Laatste update :
18/03/2026
Anticoagulans   Heparin sodium  
injecteerbaar geneesmiddel
Stabiliteit in oplossing Stabiliteit in mengsels Factoren die de stabiliteit beïnvloeden Verenigbaarheden Toedieningswijze Literatuur pdf
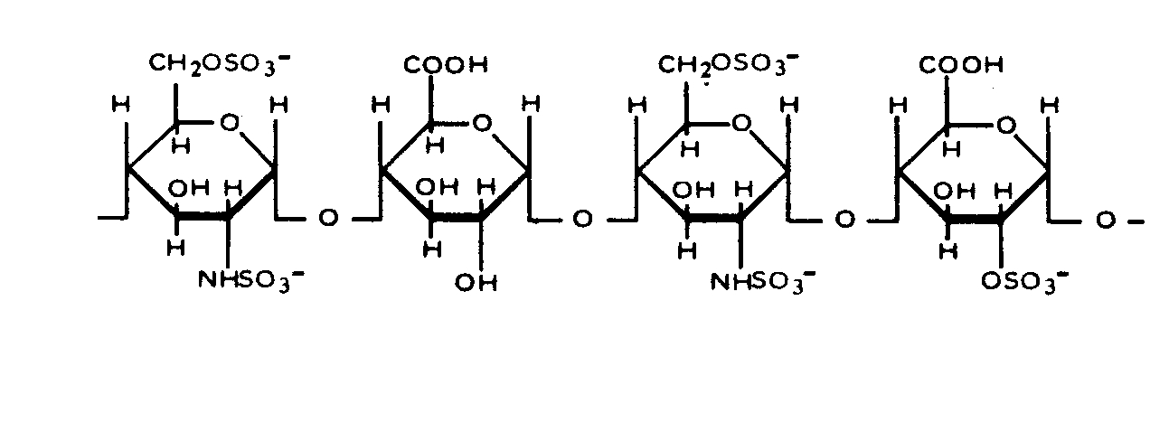
   Molecuulstructuur  

Merknamen in verschillende landen   Merknamen in verschillende landen     

Handelsnamen zijn slechts een indicatie; de samenstelling van hulpstoffen kan per land variëren afhankelijk van de fabrikant

Arapin Chili
Ateroclar Italië
Clarisco Italië
Epsoclar Italië
Hepaflex Finland, Noorwegen
Hepamax Chili, Colombia, Ecuador
Heparin Canada, Denemarken, Finland, Griekenland, Groot Britannië, Hongarije, Joegoslavië, Nederland, Noorwegen, Oostenrijk, russisch, Thailand, Turkije, USA, Zuid-Afrika, Zweden, Zwitserland
Heparine België, Frankrijk
Heparinised Australië
Heparstad Duitsland
Liquemin Turkije, Zwitserland
Liquemine Brazilië
Monoparin Saudi-Arabië
Normoparin Italië
Nuparin Ecuador
Pharepa Italië
Riveparin Argentinië
Sobrius Argentinië, Ecuador
Thrombophob Duitsland
Stabiliteit in mengsels   injecteerbaar geneesmiddel   Stabiliteit in mengsels : Heparin sodium     
Verpakking Oplosmiddel Concentratie Stof Temperatuur Bewaring Duur van de stabiliteit Literatuur
Glas Natriumchloride 0,9% 9,75 UI/ml
injecteerbaar geneesmiddel   Heparin sodium   
injecteerbaar geneesmiddel   Vancomycin hydrochloride 0,025 mg/ml
23°C
85 Dag
Niet gespecificeerd 3958
Biologische analyse
Glas Natriumchloride 0,9% 50 UI/ml
injecteerbaar geneesmiddel   Heparin sodium   
injecteerbaar geneesmiddel   Magnesium sulfate 15,6 mg/ml
25°C
14 Dag
Licht 2100
Biologische analyse
Glas Natriumchloride 0,9% 2500 UI/ml
injecteerbaar geneesmiddel   Heparin sodium   
injecteerbaar geneesmiddel   Telavancin hydrochloride 2 & 5 mg/ml
injecteerbaar geneesmiddel   Sodium citrate 22 & 40 mg/ml
37°C
72 Uur
Buiten invloed van licht 3327
Bewijsniveau D
Glas Natriumchloride 0,9% 2500 UI/ml
injecteerbaar geneesmiddel   Heparin sodium   
injecteerbaar geneesmiddel   Vancomycin hydrochloride 2 & 5 mg/ml
injecteerbaar geneesmiddel   Sodium citrate 22 & 40 mg/ml
37°C
72 Uur
Buiten invloed van licht 3327
Bewijsniveau D
Glas Natriumchloride 0,9% 100 UI/ml
injecteerbaar geneesmiddel   Heparin sodium   
injecteerbaar geneesmiddel   Vancomycin hydrochloride 0,025 mg/ml
4°C
63 Dag
Buiten invloed van licht 1414
Biologische analyse
Glas Natriumchloride 0,9% 9,75 UI/ml
injecteerbaar geneesmiddel   Heparin sodium   
injecteerbaar geneesmiddel   Vancomycin hydrochloride 0,025 mg/ml
4°C
85 Dag
Niet gespecificeerd 3958
Biologische analyse
Glas Glucose 5% 59 UI/ml
injecteerbaar geneesmiddel   Heparin sodium   
injecteerbaar geneesmiddel   Milrinone lactate 0,2 mg/ml
22°C-23°C
4 Uur
Licht 813
Bewijsniveau A
Glas Glucose 5% 20 UI/ml
injecteerbaar geneesmiddel   Heparin sodium   
injecteerbaar geneesmiddel   Dopamine hydrochloride 0,8 mg/ml
23°C-25°C
24 Uur
Licht 738
Joker
Glas Glucose 5% 50 UI/ml
injecteerbaar geneesmiddel   Heparin sodium   
injecteerbaar geneesmiddel   Palonosetron hydrochloride 25 µg/ml
25°C
4 Uur
Licht 2279
Bewijsniveau A+
Glas Glucose 5% 100 UI/ml
injecteerbaar geneesmiddel   Heparin sodium   
injecteerbaar geneesmiddel   Fluconazole 1 mg/ml
25°C
24 Uur
Licht 257
Bewijsniveau D
Polyvinylchloride (PVC) Natriumchloride 0,9% 20 & 50 UI/ml
injecteerbaar geneesmiddel   Heparin sodium   
injecteerbaar geneesmiddel   Tirofiban 25 µg/ml
25°C
4 Uur
Licht 1420
Bewijsniveau C+
Polyvinylchloride (PVC) Glucose 5% 50 UI/ml
injecteerbaar geneesmiddel   Heparin sodium   
injecteerbaar geneesmiddel   Flumazenil 0,02 mg/ml
23°C
24 Uur
Licht 187
Bewijsniveau A
Polyvinylchloride (PVC) Glucose 5% 20 & 50 UI/ml
injecteerbaar geneesmiddel   Heparin sodium   
injecteerbaar geneesmiddel   Tirofiban 25 µg/ml
25°C
4 Uur
Licht 1420
Bewijsniveau C+
Polyvinylchloride (PVC) Dianéal® PD1 1.5% Glucose (Baxter) 0,5 UI/ml
injecteerbaar geneesmiddel   Heparin sodium   
injecteerbaar geneesmiddel   Piperacillin sodium / tazobactam 0,5/0,0625 mg/ml
37°C
10 Uur
Niet gespecificeerd 4180
Bewijsniveau B
Polyvinylchloride (PVC) Dianéal® PD1 1.5% Glucose (Baxter) 0,5 UI/ml
injecteerbaar geneesmiddel   Heparin sodium   
injecteerbaar geneesmiddel   Meropenem 0,5 mg/ml
37°C
10 Uur
Niet gespecificeerd 4180
Bewijsniveau B
Polyvinylchloride (PVC) Dianéal® PD1 1.5% Glucose (Baxter) 0,5 UI/ml
injecteerbaar geneesmiddel   Heparin sodium   
injecteerbaar geneesmiddel   Piperacillin sodium / tazobactam 0,5/0,0625 mg/ml
4°C
168 Uur
Niet gespecificeerd 4180
Bewijsniveau B
Polyvinylchloride (PVC) Dianéal® PD1 1.5% Glucose (Baxter) 0,5 UI/ml
injecteerbaar geneesmiddel   Heparin sodium   
injecteerbaar geneesmiddel   Meropenem 0,5 mg/ml
4°C
168 Uur
Niet gespecificeerd 4180
Bewijsniveau B
Polyvinylchloride (PVC) Dianéal® PD2 4.25% Glucose (Baxter) 0,5 UI/ml
injecteerbaar geneesmiddel   Heparin sodium   
injecteerbaar geneesmiddel   Piperacillin sodium / tazobactam 0,5/0,0625 mg/ml
37°C
10 Uur
Niet gespecificeerd 4180
Bewijsniveau B
Polyvinylchloride (PVC) Dianéal® PD2 4.25% Glucose (Baxter) 0,5 UI/ml
injecteerbaar geneesmiddel   Heparin sodium   
injecteerbaar geneesmiddel   Meropenem 0,5 mg/ml
37°C
10 Uur
Niet gespecificeerd 4180
Bewijsniveau B
Polyvinylchloride (PVC) Dianéal® PD2 4.25% Glucose (Baxter) 0.5 UI/ml
injecteerbaar geneesmiddel   Heparin sodium   
injecteerbaar geneesmiddel   Ceftazidime 0.125 mg/ml
37°C
12 Uur
Niet gespecificeerd 4056
Niveau van bewijs B+
Polyvinylchloride (PVC) Dianéal® PD2 4.25% Glucose (Baxter) 0.5 UI/ml
injecteerbaar geneesmiddel   Heparin sodium   
injecteerbaar geneesmiddel   Ceftazidime 0.125 mg/ml
4°C
120 Uur
Niet gespecificeerd 4056
Niveau van bewijs B+
Polyvinylchloride (PVC) Dianéal® PD2 4.25% Glucose (Baxter) 0,5 UI/ml
injecteerbaar geneesmiddel   Heparin sodium   
injecteerbaar geneesmiddel   Piperacillin sodium / tazobactam 0,5/0,0625 mg/ml
4°C
168 Uur
Niet gespecificeerd 4180
Bewijsniveau B
Polyvinylchloride (PVC) Dianéal® PD2 4.25% Glucose (Baxter) 0,5 UI/ml
injecteerbaar geneesmiddel   Heparin sodium   
injecteerbaar geneesmiddel   Meropenem 0,5 mg/ml
4°C
168 Uur
Niet gespecificeerd 4180
Bewijsniveau B
Polyvinylchloride (PVC) Dianéal® PD2 2.5% glucose (Baxter) 0,5 UI/ml
injecteerbaar geneesmiddel   Heparin sodium   
injecteerbaar geneesmiddel   Piperacillin sodium / tazobactam 0,5/0,0625 mg/ml
37°C
10 Uur
Niet gespecificeerd 4180
Bewijsniveau B
Polyvinylchloride (PVC) Dianéal® PD2 2.5% glucose (Baxter) 0,5 UI/ml
injecteerbaar geneesmiddel   Heparin sodium   
injecteerbaar geneesmiddel   Meropenem 0,5 mg/ml
37°C
10 Uur
Niet gespecificeerd 4180
Bewijsniveau B
Polyvinylchloride (PVC) Dianéal® PD2 2.5% glucose (Baxter) 0.5 UI/ml
injecteerbaar geneesmiddel   Heparin sodium   
injecteerbaar geneesmiddel   Ceftazidime 0.125 mg/ml
37°C
12 Uur
Niet gespecificeerd 4056
Niveau van bewijs B+
Polyvinylchloride (PVC) Dianéal® PD2 2.5% glucose (Baxter) 0.5 UI/ml
injecteerbaar geneesmiddel   Heparin sodium   
injecteerbaar geneesmiddel   Ceftazidime 0.125 mg/ml
4°C
120 Uur
Niet gespecificeerd 4056
Niveau van bewijs B+
Polyvinylchloride (PVC) Dianéal® PD2 2.5% glucose (Baxter) 0,5 UI/ml
injecteerbaar geneesmiddel   Heparin sodium   
injecteerbaar geneesmiddel   Piperacillin sodium / tazobactam 0,5/0,0625 mg/ml
4°C
168 Uur
Niet gespecificeerd 4180
Bewijsniveau B
Polyvinylchloride (PVC) Dianéal® PD2 2.5% glucose (Baxter) 0,5 UI/ml
injecteerbaar geneesmiddel   Heparin sodium   
injecteerbaar geneesmiddel   Meropenem 0,5 mg/ml
4°C
168 Uur
Niet gespecificeerd 4180
Bewijsniveau B
Polyvinylchloride (PVC) Extraneal® (Baxter) 0,5 UI/ml
injecteerbaar geneesmiddel   Heparin sodium   
injecteerbaar geneesmiddel   Piperacillin sodium / tazobactam 0,5/0,0625 mg/ml
37°C
10 Uur
Niet gespecificeerd 4180
Bewijsniveau B
Polyvinylchloride (PVC) Extraneal® (Baxter) 0,5 UI/ml
injecteerbaar geneesmiddel   Heparin sodium   
injecteerbaar geneesmiddel   Meropenem 0,5 mg/ml
37°C
10 Uur
Niet gespecificeerd 4180
Bewijsniveau B
Polyvinylchloride (PVC) Extraneal® (Baxter) 0.5 UI/ml
injecteerbaar geneesmiddel   Heparin sodium   
injecteerbaar geneesmiddel   Ceftazidime 0.125 mg/ml
37°C
12 Uur
Niet gespecificeerd 4056
Niveau van bewijs B+
Polyvinylchloride (PVC) Extraneal® (Baxter) 0.5 UI/ml
injecteerbaar geneesmiddel   Heparin sodium   
injecteerbaar geneesmiddel   Ceftazidime 0.125 mg/ml
4°C
120 Uur
Niet gespecificeerd 4056
Niveau van bewijs B+
Polyvinylchloride (PVC) Extraneal® (Baxter) 0,5 UI/ml
injecteerbaar geneesmiddel   Heparin sodium   
injecteerbaar geneesmiddel   Piperacillin sodium / tazobactam 0,5/0,0625 mg/ml
4°C
168 Uur
Niet gespecificeerd 4180
Bewijsniveau B
Polyvinylchloride (PVC) Extraneal® (Baxter) 0,5 UI/ml
injecteerbaar geneesmiddel   Heparin sodium   
injecteerbaar geneesmiddel   Meropenem 0,5 mg/ml
4°C
168 Uur
Niet gespecificeerd 4180
Bewijsniveau B
Polyvinylchloride (PVC) Physionéal® 1.36 (Baxter) 1,4 UI/ml
injecteerbaar geneesmiddel   Heparin sodium   
injecteerbaar geneesmiddel   Piperacillin sodium / tazobactam 1,38/0,172 mg/ml
37°C
10 Uur
Niet gespecificeerd 4180
Bewijsniveau B
Polyvinylchloride (PVC) Physionéal® 1.36 (Baxter) 1,4 UI/ml
injecteerbaar geneesmiddel   Heparin sodium   
injecteerbaar geneesmiddel   Piperacillin sodium / tazobactam 1,38/0,172 mg/ml
4°C
168 Uur
Niet gespecificeerd 4180
Bewijsniveau B
Polyvinylchloride (PVC) Physionéal® 2.27 (Baxter) 1,4 UI/ml
injecteerbaar geneesmiddel   Heparin sodium   
injecteerbaar geneesmiddel   Piperacillin sodium / tazobactam 1,38/0,172 mg/ml
37°C
10 Uur
Niet gespecificeerd 4180
Bewijsniveau B
Polyvinylchloride (PVC) Physionéal® 2.27 (Baxter) 1,4 UI/ml
injecteerbaar geneesmiddel   Heparin sodium   
injecteerbaar geneesmiddel   Piperacillin sodium / tazobactam 1,38/0,172 mg/ml
4°C
168 Uur
Niet gespecificeerd 4180
Bewijsniveau B
Polyvinylchloride (PVC) Physionéal® 3.86 (Baxter) 1,4 UI/ml
injecteerbaar geneesmiddel   Heparin sodium   
injecteerbaar geneesmiddel   Piperacillin sodium / tazobactam 1,38/0,172 mg/ml
37°C
10 Uur
Niet gespecificeerd 4180
Bewijsniveau B
Polyvinylchloride (PVC) Physionéal® 3.86 (Baxter) 1,4 UI/ml
injecteerbaar geneesmiddel   Heparin sodium   
injecteerbaar geneesmiddel   Piperacillin sodium / tazobactam 1,38/0,172 mg/ml
4°C
168 Uur
Niet gespecificeerd 4180
Bewijsniveau B
Polypropyleen (PP) Natriumchloride 0,9% 5000 UI/ml
injecteerbaar geneesmiddel   Heparin sodium   
injecteerbaar geneesmiddel   Vancomycin hydrochloride 0,1 mg/ml
4°C
28 Dag
Niet gespecificeerd 3956
Biologische analyse
Polypropyleen (PP) Natriumchloride 0,9% 5000 UI/ml
injecteerbaar geneesmiddel   Heparin sodium   
injecteerbaar geneesmiddel   Gentamicin sulfate 0,1 mg/ml
4°C
28 Dag
Niet gespecificeerd 3956
Biologische analyse
injectiespuit polypropyleen Natriumchloride 0,9% 100 UI/ml
injecteerbaar geneesmiddel   Heparin sodium   
injecteerbaar geneesmiddel   Vancomycin hydrochloride 0,025 mg/ml
4°C
14 Dag
Buiten invloed van licht 895
Biologische analyse
injectiespuit polypropyleen Ringer-lactaat 100 UI/ml
injecteerbaar geneesmiddel   Heparin sodium   
injecteerbaar geneesmiddel   Daptomycin 5 mg/ml
-20°C
14 Dag
Buiten invloed van licht 3665
Bewijsniveau B
injectiespuit polypropyleen Ringer-lactaat 100 UI/ml
injecteerbaar geneesmiddel   Heparin sodium   
injecteerbaar geneesmiddel   Daptomycin 5 mg/ml
4°C
14 Dag
Niet gespecificeerd 3665
Bewijsniveau B
injectiespuit polypropyleen Geen 960 UI/ml
injecteerbaar geneesmiddel   Heparin sodium   
injecteerbaar geneesmiddel   Fluorouracil 24 mg/ml
37°C
7 Dag
Niet gespecificeerd 163
Bewijsniveau B
injectiespuit polypropyleen Geen 960 UI/ml
injecteerbaar geneesmiddel   Heparin sodium   
injecteerbaar geneesmiddel   Fluorouracil 24 mg/ml
4°C
14 Dag
Buiten invloed van licht 163
Bewijsniveau B
Niet gespecificeerd Natriumchloride 0,9% 5000 UI/ml
injecteerbaar geneesmiddel   Heparin sodium   
injecteerbaar geneesmiddel   Daptomycin 19,6 mg/ml
22°C-28°C
2 Uur
Niet gespecificeerd 1937
Bewijsniveau C+

  Mentions Légales