πολυβινυλοχλωρίδιο Dianéal® PD2 4.25% Γλυκόζη (Baxter) 0.5 UI/ml
Ενέσιμο   Heparin sodium   
Ενέσιμο   Ceftazidime 0.125 mg/ml
37°C
12 Ώρα
Απροσδιόριστο 4056
Επίπεδο των αποδεικτικών στοιχείων B+
Πολυβινυλοχλωρίδιο Dianéal® PD2 4.25% Γλυκόζη (Baxter) 0.5 UI/ml
Ενέσιμο   Heparin sodium   
Ενέσιμο   Ceftazidime 0.125 mg/ml
4°C
120 Ώρα
Απροσδιόριστο 4056
Επίπεδο των αποδεικτικών στοιχείων B+
Πολυβινυλοχλωρίδιο Dianéal® PD2 4.25% Γλυκόζη (Baxter) 0,5 UI/ml
Ενέσιμο   Heparin sodium   
Ενέσιμο   Piperacillin sodium / tazobactam 0,5/0,0625 mg/ml
4°C
168 Ώρα
Απροσδιόριστο 4180
Επίπεδο των αποδεικτικών στοιχείων B
Πολυβινυλοχλωρίδιο Dianéal® PD2 4.25% Γλυκόζη (Baxter) 0,5 UI/ml
Ενέσιμο   Heparin sodium   
Ενέσιμο   Meropenem 0,5 mg/ml
4°C
168 Ώρα
Απροσδιόριστο 4180
Επίπεδο των αποδεικτικών στοιχείων B
Πολυβινυλοχλωρίδιο Dianéal® PD2 2.5% glucose (Baxter) 0,5 UI/ml
Ενέσιμο   Heparin sodium   
Ενέσιμο   Piperacillin sodium / tazobactam 0,5/0,0625 mg/ml
37°C
10 Ώρα
Απροσδιόριστο 4180
Επίπεδο των αποδεικτικών στοιχείων B
Πολυβινυλοχλωρίδιο Dianéal® PD2 2.5% glucose (Baxter) 0,5 UI/ml
Ενέσιμο   Heparin sodium   
Ενέσιμο   Meropenem 0,5 mg/ml
37°C
10 Ώρα
Απροσδιόριστο 4180
Επίπεδο των αποδεικτικών στοιχείων B
Πολυβινυλοχλωρίδιο Dianéal® PD2 2.5% glucose (Baxter) 0.5 UI/ml
Ενέσιμο   Heparin sodium   
Ενέσιμο   Ceftazidime 0.125 mg/ml
37°C
12 Ώρα
Απροσδιόριστο 4056
Επίπεδο των αποδεικτικών στοιχείων B+
Πολυβινυλοχλωρίδιο Dianéal® PD2 2.5% glucose (Baxter) 0.5 UI/ml
Ενέσιμο   Heparin sodium   
Ενέσιμο   Ceftazidime 0.125 mg/ml
4°C
120 Ώρα
Απροσδιόριστο 4056
Επίπεδο των αποδεικτικών στοιχείων B+
Πολυβινυλοχλωρίδιο Dianéal® PD2 2.5% glucose (Baxter) 0,5 UI/ml
Ενέσιμο   Heparin sodium   
Ενέσιμο   Piperacillin sodium / tazobactam 0,5/0,0625 mg/ml
4°C
168 Ώρα
Απροσδιόριστο 4180
Επίπεδο των αποδεικτικών στοιχείων B
Πολυβινυλοχλωρίδιο Dianéal® PD2 2.5% glucose (Baxter) 0,5 UI/ml
Ενέσιμο   Heparin sodium   
Ενέσιμο   Meropenem 0,5 mg/ml
4°C
168 Ώρα
Απροσδιόριστο 4180
Επίπεδο των αποδεικτικών στοιχείων B
Πολυβινυλοχλωρίδιο Extraneal® (Baxter) 0,5 UI/ml
Ενέσιμο   Heparin sodium   
Ενέσιμο   Piperacillin sodium / tazobactam 0,5/0,0625 mg/ml
37°C
10 Ώρα
Απροσδιόριστο 4180
Επίπεδο των αποδεικτικών στοιχείων B
Πολυβινυλοχλωρίδιο Extraneal® (Baxter) 0,5 UI/ml
Ενέσιμο   Heparin sodium   
Ενέσιμο   Meropenem 0,5 mg/ml
37°C
10 Ώρα
Απροσδιόριστο 4180
Επίπεδο των αποδεικτικών στοιχείων B
Πολυβινυλοχλωρίδιο Extraneal® (Baxter) 0.5 UI/ml
Ενέσιμο   Heparin sodium   
Ενέσιμο   Ceftazidime 0.125 mg/ml
37°C
12 Ώρα
Απροσδιόριστο 4056
Επίπεδο των αποδεικτικών στοιχείων B+
Πολυβινυλοχλωρίδιο Extraneal® (Baxter) 0.5 UI/ml
Ενέσιμο   Heparin sodium   
Ενέσιμο   Ceftazidime 0.125 mg/ml
4°C
120 Ώρα
Απροσδιόριστο 4056
Επίπεδο των αποδεικτικών στοιχείων B+
Πολυβινυλοχλωρίδιο Extraneal® (Baxter) 0,5 UI/ml
Ενέσιμο   Heparin sodium   
Ενέσιμο   Piperacillin sodium / tazobactam 0,5/0,0625 mg/ml
4°C
168 Ώρα
Απροσδιόριστο 4180
Επίπεδο των αποδεικτικών στοιχείων B
Πολυβινυλοχλωρίδιο Extraneal® (Baxter) 0,5 UI/ml
Ενέσιμο   Heparin sodium   
Ενέσιμο   Meropenem 0,5 mg/ml
4°C
168 Ώρα
Απροσδιόριστο 4180
Επίπεδο των αποδεικτικών στοιχείων B
Πολυβινυλοχλωρίδιο Physionéal® 1.36 (Baxter) 1,4 UI/ml
Ενέσιμο   Heparin sodium   
Ενέσιμο   Piperacillin sodium / tazobactam 1,38/0,172 mg/ml
37°C
10 Ώρα
Απροσδιόριστο 4180
Επίπεδο των αποδεικτικών στοιχείων B
Πολυβινυλοχλωρίδιο Physionéal® 1.36 (Baxter) 1,4 UI/ml
Ενέσιμο   Heparin sodium   
Ενέσιμο   Piperacillin sodium / tazobactam 1,38/0,172 mg/ml
4°C
168 Ώρα
Απροσδιόριστο 4180
Επίπεδο των αποδεικτικών στοιχείων B
Πολυβινυλοχλωρίδιο Physionéal® 2.27 (Baxter) 1,4 UI/ml
Ενέσιμο   Heparin sodium   
Ενέσιμο   Piperacillin sodium / tazobactam 1,38/0,172 mg/ml
37°C
10 Ώρα
Απροσδιόριστο 4180
Επίπεδο των αποδεικτικών στοιχείων B
Πολυβινυλοχλωρίδιο Physionéal® 2.27 (Baxter) 1,4 UI/ml
Ενέσιμο   Heparin sodium   
Ενέσιμο   Piperacillin sodium / tazobactam 1,38/0,172 mg/ml
4°C
168 Ώρα
Απροσδιόριστο 4180
Επίπεδο των αποδεικτικών στοιχείων B
Πολυβινυλοχλωρίδιο Physionéal® 3.86 (Baxter) 1,4 UI/ml
Ενέσιμο   Heparin sodium   
Ενέσιμο   Piperacillin sodium / tazobactam 1,38/0,172 mg/ml
37°C
10 Ώρα
Απροσδιόριστο 4180
Επίπεδο των αποδεικτικών στοιχείων B
Πολυβινυλοχλωρίδιο Physionéal® 3.86 (Baxter) 1,4 UI/ml
Ενέσιμο   Heparin sodium   
Ενέσιμο   Piperacillin sodium / tazobactam 1,38/0,172 mg/ml
4°C
168 Ώρα
Απροσδιόριστο 4180
Επίπεδο των αποδεικτικών στοιχείων B
Πολυπροπυλένιο Χλωριούχο νάτριο 0,9% 5000 UI/ml
Ενέσιμο   Heparin sodium   
Ενέσιμο   Vancomycin hydrochloride 0,1 mg/ml
4°C
28 Ημέρα
Απροσδιόριστο 3956
Βιολογική ανάλυση
Πολυπροπυλένιο Χλωριούχο νάτριο 0,9% 5000 UI/ml
Ενέσιμο   Heparin sodium   
Ενέσιμο   Gentamicin sulfate 0,1 mg/ml
4°C
28 Ημέρα
Απροσδιόριστο 3956
Βιολογική ανάλυση
σύριγγα πολυπροπυλένιο Χλωριούχο νάτριο 0,9% 100 UI/ml
Ενέσιμο   Heparin sodium   
Ενέσιμο   Vancomycin hydrochloride 0,025 mg/ml
4°C
14 Ημέρα
Προστατεύετε από το φως 895
Βιολογική ανάλυση
σύριγγα πολυπροπυλένιο Γαλακτικό διάλυμα Ringer 100 UI/ml
Ενέσιμο   Heparin sodium   
Ενέσιμο   Daptomycin 5 mg/ml
-20°C
14 Ημέρα
Προστατεύετε από το φως 3665
Επίπεδο των αποδεικτικών στοιχείων B
σύριγγα πολυπροπυλένιο Γαλακτικό διάλυμα Ringer 100 UI/ml
Ενέσιμο   Heparin sodium   
Ενέσιμο   Daptomycin 5 mg/ml
4°C
14 Ημέρα
Απροσδιόριστο 3665
Επίπεδο των αποδεικτικών στοιχείων B
σύριγγα πολυπροπυλένιο Ουδέν 960 UI/ml
Ενέσιμο   Heparin sodium   
Ενέσιμο   Fluorouracil 24 mg/ml
37°C
7 Ημέρα
Απροσδιόριστο 163
Επίπεδο των αποδεικτικών στοιχείων B
σύριγγα πολυπροπυλένιο Ουδέν 960 UI/ml
Ενέσιμο   Heparin sodium   
Ενέσιμο   Fluorouracil 24 mg/ml
4°C
14 Ημέρα
Προστατεύετε από το φως 163
Επίπεδο των αποδεικτικών στοιχείων B
Απροσδιόριστο Χλωριούχο νάτριο 0,9% 5000 UI/ml
Ενέσιμο   Heparin sodium   
Ενέσιμο   Daptomycin 19,6 mg/ml
22°C-28°C
2 Ώρα
Απροσδιόριστο 1937
Επίπεδο των αποδεικτικών στοιχείων C+

  Mentions Légales