Dernière mise à jour :
05/12/2025
Anticoagulant   Heparin sodium  
injectable
Stabilité des solutions Stabilité en mélange Facteur influençant la stabilité Compatibilités Voie d’administration Bibliographie pdf
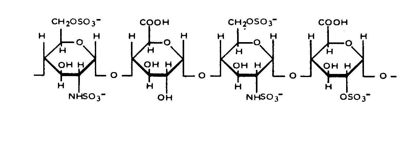
   Structure chimique  

Noms commerciaux   Noms commerciaux     

Les noms commerciaux sont donnés à titre indicatif et la composition en excipients peut être différente selon les pays et selon les laboratoires

Arapin Chili
Ateroclar Italie
Clarisco Italie
Epsoclar Italie
Hepaflex Finlande, Norvège
Hepamax Chili, Colombie, Equateur
Heparin Afrique du sud, Autriche, Canada, Danemark, Etats Unis d’Amérique, Finlande, Grande Bretagne, Grèce, Hongrie, Norvège, Pays bas, Russie, Serbie, Suède, Suisse, Thaïlande, Turquie
Heparine Belgique, France
Heparinised Australie
Heparstad Allemagne
Liquemin Suisse, Turquie
Liquemine Brésil
Monoparin Arabie Saoudite
Normoparin Italie
Nuparin Equateur
Pharepa Italie
Riveparin Argentine
Sobrius Argentine, Equateur
Thrombophob Allemagne
Stabilité en mélange   injectable   Stabilité en mélange : Heparin sodium     
Contenant Solvant Concentration Molécule Température Conservation Durée de stabilité Bibliographie
Verre Chlorure de sodium 0,9% 9,75 UI/ml
injectable   Heparin sodium   
injectable   Vancomycin hydrochloride 0,025 mg/ml
23°C
85 Jour
Non précisée 3958
Méthode biologique
Verre Chlorure de sodium 0,9% 50 UI/ml
injectable   Heparin sodium   
injectable   Magnesium sulfate 15,6 mg/ml
25°C
14 Jour
Lumière 2100
Méthode biologique
Verre Chlorure de sodium 0,9% 2500 UI/ml
injectable   Heparin sodium   
injectable   Telavancin hydrochloride 2 & 5 mg/ml
injectable   Sodium citrate 22 & 40 mg/ml
37°C
72 Heure
A l’abri de la lumière 3327
Niveau de preuve D
Verre Chlorure de sodium 0,9% 2500 UI/ml
injectable   Heparin sodium   
injectable   Vancomycin hydrochloride 2 & 5 mg/ml
injectable   Sodium citrate 22 & 40 mg/ml
37°C
72 Heure
A l’abri de la lumière 3327
Niveau de preuve D
Verre Chlorure de sodium 0,9% 100 UI/ml
injectable   Heparin sodium   
injectable   Vancomycin hydrochloride 0,025 mg/ml
4°C
63 Jour
A l’abri de la lumière 1414
Méthode biologique
Verre Chlorure de sodium 0,9% 9,75 UI/ml
injectable   Heparin sodium   
injectable   Vancomycin hydrochloride 0,025 mg/ml
4°C
85 Jour
Non précisée 3958
Méthode biologique
Verre Glucose 5% 59 UI/ml
injectable   Heparin sodium   
injectable   Milrinone lactate 0,2 mg/ml
22°C-23°C
4 Heure
Lumière 813
Niveau de preuve A
Verre Glucose 5% 20 UI/ml
injectable   Heparin sodium   
injectable   Dopamine hydrochloride 0,8 mg/ml
23°C-25°C
24 Heure
Lumière 738
JOKER
Verre Glucose 5% 50 UI/ml
injectable   Heparin sodium   
injectable   Palonosetron hydrochloride 25 µg/ml
25°C
4 Heure
Lumière 2279
Niveau de preuve A +
Verre Glucose 5% 100 UI/ml
injectable   Heparin sodium   
injectable   Fluconazole 1 mg/ml
25°C
24 Heure
Lumière 257
Niveau de preuve D
Polyvinyl chlorure NaCl 0,9% ou glucose 5% 20 & 50 UI/ml
injectable   Heparin sodium   
injectable   Tirofiban 25 µg/ml
25°C
4 Heure
Lumière 1420
Niveau de preuve C+
Polyvinyl chlorure Glucose 5% 50 UI/ml
injectable   Heparin sodium   
injectable   Flumazenil 0,02 mg/ml
23°C
24 Heure
Lumière 187
Niveau de preuve A
Polyvinyl chlorure Dianéal® PD1 1.5% glucose (Baxter) 0,5 UI/ml
injectable   Heparin sodium   
injectable   Piperacillin sodium / tazobactam 0,5/0,0625 mg/ml
37°C
10 Heure
Non précisée 4180
Niveau de preuve B
Polyvinyl chlorure Dianéal® PD1 1.5% glucose (Baxter) 0,5 UI/ml
injectable   Heparin sodium   
injectable   Meropenem 0,5 mg/ml
37°C
10 Heure
Non précisée 4180
Niveau de preuve B
Polyvinyl chlorure Dianéal® PD1 1.5% glucose (Baxter) 0,5 UI/ml
injectable   Heparin sodium   
injectable   Piperacillin sodium / tazobactam 0,5/0,0625 mg/ml
4°C
168 Heure
Non précisée 4180
Niveau de preuve B
Polyvinyl chlorure Dianéal® PD1 1.5% glucose (Baxter) 0,5 UI/ml
injectable   Heparin sodium   
injectable   Meropenem 0,5 mg/ml
4°C
168 Heure
Non précisée 4180
Niveau de preuve B
Polyvinyl chlorure Dianéal® PD2 4.25% glucose (Baxter) 0,5 UI/ml
injectable   Heparin sodium   
injectable   Piperacillin sodium / tazobactam 0,5/0,0625 mg/ml
37°C
10 Heure
Non précisée 4180
Niveau de preuve B
Polyvinyl chlorure Dianéal® PD2 4.25% glucose (Baxter) 0,5 UI/ml
injectable   Heparin sodium   
injectable   Meropenem 0,5 mg/ml
37°C
10 Heure
Non précisée 4180
Niveau de preuve B
Polyvinyl chlorure Dianéal® PD2 4.25% glucose (Baxter) 0.5 UI/ml
injectable   Heparin sodium   
injectable   Ceftazidime 0.125 mg/ml
37°C
12 Heure
Non précisée 4056
Niveau de preuve B +
Polyvinyl chlorure Dianéal® PD2 4.25% glucose (Baxter) 0.5 UI/ml
injectable   Heparin sodium   
injectable   Ceftazidime 0.125 mg/ml
4°C
120 Heure
Non précisée 4056
Niveau de preuve B +
Polyvinyl chlorure Dianéal® PD2 4.25% glucose (Baxter) 0,5 UI/ml
injectable   Heparin sodium   
injectable   Piperacillin sodium / tazobactam 0,5/0,0625 mg/ml
4°C
168 Heure
Non précisée 4180
Niveau de preuve B
Polyvinyl chlorure Dianéal® PD2 4.25% glucose (Baxter) 0,5 UI/ml
injectable   Heparin sodium   
injectable   Meropenem 0,5 mg/ml
4°C
168 Heure
Non précisée 4180
Niveau de preuve B
Polyvinyl chlorure Dianéal® PD2 2.5% glucose (Baxter) 0,5 UI/ml
injectable   Heparin sodium   
injectable   Piperacillin sodium / tazobactam 0,5/0,0625 mg/ml
37°C
10 Heure
Non précisée 4180
Niveau de preuve B
Polyvinyl chlorure Dianéal® PD2 2.5% glucose (Baxter) 0,5 UI/ml
injectable   Heparin sodium   
injectable   Meropenem 0,5 mg/ml
37°C
10 Heure
Non précisée 4180
Niveau de preuve B
Polyvinyl chlorure Dianéal® PD2 2.5% glucose (Baxter) 0.5 UI/ml
injectable   Heparin sodium   
injectable   Ceftazidime 0.125 mg/ml
37°C
12 Heure
Non précisée 4056
Niveau de preuve B +
Polyvinyl chlorure Dianéal® PD2 2.5% glucose (Baxter) 0.5 UI/ml
injectable   Heparin sodium   
injectable   Ceftazidime 0.125 mg/ml
4°C
120 Heure
Non précisée 4056
Niveau de preuve B +
Polyvinyl chlorure Dianéal® PD2 2.5% glucose (Baxter) 0,5 UI/ml
injectable   Heparin sodium   
injectable   Piperacillin sodium / tazobactam 0,5/0,0625 mg/ml
4°C
168 Heure
Non précisée 4180
Niveau de preuve B
Polyvinyl chlorure Dianéal® PD2 2.5% glucose (Baxter) 0,5 UI/ml
injectable   Heparin sodium   
injectable   Meropenem 0,5 mg/ml
4°C
168 Heure
Non précisée 4180
Niveau de preuve B
Polyvinyl chlorure Extraneal® (Baxter) 0,5 UI/ml
injectable   Heparin sodium   
injectable   Piperacillin sodium / tazobactam 0,5/0,0625 mg/ml
37°C
10 Heure
Non précisée 4180
Niveau de preuve B
Polyvinyl chlorure Extraneal® (Baxter) 0,5 UI/ml
injectable   Heparin sodium   
injectable   Meropenem 0,5 mg/ml
37°C
10 Heure
Non précisée 4180
Niveau de preuve B
Polyvinyl chlorure Extraneal® (Baxter) 0.5 UI/ml
injectable   Heparin sodium   
injectable   Ceftazidime 0.125 mg/ml
37°C
12 Heure
Non précisée 4056
Niveau de preuve B +
Polyvinyl chlorure Extraneal® (Baxter) 0.5 UI/ml
injectable   Heparin sodium   
injectable   Ceftazidime 0.125 mg/ml
4°C
120 Heure
Non précisée 4056
Niveau de preuve B +
Polyvinyl chlorure Extraneal® (Baxter) 0,5 UI/ml
injectable   Heparin sodium   
injectable   Piperacillin sodium / tazobactam 0,5/0,0625 mg/ml
4°C
168 Heure
Non précisée 4180
Niveau de preuve B
Polyvinyl chlorure Extraneal® (Baxter) 0,5 UI/ml
injectable   Heparin sodium   
injectable   Meropenem 0,5 mg/ml
4°C
168 Heure
Non précisée 4180
Niveau de preuve B
Polyvinyl chlorure Physionéal® 1.36 (Baxter) 1,4 UI/ml
injectable   Heparin sodium   
injectable   Piperacillin sodium / tazobactam 1,38/0,172 mg/ml
37°C
10 Heure
Non précisée 4180
Niveau de preuve B
Polyvinyl chlorure Physionéal® 1.36 (Baxter) 1,4 UI/ml
injectable   Heparin sodium   
injectable   Piperacillin sodium / tazobactam 1,38/0,172 mg/ml
4°C
168 Heure
Non précisée 4180
Niveau de preuve B
Polyvinyl chlorure Physionéal® 2.27 (Baxter) 1,4 UI/ml
injectable   Heparin sodium   
injectable   Piperacillin sodium / tazobactam 1,38/0,172 mg/ml
37°C
10 Heure
Non précisée 4180
Niveau de preuve B
Polyvinyl chlorure Physionéal® 2.27 (Baxter) 1,4 UI/ml
injectable   Heparin sodium   
injectable   Piperacillin sodium / tazobactam 1,38/0,172 mg/ml
4°C
168 Heure
Non précisée 4180
Niveau de preuve B
Polyvinyl chlorure Physionéal® 3.86 (Baxter) 1,4 UI/ml
injectable   Heparin sodium   
injectable   Piperacillin sodium / tazobactam 1,38/0,172 mg/ml
37°C
10 Heure
Non précisée 4180
Niveau de preuve B
Polyvinyl chlorure Physionéal® 3.86 (Baxter) 1,4 UI/ml
injectable   Heparin sodium   
injectable   Piperacillin sodium / tazobactam 1,38/0,172 mg/ml
4°C
168 Heure
Non précisée 4180
Niveau de preuve B
Polypropylène Chlorure de sodium 0,9% 5000 UI/ml
injectable   Heparin sodium   
injectable   Vancomycin hydrochloride 0,1 mg/ml
4°C
28 Jour
Non précisée 3956
Méthode biologique
Polypropylène Chlorure de sodium 0,9% 5000 UI/ml
injectable   Heparin sodium   
injectable   Gentamicin sulfate 0,1 mg/ml
4°C
28 Jour
Non précisée 3956
Méthode biologique
Seringue polypropylène Chlorure de sodium 0,9% 100 UI/ml
injectable   Heparin sodium   
injectable   Vancomycin hydrochloride 0,025 mg/ml
4°C
14 Jour
A l’abri de la lumière 895
Méthode biologique
Seringue polypropylène Ringer lactate 100 UI/ml
injectable   Heparin sodium   
injectable   Daptomycin 5 mg/ml
-20°C
14 Jour
A l’abri de la lumière 3665
Niveau de preuve B
Seringue polypropylène Ringer lactate 100 UI/ml
injectable   Heparin sodium   
injectable   Daptomycin 5 mg/ml
4°C
14 Jour
Non précisée 3665
Niveau de preuve B
Seringue polypropylène Aucun 960 UI/ml
injectable   Heparin sodium   
injectable   Fluorouracil 24 mg/ml
37°C
7 Jour
Non précisée 163
Niveau de preuve B
Seringue polypropylène Aucun 960 UI/ml
injectable   Heparin sodium   
injectable   Fluorouracil 24 mg/ml
4°C
14 Jour
A l’abri de la lumière 163
Niveau de preuve B
Non précisé Chlorure de sodium 0,9% 5000 UI/ml
injectable   Heparin sodium   
injectable   Daptomycin 19,6 mg/ml
22°C-28°C
2 Heure
Non précisée 1937
Niveau de preuve C+

  Mentions Légales