Poslední aktualizace :
05/12/2025
Antikoaguliantas   Heparin sodium  
Įpurškimas
Tirpalų stabilumas Mišinių stabilumas Stabilumą lemiantys veiksniai Suderinamumas Leidimo būdai Bibliografija pdf
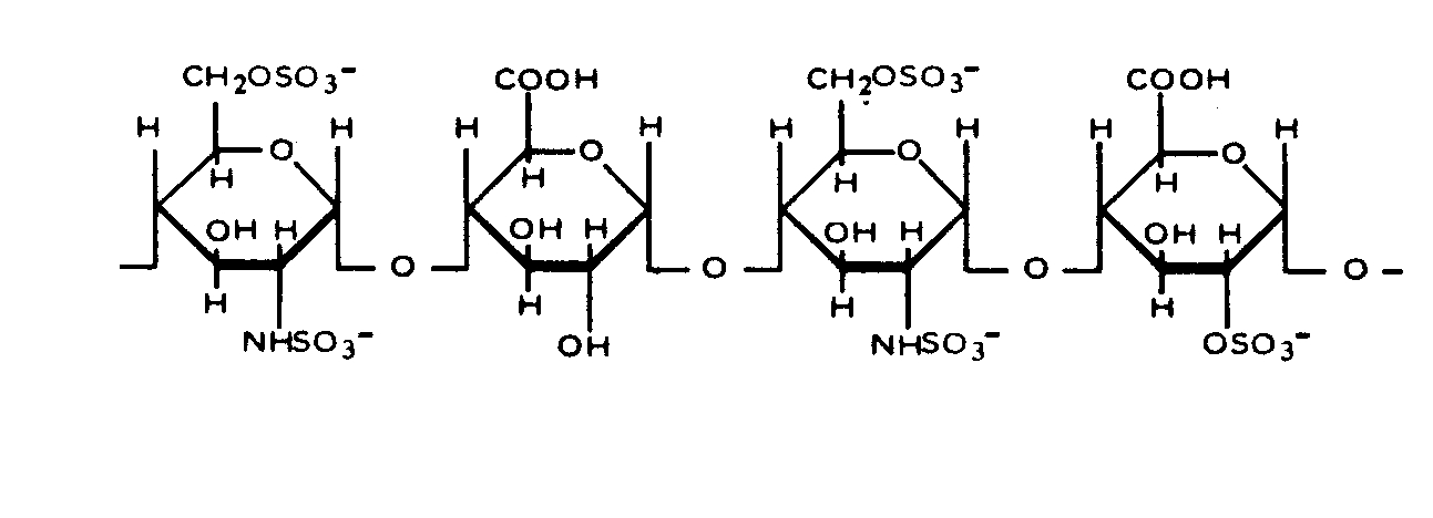
   Cheminė sandara  

Prekinis pavadinimas   Prekinis pavadinimas     

Trade names are indicative and excipients composition can be different depending on the country and manufacturers

Arapin Čilė
Ateroclar Italija
Clarisco Italija
Epsoclar Italija
Hepaflex Norvegija, Suomija
Hepamax Čilė, Ekvadoras, Kolumbija
Heparin Austrija, Danija, Didžioji Britanija, Graikija, Jugoslavija, Jungtinės Amerikos Valstijos, Kanada, Norvegija, Olandija, Pietų Afrikos Respublika, rusų, Suomija, Švedija, Šveicarija, Tailandas, Turkija, Vengrija
Heparine Belgija, Prancūzija
Heparinised Australija
Heparstad Vokietija
Liquemin Šveicarija, Turkija
Liquemine Brazilija
Monoparin Saudo Arabija
Normoparin Italija
Nuparin Ekvadoras
Pharepa Italija
Riveparin Argentina
Sobrius Argentina, Ekvadoras
Thrombophob Vokietija
Mišinių stabilumas   Įpurškimas   Mišinių stabilumas : Heparin sodium     
Pakuotė Tirpiklis Koncentracija Molekulė Temperatūra Laikymas Stabilumo trukmė Nuorodos
Stiklas Natrio chloridas 0,9% 9,75 UI/ml
Įpurškimas   Heparin sodium   
Įpurškimas   Vancomycin hydrochloride 0,025 mg/ml
23°C
85 Diena
Nenurodyta 3958
Biologinis metodas
Stiklas Natrio chloridas 0,9% 50 UI/ml
Įpurškimas   Heparin sodium   
Įpurškimas   Magnesium sulfate 15,6 mg/ml
25°C
14 Diena
Šviesa 2100
Biologinis metodas
Stiklas Natrio chloridas 0,9% 2500 UI/ml
Įpurškimas   Heparin sodium   
Įpurškimas   Telavancin hydrochloride 2 & 5 mg/ml
Įpurškimas   Sodium citrate 22 & 40 mg/ml
37°C
72 Valanda
Apsaugotas nuo šviesos 3327
Bandymo lygis D
Stiklas Natrio chloridas 0,9% 2500 UI/ml
Įpurškimas   Heparin sodium   
Įpurškimas   Vancomycin hydrochloride 2 & 5 mg/ml
Įpurškimas   Sodium citrate 22 & 40 mg/ml
37°C
72 Valanda
Apsaugotas nuo šviesos 3327
Bandymo lygis D
Stiklas Natrio chloridas 0,9% 100 UI/ml
Įpurškimas   Heparin sodium   
Įpurškimas   Vancomycin hydrochloride 0,025 mg/ml
4°C
63 Diena
Apsaugotas nuo šviesos 1414
Biologinis metodas
Stiklas Natrio chloridas 0,9% 9,75 UI/ml
Įpurškimas   Heparin sodium   
Įpurškimas   Vancomycin hydrochloride 0,025 mg/ml
4°C
85 Diena
Nenurodyta 3958
Biologinis metodas
Stiklas Gliukozė 5% 59 UI/ml
Įpurškimas   Heparin sodium   
Įpurškimas   Milrinone lactate 0,2 mg/ml
22°C-23°C
4 Valanda
Šviesa 813
Bandymo lygis A
Stiklas Gliukozė 5% 20 UI/ml
Įpurškimas   Heparin sodium   
Įpurškimas   Dopamine hydrochloride 0,8 mg/ml
23°C-25°C
24 Valanda
Šviesa 738
Joker
Stiklas Gliukozė 5% 50 UI/ml
Įpurškimas   Heparin sodium   
Įpurškimas   Palonosetron hydrochloride 25 µg/ml
25°C
4 Valanda
Šviesa 2279
Bandymo lygis A+
Stiklas Gliukozė 5% 100 UI/ml
Įpurškimas   Heparin sodium   
Įpurškimas   Fluconazole 1 mg/ml
25°C
24 Valanda
Šviesa 257
Bandymo lygis D
Polivinilchloridas NaCl 0,9% Gliukozė 5% 20 & 50 UI/ml
Įpurškimas   Heparin sodium   
Įpurškimas   Tirofiban 25 µg/ml
25°C
4 Valanda
Šviesa 1420
Bandymo lygis C+
Polivinilchloridas Gliukozė 5% 50 UI/ml
Įpurškimas   Heparin sodium   
Įpurškimas   Flumazenil 0,02 mg/ml
23°C
24 Valanda
Šviesa 187
Bandymo lygis A
Polivinilchloridas Dianéal® PD1 1.5% Gliukozė (Baxter) 0,5 UI/ml
Įpurškimas   Heparin sodium   
Įpurškimas   Piperacillin sodium / tazobactam 0,5/0,0625 mg/ml
37°C
10 Valanda
Nenurodyta 4180
Bandymo lygis B
Polivinilchloridas Dianéal® PD1 1.5% Gliukozė (Baxter) 0,5 UI/ml
Įpurškimas   Heparin sodium   
Įpurškimas   Meropenem 0,5 mg/ml
37°C
10 Valanda
Nenurodyta 4180
Bandymo lygis B
Polivinilchloridas Dianéal® PD1 1.5% Gliukozė (Baxter) 0,5 UI/ml
Įpurškimas   Heparin sodium   
Įpurškimas   Piperacillin sodium / tazobactam 0,5/0,0625 mg/ml
4°C
168 Valanda
Nenurodyta 4180
Bandymo lygis B
Polivinilchloridas Dianéal® PD1 1.5% Gliukozė (Baxter) 0,5 UI/ml
Įpurškimas   Heparin sodium   
Įpurškimas   Meropenem 0,5 mg/ml
4°C
168 Valanda
Nenurodyta 4180
Bandymo lygis B
Polivinilchloridas Dianéal® PD2 4.25% Gliukozė (Baxter) 0,5 UI/ml
Įpurškimas   Heparin sodium   
Įpurškimas   Piperacillin sodium / tazobactam 0,5/0,0625 mg/ml
37°C
10 Valanda
Nenurodyta 4180
Bandymo lygis B
Polivinilchloridas Dianéal® PD2 4.25% Gliukozė (Baxter) 0,5 UI/ml
Įpurškimas   Heparin sodium   
Įpurškimas   Meropenem 0,5 mg/ml
37°C
10 Valanda
Nenurodyta 4180
Bandymo lygis B
Polivinilchloridas Dianéal® PD2 4.25% Gliukozė (Baxter) 0.5 UI/ml
Įpurškimas   Heparin sodium   
Įpurškimas   Ceftazidime 0.125 mg/ml
37°C
12 Valanda
Nenurodyta 4056
Bandymo lygis B+
Polivinilchloridas Dianéal® PD2 4.25% Gliukozė (Baxter) 0.5 UI/ml
Įpurškimas   Heparin sodium   
Įpurškimas   Ceftazidime 0.125 mg/ml
4°C
120 Valanda
Nenurodyta 4056
Bandymo lygis B+
Polivinilchloridas Dianéal® PD2 4.25% Gliukozė (Baxter) 0,5 UI/ml
Įpurškimas   Heparin sodium   
Įpurškimas   Piperacillin sodium / tazobactam 0,5/0,0625 mg/ml
4°C
168 Valanda
Nenurodyta 4180
Bandymo lygis B
Polivinilchloridas Dianéal® PD2 4.25% Gliukozė (Baxter) 0,5 UI/ml
Įpurškimas   Heparin sodium   
Įpurškimas   Meropenem 0,5 mg/ml
4°C
168 Valanda
Nenurodyta 4180
Bandymo lygis B
Polivinilchloridas Dianéal® PD2 2.5% glucose (Baxter) 0,5 UI/ml
Įpurškimas   Heparin sodium   
Įpurškimas   Piperacillin sodium / tazobactam 0,5/0,0625 mg/ml
37°C
10 Valanda
Nenurodyta 4180
Bandymo lygis B
Polivinilchloridas Dianéal® PD2 2.5% glucose (Baxter) 0,5 UI/ml
Įpurškimas   Heparin sodium   
Įpurškimas   Meropenem 0,5 mg/ml
37°C
10 Valanda
Nenurodyta 4180
Bandymo lygis B
Polivinilchloridas Dianéal® PD2 2.5% glucose (Baxter) 0.5 UI/ml
Įpurškimas   Heparin sodium   
Įpurškimas   Ceftazidime 0.125 mg/ml
37°C
12 Valanda
Nenurodyta 4056
Bandymo lygis B+
Polivinilchloridas Dianéal® PD2 2.5% glucose (Baxter) 0.5 UI/ml
Įpurškimas   Heparin sodium   
Įpurškimas   Ceftazidime 0.125 mg/ml
4°C
120 Valanda
Nenurodyta 4056
Bandymo lygis B+
Polivinilchloridas Dianéal® PD2 2.5% glucose (Baxter) 0,5 UI/ml
Įpurškimas   Heparin sodium   
Įpurškimas   Piperacillin sodium / tazobactam 0,5/0,0625 mg/ml
4°C
168 Valanda
Nenurodyta 4180
Bandymo lygis B
Polivinilchloridas Dianéal® PD2 2.5% glucose (Baxter) 0,5 UI/ml
Įpurškimas   Heparin sodium   
Įpurškimas   Meropenem 0,5 mg/ml
4°C
168 Valanda
Nenurodyta 4180
Bandymo lygis B
Polivinilchloridas Extraneal® (Baxter) 0,5 UI/ml
Įpurškimas   Heparin sodium   
Įpurškimas   Piperacillin sodium / tazobactam 0,5/0,0625 mg/ml
37°C
10 Valanda
Nenurodyta 4180
Bandymo lygis B
Polivinilchloridas Extraneal® (Baxter) 0,5 UI/ml
Įpurškimas   Heparin sodium   
Įpurškimas   Meropenem 0,5 mg/ml
37°C
10 Valanda
Nenurodyta 4180
Bandymo lygis B
Polivinilchloridas Extraneal® (Baxter) 0.5 UI/ml
Įpurškimas   Heparin sodium   
Įpurškimas   Ceftazidime 0.125 mg/ml
37°C
12 Valanda
Nenurodyta 4056
Bandymo lygis B+
Polivinilchloridas Extraneal® (Baxter) 0.5 UI/ml
Įpurškimas   Heparin sodium   
Įpurškimas   Ceftazidime 0.125 mg/ml
4°C
120 Valanda
Nenurodyta 4056
Bandymo lygis B+
Polivinilchloridas Extraneal® (Baxter) 0,5 UI/ml
Įpurškimas   Heparin sodium   
Įpurškimas   Piperacillin sodium / tazobactam 0,5/0,0625 mg/ml
4°C
168 Valanda
Nenurodyta 4180
Bandymo lygis B
Polivinilchloridas Extraneal® (Baxter) 0,5 UI/ml
Įpurškimas   Heparin sodium   
Įpurškimas   Meropenem 0,5 mg/ml
4°C
168 Valanda
Nenurodyta 4180
Bandymo lygis B
Polivinilchloridas Physionéal® 1.36 (Baxter) 1,4 UI/ml
Įpurškimas   Heparin sodium   
Įpurškimas   Piperacillin sodium / tazobactam 1,38/0,172 mg/ml
37°C
10 Valanda
Nenurodyta 4180
Bandymo lygis B
Polivinilchloridas Physionéal® 1.36 (Baxter) 1,4 UI/ml
Įpurškimas   Heparin sodium   
Įpurškimas   Piperacillin sodium / tazobactam 1,38/0,172 mg/ml
4°C
168 Valanda
Nenurodyta 4180
Bandymo lygis B
Polivinilchloridas Physionéal® 2.27 (Baxter) 1,4 UI/ml
Įpurškimas   Heparin sodium   
Įpurškimas   Piperacillin sodium / tazobactam 1,38/0,172 mg/ml
37°C
10 Valanda
Nenurodyta 4180
Bandymo lygis B
Polivinilchloridas Physionéal® 2.27 (Baxter) 1,4 UI/ml
Įpurškimas   Heparin sodium   
Įpurškimas   Piperacillin sodium / tazobactam 1,38/0,172 mg/ml
4°C
168 Valanda
Nenurodyta 4180
Bandymo lygis B
Polivinilchloridas Physionéal® 3.86 (Baxter) 1,4 UI/ml
Įpurškimas   Heparin sodium   
Įpurškimas   Piperacillin sodium / tazobactam 1,38/0,172 mg/ml
37°C
10 Valanda
Nenurodyta 4180
Bandymo lygis B
Polivinilchloridas Physionéal® 3.86 (Baxter) 1,4 UI/ml
Įpurškimas   Heparin sodium   
Įpurškimas   Piperacillin sodium / tazobactam 1,38/0,172 mg/ml
4°C
168 Valanda
Nenurodyta 4180
Bandymo lygis B
Polipropilenas Natrio chloridas 0,9% 5000 UI/ml
Įpurškimas   Heparin sodium   
Įpurškimas   Vancomycin hydrochloride 0,1 mg/ml
4°C
28 Diena
Nenurodyta 3956
Biologinis metodas
Polipropilenas Natrio chloridas 0,9% 5000 UI/ml
Įpurškimas   Heparin sodium   
Įpurškimas   Gentamicin sulfate 0,1 mg/ml
4°C
28 Diena
Nenurodyta 3956
Biologinis metodas
Švirkštas polipropileno Natrio chloridas 0,9% 100 UI/ml
Įpurškimas   Heparin sodium   
Įpurškimas   Vancomycin hydrochloride 0,025 mg/ml
4°C
14 Diena
Apsaugotas nuo šviesos 895
Biologinis metodas
Švirkštas polipropileno Ringerio laktato tirpalas 100 UI/ml
Įpurškimas   Heparin sodium   
Įpurškimas   Daptomycin 5 mg/ml
-20°C
14 Diena
Apsaugotas nuo šviesos 3665
Bandymo lygis B
Švirkštas polipropileno Ringerio laktato tirpalas 100 UI/ml
Įpurškimas   Heparin sodium   
Įpurškimas   Daptomycin 5 mg/ml
4°C
14 Diena
Nenurodyta 3665
Bandymo lygis B
Švirkštas polipropileno Nėra 960 UI/ml
Įpurškimas   Heparin sodium   
Įpurškimas   Fluorouracil 24 mg/ml
37°C
7 Diena
Nenurodyta 163
Bandymo lygis B
Švirkštas polipropileno Nėra 960 UI/ml
Įpurškimas   Heparin sodium   
Įpurškimas   Fluorouracil 24 mg/ml
4°C
14 Diena
Apsaugotas nuo šviesos 163
Bandymo lygis B
Nenurodyta Natrio chloridas 0,9% 5000 UI/ml
Įpurškimas   Heparin sodium   
Įpurškimas   Daptomycin 19,6 mg/ml
22°C-28°C
2 Valanda
Nenurodyta 1937
Bandymo lygis C+

  Mentions Légales