Última actualización :
18/03/2026
Anticoagulante   Heparin sodium  
Inyectables
Estabilidad en solucion Estabilidad en mezcla Factores que influyen sobre la estabilidad Compatibilidades método de inyección Bibliografía pdf
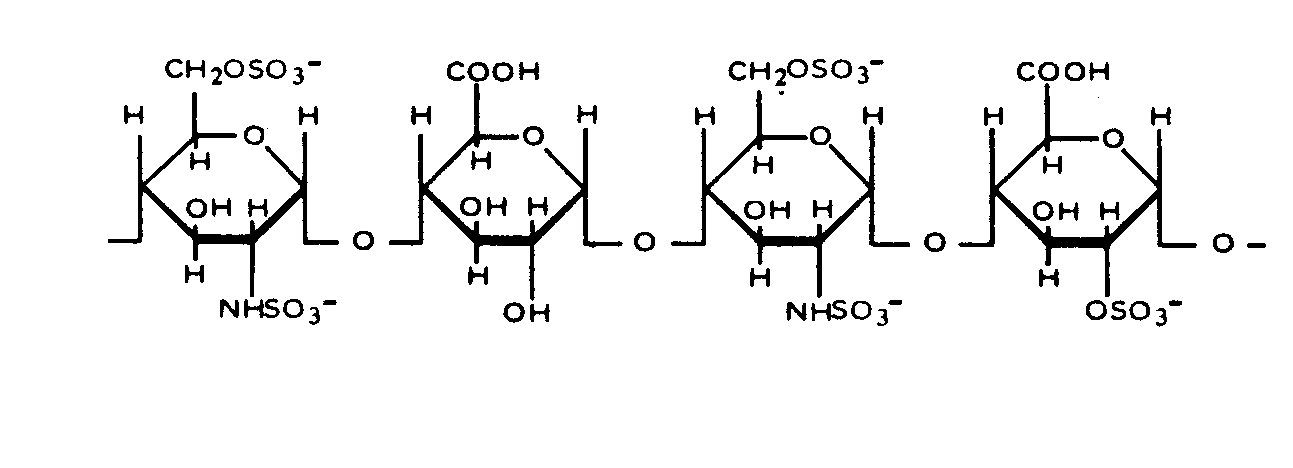
   Estructura química  

Nombre comercial   Nombre comercial     

Los nombres comerciales son orientativos y los excipientes de la formulación pueden ser distintos dependiendo del país y del laboratorio fabricante.

Arapin Chile
Ateroclar Italia
Clarisco Italia
Epsoclar Italia
Hepaflex Finlandia, Noruega
Hepamax Chile, Colombia, Ecuador
Heparin Austria, Canadá, Dinamarca, Estados Unidos de América, Finlandia, Gran Bretaña, Grecia, Hungría, Noruega, Países Bajos, ruso, Sudafrica, Suecia, Suiza, Tailandia, Turquía, Yugoslavia
Heparine Bélgica, Francia
Heparinised Australia
Heparstad Alemania
Liquemin Suiza, Turquía
Liquemine Brasil
Monoparin Arabia Saudita
Normoparin Italia
Nuparin Ecuador
Pharepa Italia
Riveparin Argentina
Sobrius Argentina, Ecuador
Thrombophob Alemania
Estabilidad en mezcla   Inyectables   Estabilidad en mezcla : Heparin sodium     
Envase Solvente Concentración Molécula Temperatura Conservación Duración de la estabilidad Bibliografía
Vidrio Cloruro de sodio 0,9% 9,75 UI/ml
Inyectables   Heparin sodium   
Inyectables   Vancomycin hydrochloride 0,025 mg/ml
23°C
85 Día
No precisada 3958
análisis biológico
Vidrio Cloruro de sodio 0,9% 50 UI/ml
Inyectables   Heparin sodium   
Inyectables   Magnesium sulfate 15,6 mg/ml
25°C
14 Día
Luz 2100
análisis biológico
Vidrio Cloruro de sodio 0,9% 2500 UI/ml
Inyectables   Heparin sodium   
Inyectables   Telavancin hydrochloride 2 & 5 mg/ml
Inyectables   Sodium citrate 22 & 40 mg/ml
37°C
72 Hora
A cubierto de la luz 3327
Nivel de evidencia D
Vidrio Cloruro de sodio 0,9% 2500 UI/ml
Inyectables   Heparin sodium   
Inyectables   Vancomycin hydrochloride 2 & 5 mg/ml
Inyectables   Sodium citrate 22 & 40 mg/ml
37°C
72 Hora
A cubierto de la luz 3327
Nivel de evidencia D
Vidrio Cloruro de sodio 0,9% 100 UI/ml
Inyectables   Heparin sodium   
Inyectables   Vancomycin hydrochloride 0,025 mg/ml
4°C
63 Día
A cubierto de la luz 1414
análisis biológico
Vidrio Cloruro de sodio 0,9% 9,75 UI/ml
Inyectables   Heparin sodium   
Inyectables   Vancomycin hydrochloride 0,025 mg/ml
4°C
85 Día
No precisada 3958
análisis biológico
Vidrio Glucosa 5% 59 UI/ml
Inyectables   Heparin sodium   
Inyectables   Milrinone lactate 0,2 mg/ml
22°C-23°C
4 Hora
Luz 813
Nivel de evidencia A
Vidrio Glucosa 5% 20 UI/ml
Inyectables   Heparin sodium   
Inyectables   Dopamine hydrochloride 0,8 mg/ml
23°C-25°C
24 Hora
Luz 738
Joker
Vidrio Glucosa 5% 50 UI/ml
Inyectables   Heparin sodium   
Inyectables   Palonosetron hydrochloride 25 µg/ml
25°C
4 Hora
Luz 2279
Nivel de evidencia A+
Vidrio Glucosa 5% 100 UI/ml
Inyectables   Heparin sodium   
Inyectables   Fluconazole 1 mg/ml
25°C
24 Hora
Luz 257
Nivel de evidencia D
Cloruro de polivinilo Cloruro de sodio 0,9% 20 & 50 UI/ml
Inyectables   Heparin sodium   
Inyectables   Tirofiban 25 µg/ml
25°C
4 Hora
Luz 1420
Nivel de evidencia C+
Cloruro de polivinilo Glucosa 5% 50 UI/ml
Inyectables   Heparin sodium   
Inyectables   Flumazenil 0,02 mg/ml
23°C
24 Hora
Luz 187
Nivel de evidencia A
Cloruro de polivinilo Glucosa 5% 20 & 50 UI/ml
Inyectables   Heparin sodium   
Inyectables   Tirofiban 25 µg/ml
25°C
4 Hora
Luz 1420
Nivel de evidencia C+
Cloruro de polivinilo Dianéal® PD1 1.5% Glucosa (Baxter) 0,5 UI/ml
Inyectables   Heparin sodium   
Inyectables   Piperacillin sodium / tazobactam 0,5/0,0625 mg/ml
37°C
10 Hora
No precisada 4180
Nivel de evidencia B
Cloruro de polivinilo Dianéal® PD1 1.5% Glucosa (Baxter) 0,5 UI/ml
Inyectables   Heparin sodium   
Inyectables   Meropenem 0,5 mg/ml
37°C
10 Hora
No precisada 4180
Nivel de evidencia B
Cloruro de polivinilo Dianéal® PD1 1.5% Glucosa (Baxter) 0,5 UI/ml
Inyectables   Heparin sodium   
Inyectables   Piperacillin sodium / tazobactam 0,5/0,0625 mg/ml
4°C
168 Hora
No precisada 4180
Nivel de evidencia B
Cloruro de polivinilo Dianéal® PD1 1.5% Glucosa (Baxter) 0,5 UI/ml
Inyectables   Heparin sodium   
Inyectables   Meropenem 0,5 mg/ml
4°C
168 Hora
No precisada 4180
Nivel de evidencia B
Cloruro de polivinilo Dianéal® PD2 4.25% Glucosa (Baxter) 0,5 UI/ml
Inyectables   Heparin sodium   
Inyectables   Piperacillin sodium / tazobactam 0,5/0,0625 mg/ml
37°C
10 Hora
No precisada 4180
Nivel de evidencia B
Cloruro de polivinilo Dianéal® PD2 4.25% Glucosa (Baxter) 0,5 UI/ml
Inyectables   Heparin sodium   
Inyectables   Meropenem 0,5 mg/ml
37°C
10 Hora
No precisada 4180
Nivel de evidencia B
Cloruro de polivinilo Dianéal® PD2 4.25% Glucosa (Baxter) 0.5 UI/ml
Inyectables   Heparin sodium   
Inyectables   Ceftazidime 0.125 mg/ml
37°C
12 Hora
No precisada 4056
Nivel de evidencia B+
Cloruro de polivinilo Dianéal® PD2 4.25% Glucosa (Baxter) 0.5 UI/ml
Inyectables   Heparin sodium   
Inyectables   Ceftazidime 0.125 mg/ml
4°C
120 Hora
No precisada 4056
Nivel de evidencia B+
Cloruro de polivinilo Dianéal® PD2 4.25% Glucosa (Baxter) 0,5 UI/ml
Inyectables   Heparin sodium   
Inyectables   Piperacillin sodium / tazobactam 0,5/0,0625 mg/ml
4°C
168 Hora
No precisada 4180
Nivel de evidencia B
Cloruro de polivinilo Dianéal® PD2 4.25% Glucosa (Baxter) 0,5 UI/ml
Inyectables   Heparin sodium   
Inyectables   Meropenem 0,5 mg/ml
4°C
168 Hora
No precisada 4180
Nivel de evidencia B
Cloruro de polivinilo Dianéal® PD2 2.5% glucose (Baxter) 0,5 UI/ml
Inyectables   Heparin sodium   
Inyectables   Piperacillin sodium / tazobactam 0,5/0,0625 mg/ml
37°C
10 Hora
No precisada 4180
Nivel de evidencia B
Cloruro de polivinilo Dianéal® PD2 2.5% glucose (Baxter) 0,5 UI/ml
Inyectables   Heparin sodium   
Inyectables   Meropenem 0,5 mg/ml
37°C
10 Hora
No precisada 4180
Nivel de evidencia B
Cloruro de polivinilo Dianéal® PD2 2.5% glucose (Baxter) 0.5 UI/ml
Inyectables   Heparin sodium   
Inyectables   Ceftazidime 0.125 mg/ml
37°C
12 Hora
No precisada 4056
Nivel de evidencia B+
Cloruro de polivinilo Dianéal® PD2 2.5% glucose (Baxter) 0.5 UI/ml
Inyectables   Heparin sodium   
Inyectables   Ceftazidime 0.125 mg/ml
4°C
120 Hora
No precisada 4056
Nivel de evidencia B+
Cloruro de polivinilo Dianéal® PD2 2.5% glucose (Baxter) 0,5 UI/ml
Inyectables   Heparin sodium   
Inyectables   Piperacillin sodium / tazobactam 0,5/0,0625 mg/ml
4°C
168 Hora
No precisada 4180
Nivel de evidencia B
Cloruro de polivinilo Dianéal® PD2 2.5% glucose (Baxter) 0,5 UI/ml
Inyectables   Heparin sodium   
Inyectables   Meropenem 0,5 mg/ml
4°C
168 Hora
No precisada 4180
Nivel de evidencia B
Cloruro de polivinilo Extraneal® (Baxter) 0,5 UI/ml
Inyectables   Heparin sodium   
Inyectables   Piperacillin sodium / tazobactam 0,5/0,0625 mg/ml
37°C
10 Hora
No precisada 4180
Nivel de evidencia B
Cloruro de polivinilo Extraneal® (Baxter) 0,5 UI/ml
Inyectables   Heparin sodium   
Inyectables   Meropenem 0,5 mg/ml
37°C
10 Hora
No precisada 4180
Nivel de evidencia B
Cloruro de polivinilo Extraneal® (Baxter) 0.5 UI/ml
Inyectables   Heparin sodium   
Inyectables   Ceftazidime 0.125 mg/ml
37°C
12 Hora
No precisada 4056
Nivel de evidencia B+
Cloruro de polivinilo Extraneal® (Baxter) 0.5 UI/ml
Inyectables   Heparin sodium   
Inyectables   Ceftazidime 0.125 mg/ml
4°C
120 Hora
No precisada 4056
Nivel de evidencia B+
Cloruro de polivinilo Extraneal® (Baxter) 0,5 UI/ml
Inyectables   Heparin sodium   
Inyectables   Piperacillin sodium / tazobactam 0,5/0,0625 mg/ml
4°C
168 Hora
No precisada 4180
Nivel de evidencia B
Cloruro de polivinilo Extraneal® (Baxter) 0,5 UI/ml
Inyectables   Heparin sodium   
Inyectables   Meropenem 0,5 mg/ml
4°C
168 Hora
No precisada 4180
Nivel de evidencia B
Cloruro de polivinilo Physionéal® 1.36 (Baxter) 1,4 UI/ml
Inyectables   Heparin sodium   
Inyectables   Piperacillin sodium / tazobactam 1,38/0,172 mg/ml
37°C
10 Hora
No precisada 4180
Nivel de evidencia B
Cloruro de polivinilo Physionéal® 1.36 (Baxter) 1,4 UI/ml
Inyectables   Heparin sodium   
Inyectables   Piperacillin sodium / tazobactam 1,38/0,172 mg/ml
4°C
168 Hora
No precisada 4180
Nivel de evidencia B
Cloruro de polivinilo Physionéal® 2.27 (Baxter) 1,4 UI/ml
Inyectables   Heparin sodium   
Inyectables   Piperacillin sodium / tazobactam 1,38/0,172 mg/ml
37°C
10 Hora
No precisada 4180
Nivel de evidencia B
Cloruro de polivinilo Physionéal® 2.27 (Baxter) 1,4 UI/ml
Inyectables   Heparin sodium   
Inyectables   Piperacillin sodium / tazobactam 1,38/0,172 mg/ml
4°C
168 Hora
No precisada 4180
Nivel de evidencia B
Cloruro de polivinilo Physionéal® 3.86 (Baxter) 1,4 UI/ml
Inyectables   Heparin sodium   
Inyectables   Piperacillin sodium / tazobactam 1,38/0,172 mg/ml
37°C
10 Hora
No precisada 4180
Nivel de evidencia B
Cloruro de polivinilo Physionéal® 3.86 (Baxter) 1,4 UI/ml
Inyectables   Heparin sodium   
Inyectables   Piperacillin sodium / tazobactam 1,38/0,172 mg/ml
4°C
168 Hora
No precisada 4180
Nivel de evidencia B
Polipropileno Cloruro de sodio 0,9% 5000 UI/ml
Inyectables   Heparin sodium   
Inyectables   Vancomycin hydrochloride 0,1 mg/ml
4°C
28 Día
No precisada 3956
análisis biológico
Polipropileno Cloruro de sodio 0,9% 5000 UI/ml
Inyectables   Heparin sodium   
Inyectables   Gentamicin sulfate 0,1 mg/ml
4°C
28 Día
No precisada 3956
análisis biológico
jeringa polipropileno Cloruro de sodio 0,9% 100 UI/ml
Inyectables   Heparin sodium   
Inyectables   Vancomycin hydrochloride 0,025 mg/ml
4°C
14 Día
A cubierto de la luz 895
análisis biológico
jeringa polipropileno Ringer lactato 100 UI/ml
Inyectables   Heparin sodium   
Inyectables   Daptomycin 5 mg/ml
-20°C
14 Día
A cubierto de la luz 3665
Nivel de evidencia B
jeringa polipropileno Ringer lactato 100 UI/ml
Inyectables   Heparin sodium   
Inyectables   Daptomycin 5 mg/ml
4°C
14 Día
No precisada 3665
Nivel de evidencia B
jeringa polipropileno Ninguno 960 UI/ml
Inyectables   Heparin sodium   
Inyectables   Fluorouracil 24 mg/ml
37°C
7 Día
No precisada 163
Nivel de evidencia B
jeringa polipropileno Ninguno 960 UI/ml
Inyectables   Heparin sodium   
Inyectables   Fluorouracil 24 mg/ml
4°C
14 Día
A cubierto de la luz 163
Nivel de evidencia B
No precisado Cloruro de sodio 0,9% 5000 UI/ml
Inyectables   Heparin sodium   
Inyectables   Daptomycin 19,6 mg/ml
22°C-28°C
2 Hora
No precisada 1937
Nivel de evidencia C+

  Mentions Légales