最新更新 :
05/12/2025
抗凝固薬   Heparin sodium  
注射薬
溶媒内の安定性 混合時の安定性 安定性に影響する因子 互換性 投与経路 引用文献 PDF
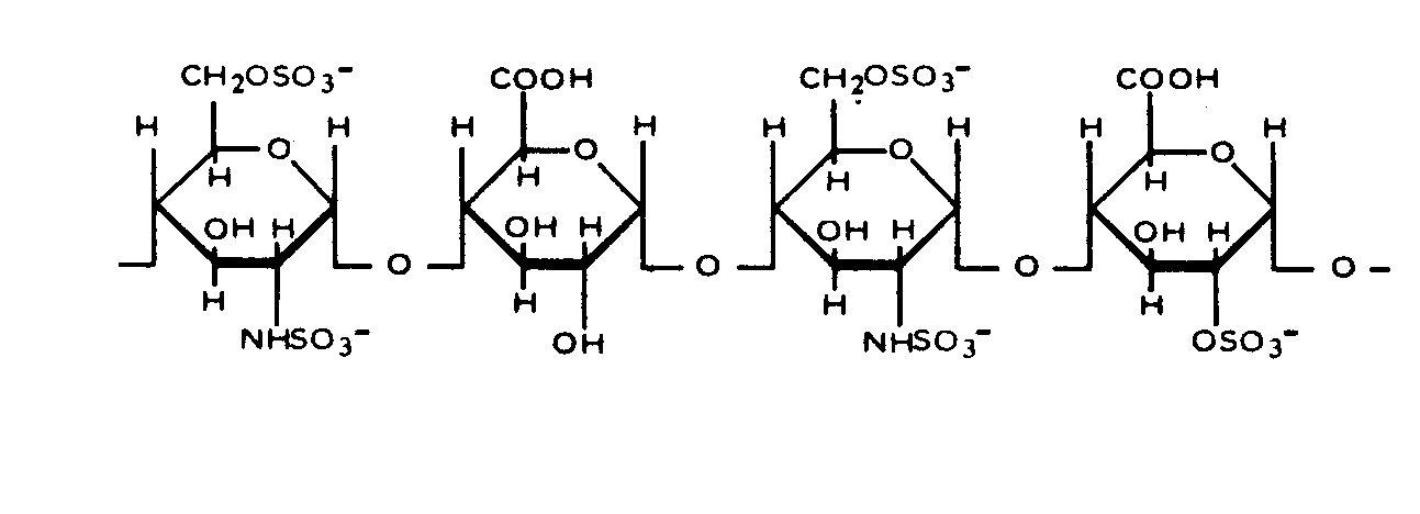
   化学構造  

商品名   商品名     

商品名、賦形剤は国、製薬会社ごとに異なることがあります

Arapin チリ
Ateroclar イタリア
Clarisco イタリア
Epsoclar イタリア
Hepaflex ノルウェー, フィンランド
Hepamax エクアドル, コロンビア, チリ
Heparin アメリカ, イギリス, オランダ, オーストリア, カナダ, ギリシア, スイス, スウェーデン, セルビア, タイ, デンマーク, トルコ, ノルウェー, ハンガリー, フィンランド, ロシア, 南アフリカ共和国
Heparine フランス, ベルギー
Heparinised アーストラリア
Heparstad ドイツ
Liquemin スイス, トルコ
Liquemine ブラジル
Monoparin サウジアラビア
Normoparin イタリア
Nuparin エクアドル
Pharepa イタリア
Riveparin アルゼンチン
Sobrius アルゼンチン, エクアドル
Thrombophob ドイツ
混合時の安定性   注射薬   混合時の安定性 : Heparin sodium     
容器 溶媒 濃度 化合物 温度 保管 安定期間 引用文献
ガラス NaCl 0,9% 9,75 UI/ml
注射薬   Heparin sodium   
注射薬   Vancomycin hydrochloride 0,025 mg/ml
23°C
85 日
特記なし 3958
生物学的分析
ガラス NaCl 0,9% 50 UI/ml
注射薬   Heparin sodium   
注射薬   Magnesium sulfate 15,6 mg/ml
25°C
14 日
光 2100
生物学的分析
ガラス NaCl 0,9% 2500 UI/ml
注射薬   Heparin sodium   
注射薬   Telavancin hydrochloride 2 & 5 mg/ml
注射薬   Sodium citrate 22 & 40 mg/ml
37°C
72 時間
遮光 3327
エビデンスレベル D
ガラス NaCl 0,9% 2500 UI/ml
注射薬   Heparin sodium   
注射薬   Vancomycin hydrochloride 2 & 5 mg/ml
注射薬   Sodium citrate 22 & 40 mg/ml
37°C
72 時間
遮光 3327
エビデンスレベル D
ガラス NaCl 0,9% 100 UI/ml
注射薬   Heparin sodium   
注射薬   Vancomycin hydrochloride 0,025 mg/ml
4°C
63 日
遮光 1414
生物学的分析
ガラス NaCl 0,9% 9,75 UI/ml
注射薬   Heparin sodium   
注射薬   Vancomycin hydrochloride 0,025 mg/ml
4°C
85 日
特記なし 3958
生物学的分析
ガラス グルコース5% 59 UI/ml
注射薬   Heparin sodium   
注射薬   Milrinone lactate 0,2 mg/ml
22°C-23°C
4 時間
光 813
エビデンスレベル A
ガラス グルコース5% 20 UI/ml
注射薬   Heparin sodium   
注射薬   Dopamine hydrochloride 0,8 mg/ml
23°C-25°C
24 時間
光 738
Joker
ガラス グルコース5% 50 UI/ml
注射薬   Heparin sodium   
注射薬   Palonosetron hydrochloride 25 µg/ml
25°C
4 時間
光 2279
エビデンスレベル A+
ガラス グルコース5% 100 UI/ml
注射薬   Heparin sodium   
注射薬   Fluconazole 1 mg/ml
25°C
24 時間
光 257
エビデンスレベル D
ポリ塩化ビニル(PVC) NaCl 0,9% or Glucose 5% 20 & 50 UI/ml
注射薬   Heparin sodium   
注射薬   Tirofiban 25 µg/ml
25°C
4 時間
光 1420
エビデンスレベル C+
ポリ塩化ビニル(PVC) グルコース5% 50 UI/ml
注射薬   Heparin sodium   
注射薬   Flumazenil 0,02 mg/ml
23°C
24 時間
光 187
エビデンスレベル A
ポリ塩化ビニル(PVC) Dianéal® PD1 1.5% glucose (Baxter) 0,5 UI/ml
注射薬   Heparin sodium   
注射薬   Piperacillin sodium / tazobactam 0,5/0,0625 mg/ml
37°C
10 時間
特記なし 4180
エビデンスレベル B
ポリ塩化ビニル(PVC) Dianéal® PD1 1.5% glucose (Baxter) 0,5 UI/ml
注射薬   Heparin sodium   
注射薬   Meropenem 0,5 mg/ml
37°C
10 時間
特記なし 4180
エビデンスレベル B
ポリ塩化ビニル(PVC) Dianéal® PD1 1.5% glucose (Baxter) 0,5 UI/ml
注射薬   Heparin sodium   
注射薬   Piperacillin sodium / tazobactam 0,5/0,0625 mg/ml
4°C
168 時間
特記なし 4180
エビデンスレベル B
ポリ塩化ビニル(PVC) Dianéal® PD1 1.5% glucose (Baxter) 0,5 UI/ml
注射薬   Heparin sodium   
注射薬   Meropenem 0,5 mg/ml
4°C
168 時間
特記なし 4180
エビデンスレベル B
ポリ塩化ビニル(PVC) Dianéal® PD2 4.25% glucose (Baxter) 0,5 UI/ml
注射薬   Heparin sodium   
注射薬   Piperacillin sodium / tazobactam 0,5/0,0625 mg/ml
37°C
10 時間
特記なし 4180
エビデンスレベル B
ポリ塩化ビニル(PVC) Dianéal® PD2 4.25% glucose (Baxter) 0,5 UI/ml
注射薬   Heparin sodium   
注射薬   Meropenem 0,5 mg/ml
37°C
10 時間
特記なし 4180
エビデンスレベル B
ポリ塩化ビニル(PVC) Dianéal® PD2 4.25% glucose (Baxter) 0.5 UI/ml
注射薬   Heparin sodium   
注射薬   Ceftazidime 0.125 mg/ml
37°C
12 時間
特記なし 4056
エビデンスレベル B+
ポリ塩化ビニル(PVC) Dianéal® PD2 4.25% glucose (Baxter) 0.5 UI/ml
注射薬   Heparin sodium   
注射薬   Ceftazidime 0.125 mg/ml
4°C
120 時間
特記なし 4056
エビデンスレベル B+
ポリ塩化ビニル(PVC) Dianéal® PD2 4.25% glucose (Baxter) 0,5 UI/ml
注射薬   Heparin sodium   
注射薬   Piperacillin sodium / tazobactam 0,5/0,0625 mg/ml
4°C
168 時間
特記なし 4180
エビデンスレベル B
ポリ塩化ビニル(PVC) Dianéal® PD2 4.25% glucose (Baxter) 0,5 UI/ml
注射薬   Heparin sodium   
注射薬   Meropenem 0,5 mg/ml
4°C
168 時間
特記なし 4180
エビデンスレベル B
ポリ塩化ビニル(PVC) Dianéal® PD2 2.5% glucose (Baxter) 0,5 UI/ml
注射薬   Heparin sodium   
注射薬   Piperacillin sodium / tazobactam 0,5/0,0625 mg/ml
37°C
10 時間
特記なし 4180
エビデンスレベル B
ポリ塩化ビニル(PVC) Dianéal® PD2 2.5% glucose (Baxter) 0,5 UI/ml
注射薬   Heparin sodium   
注射薬   Meropenem 0,5 mg/ml
37°C
10 時間
特記なし 4180
エビデンスレベル B
ポリ塩化ビニル(PVC) Dianéal® PD2 2.5% glucose (Baxter) 0.5 UI/ml
注射薬   Heparin sodium   
注射薬   Ceftazidime 0.125 mg/ml
37°C
12 時間
特記なし 4056
エビデンスレベル B+
ポリ塩化ビニル(PVC) Dianéal® PD2 2.5% glucose (Baxter) 0.5 UI/ml
注射薬   Heparin sodium   
注射薬   Ceftazidime 0.125 mg/ml
4°C
120 時間
特記なし 4056
エビデンスレベル B+
ポリ塩化ビニル(PVC) Dianéal® PD2 2.5% glucose (Baxter) 0,5 UI/ml
注射薬   Heparin sodium   
注射薬   Piperacillin sodium / tazobactam 0,5/0,0625 mg/ml
4°C
168 時間
特記なし 4180
エビデンスレベル B
ポリ塩化ビニル(PVC) Dianéal® PD2 2.5% glucose (Baxter) 0,5 UI/ml
注射薬   Heparin sodium   
注射薬   Meropenem 0,5 mg/ml
4°C
168 時間
特記なし 4180
エビデンスレベル B
ポリ塩化ビニル(PVC) Extraneal® (Baxter) 0,5 UI/ml
注射薬   Heparin sodium   
注射薬   Piperacillin sodium / tazobactam 0,5/0,0625 mg/ml
37°C
10 時間
特記なし 4180
エビデンスレベル B
ポリ塩化ビニル(PVC) Extraneal® (Baxter) 0,5 UI/ml
注射薬   Heparin sodium   
注射薬   Meropenem 0,5 mg/ml
37°C
10 時間
特記なし 4180
エビデンスレベル B
ポリ塩化ビニル(PVC) Extraneal® (Baxter) 0.5 UI/ml
注射薬   Heparin sodium   
注射薬   Ceftazidime 0.125 mg/ml
37°C
12 時間
特記なし 4056
エビデンスレベル B+
ポリ塩化ビニル(PVC) Extraneal® (Baxter) 0.5 UI/ml
注射薬   Heparin sodium   
注射薬   Ceftazidime 0.125 mg/ml
4°C
120 時間
特記なし 4056
エビデンスレベル B+
ポリ塩化ビニル(PVC) Extraneal® (Baxter) 0,5 UI/ml
注射薬   Heparin sodium   
注射薬   Piperacillin sodium / tazobactam 0,5/0,0625 mg/ml
4°C
168 時間
特記なし 4180
エビデンスレベル B
ポリ塩化ビニル(PVC) Extraneal® (Baxter) 0,5 UI/ml
注射薬   Heparin sodium   
注射薬   Meropenem 0,5 mg/ml
4°C
168 時間
特記なし 4180
エビデンスレベル B
ポリ塩化ビニル(PVC) Physionéal® 1.36 (Baxter) 1,4 UI/ml
注射薬   Heparin sodium   
注射薬   Piperacillin sodium / tazobactam 1,38/0,172 mg/ml
37°C
10 時間
特記なし 4180
エビデンスレベル B
ポリ塩化ビニル(PVC) Physionéal® 1.36 (Baxter) 1,4 UI/ml
注射薬   Heparin sodium   
注射薬   Piperacillin sodium / tazobactam 1,38/0,172 mg/ml
4°C
168 時間
特記なし 4180
エビデンスレベル B
ポリ塩化ビニル(PVC) Physionéal® 2.27 (Baxter) 1,4 UI/ml
注射薬   Heparin sodium   
注射薬   Piperacillin sodium / tazobactam 1,38/0,172 mg/ml
37°C
10 時間
特記なし 4180
エビデンスレベル B
ポリ塩化ビニル(PVC) Physionéal® 2.27 (Baxter) 1,4 UI/ml
注射薬   Heparin sodium   
注射薬   Piperacillin sodium / tazobactam 1,38/0,172 mg/ml
4°C
168 時間
特記なし 4180
エビデンスレベル B
ポリ塩化ビニル(PVC) Physionéal® 3.86 (Baxter) 1,4 UI/ml
注射薬   Heparin sodium   
注射薬   Piperacillin sodium / tazobactam 1,38/0,172 mg/ml
37°C
10 時間
特記なし 4180
エビデンスレベル B
ポリ塩化ビニル(PVC) Physionéal® 3.86 (Baxter) 1,4 UI/ml
注射薬   Heparin sodium   
注射薬   Piperacillin sodium / tazobactam 1,38/0,172 mg/ml
4°C
168 時間
特記なし 4180
エビデンスレベル B
ポリプロピレン NaCl 0,9% 5000 UI/ml
注射薬   Heparin sodium   
注射薬   Vancomycin hydrochloride 0,1 mg/ml
4°C
28 日
特記なし 3956
生物学的分析
ポリプロピレン NaCl 0,9% 5000 UI/ml
注射薬   Heparin sodium   
注射薬   Gentamicin sulfate 0,1 mg/ml
4°C
28 日
特記なし 3956
生物学的分析
シリンジ ポリプロピレン NaCl 0,9% 100 UI/ml
注射薬   Heparin sodium   
注射薬   Vancomycin hydrochloride 0,025 mg/ml
4°C
14 日
遮光 895
生物学的分析
シリンジ ポリプロピレン 乳酸リンゲル 100 UI/ml
注射薬   Heparin sodium   
注射薬   Daptomycin 5 mg/ml
-20°C
14 日
遮光 3665
エビデンスレベル B
シリンジ ポリプロピレン 乳酸リンゲル 100 UI/ml
注射薬   Heparin sodium   
注射薬   Daptomycin 5 mg/ml
4°C
14 日
特記なし 3665
エビデンスレベル B
シリンジ ポリプロピレン なし 960 UI/ml
注射薬   Heparin sodium   
注射薬   Fluorouracil 24 mg/ml
37°C
7 日
特記なし 163
エビデンスレベル B
シリンジ ポリプロピレン なし 960 UI/ml
注射薬   Heparin sodium   
注射薬   Fluorouracil 24 mg/ml
4°C
14 日
遮光 163
エビデンスレベル B
指定なし NaCl 0,9% 5000 UI/ml
注射薬   Heparin sodium   
注射薬   Daptomycin 19,6 mg/ml
22°C-28°C
2 時間
特記なし 1937
エビデンスレベル C+

  Mentions Légales