Última actualização :
27/11/2025
Anticoagulante   Heparin sodium  
injetável
Estabilidade em soluções simples Estabilidade em misturas Factores que afectam a sua estabilidade Compatibilidade Método de administração Bibliografía pdf
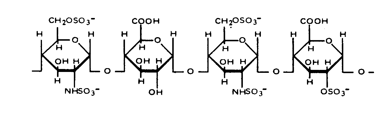
   estrutura química  

Nomes comerciais nos diversos países   Nomes comerciais nos diversos países     

OS NOMES COMERCIAIS SÃO INDICATIVOS E OS EXCIPIENTES DA FORMULAÇÃO PODEM SER DIFERENTES CONFORME O PAÍS E FABRICANTE.

Arapin Chilli
Ateroclar Itália
Clarisco Itália
Epsoclar Itália
Hepaflex Finlandia, Noruega
Hepamax Chilli, Colômbia, Equator
Heparin Africa do sul, Austria, Canadá, Dinamarca, Estados Unidos de América, Finlandia, Gran-bretanha, Grècia, Hungria, Jugoslavia, Noruega, Países Baixos, russo, Suècia, Suicia, Tailandia, Turquia
Heparine Bélgica, França
Heparinised Australia
Heparstad Alemanha
Liquemin Suicia, Turquia
Liquemine Brasil
Monoparin Arábia Saudita
Normoparin Itália
Nuparin Equator
Pharepa Itália
Riveparin Argentina
Sobrius Argentina, Equator
Thrombophob Alemanha
Estabilidade em misturas   injetável   Estabilidade em misturas : Heparin sodium     
Embalagem Solvente concentração molécula temperatura conservação Duração da estabilidade Bibliografia
vidro cloreto de sódio 0,9% 9,75 UI/ml
injetável   Heparin sodium   
injetável   Vancomycin hydrochloride 0,025 mg/ml
23°C
85 dia
no especificado 3958
análise biológica
vidro cloreto de sódio 0,9% 50 UI/ml
injetável   Heparin sodium   
injetável   Magnesium sulfate 15,6 mg/ml
25°C
14 dia
luz 2100
análise biológica
vidro cloreto de sódio 0,9% 2500 UI/ml
injetável   Heparin sodium   
injetável   Telavancin hydrochloride 2 & 5 mg/ml
injetável   Sodium citrate 22 & 40 mg/ml
37°C
72 hora
ao abrigo da luz 3327
Nível de evidência D
vidro cloreto de sódio 0,9% 2500 UI/ml
injetável   Heparin sodium   
injetável   Vancomycin hydrochloride 2 & 5 mg/ml
injetável   Sodium citrate 22 & 40 mg/ml
37°C
72 hora
ao abrigo da luz 3327
Nível de evidência D
vidro cloreto de sódio 0,9% 100 UI/ml
injetável   Heparin sodium   
injetável   Vancomycin hydrochloride 0,025 mg/ml
4°C
63 dia
ao abrigo da luz 1414
análise biológica
vidro cloreto de sódio 0,9% 9,75 UI/ml
injetável   Heparin sodium   
injetável   Vancomycin hydrochloride 0,025 mg/ml
4°C
85 dia
no especificado 3958
análise biológica
vidro Glucose 5% 59 UI/ml
injetável   Heparin sodium   
injetável   Milrinone lactate 0,2 mg/ml
22°C-23°C
4 hora
luz 813
Nível de evidência A
vidro Glucose 5% 20 UI/ml
injetável   Heparin sodium   
injetável   Dopamine hydrochloride 0,8 mg/ml
23°C-25°C
24 hora
luz 738
Joker
vidro Glucose 5% 50 UI/ml
injetável   Heparin sodium   
injetável   Palonosetron hydrochloride 25 µg/ml
25°C
4 hora
luz 2279
Nível de evidência A+
vidro Glucose 5% 100 UI/ml
injetável   Heparin sodium   
injetável   Fluconazole 1 mg/ml
25°C
24 hora
luz 257
Nível de evidência D
Cloreto de polivinilo NaCl 0,9% ou glucose 5% 20 & 50 UI/ml
injetável   Heparin sodium   
injetável   Tirofiban 25 µg/ml
25°C
4 hora
luz 1420
Nível de evidência C+
Cloreto de polivinilo Glucose 5% 50 UI/ml
injetável   Heparin sodium   
injetável   Flumazenil 0,02 mg/ml
23°C
24 hora
luz 187
Nível de evidência A
Cloreto de polivinilo Dianéal® PD1 1.5% Glucose (Baxter) 0,5 UI/ml
injetável   Heparin sodium   
injetável   Piperacillin sodium / tazobactam 0,5/0,0625 mg/ml
37°C
10 hora
no especificado 4180
Nível de evidência B
Cloreto de polivinilo Dianéal® PD1 1.5% Glucose (Baxter) 0,5 UI/ml
injetável   Heparin sodium   
injetável   Meropenem 0,5 mg/ml
37°C
10 hora
no especificado 4180
Nível de evidência B
Cloreto de polivinilo Dianéal® PD1 1.5% Glucose (Baxter) 0,5 UI/ml
injetável   Heparin sodium   
injetável   Piperacillin sodium / tazobactam 0,5/0,0625 mg/ml
4°C
168 hora
no especificado 4180
Nível de evidência B
Cloreto de polivinilo Dianéal® PD1 1.5% Glucose (Baxter) 0,5 UI/ml
injetável   Heparin sodium   
injetável   Meropenem 0,5 mg/ml
4°C
168 hora
no especificado 4180
Nível de evidência B
Cloreto de polivinilo Dianéal® PD2 4.25% Glucose (Baxter) 0,5 UI/ml
injetável   Heparin sodium   
injetável   Piperacillin sodium / tazobactam 0,5/0,0625 mg/ml
37°C
10 hora
no especificado 4180
Nível de evidência B
Cloreto de polivinilo Dianéal® PD2 4.25% Glucose (Baxter) 0,5 UI/ml
injetável   Heparin sodium   
injetável   Meropenem 0,5 mg/ml
37°C
10 hora
no especificado 4180
Nível de evidência B
Cloreto de polivinilo Dianéal® PD2 4.25% Glucose (Baxter) 0.5 UI/ml
injetável   Heparin sodium   
injetável   Ceftazidime 0.125 mg/ml
37°C
12 hora
no especificado 4056
Nível de evidência B+
Cloreto de polivinilo Dianéal® PD2 4.25% Glucose (Baxter) 0.5 UI/ml
injetável   Heparin sodium   
injetável   Ceftazidime 0.125 mg/ml
4°C
120 hora
no especificado 4056
Nível de evidência B+
Cloreto de polivinilo Dianéal® PD2 4.25% Glucose (Baxter) 0,5 UI/ml
injetável   Heparin sodium   
injetável   Piperacillin sodium / tazobactam 0,5/0,0625 mg/ml
4°C
168 hora
no especificado 4180
Nível de evidência B
Cloreto de polivinilo Dianéal® PD2 4.25% Glucose (Baxter) 0,5 UI/ml
injetável   Heparin sodium   
injetável   Meropenem 0,5 mg/ml
4°C
168 hora
no especificado 4180
Nível de evidência B
Cloreto de polivinilo Dianéal® PD2 2.5% glucose (Baxter) 0,5 UI/ml
injetável   Heparin sodium   
injetável   Piperacillin sodium / tazobactam 0,5/0,0625 mg/ml
37°C
10 hora
no especificado 4180
Nível de evidência B
Cloreto de polivinilo Dianéal® PD2 2.5% glucose (Baxter) 0,5 UI/ml
injetável   Heparin sodium   
injetável   Meropenem 0,5 mg/ml
37°C
10 hora
no especificado 4180
Nível de evidência B
Cloreto de polivinilo Dianéal® PD2 2.5% glucose (Baxter) 0.5 UI/ml
injetável   Heparin sodium   
injetável   Ceftazidime 0.125 mg/ml
37°C
12 hora
no especificado 4056
Nível de evidência B+
Cloreto de polivinilo Dianéal® PD2 2.5% glucose (Baxter) 0.5 UI/ml
injetável   Heparin sodium   
injetável   Ceftazidime 0.125 mg/ml
4°C
120 hora
no especificado 4056
Nível de evidência B+
Cloreto de polivinilo Dianéal® PD2 2.5% glucose (Baxter) 0,5 UI/ml
injetável   Heparin sodium   
injetável   Piperacillin sodium / tazobactam 0,5/0,0625 mg/ml
4°C
168 hora
no especificado 4180
Nível de evidência B
Cloreto de polivinilo Dianéal® PD2 2.5% glucose (Baxter) 0,5 UI/ml
injetável   Heparin sodium   
injetável   Meropenem 0,5 mg/ml
4°C
168 hora
no especificado 4180
Nível de evidência B
Cloreto de polivinilo Extraneal® (Baxter) 0,5 UI/ml
injetável   Heparin sodium   
injetável   Piperacillin sodium / tazobactam 0,5/0,0625 mg/ml
37°C
10 hora
no especificado 4180
Nível de evidência B
Cloreto de polivinilo Extraneal® (Baxter) 0,5 UI/ml
injetável   Heparin sodium   
injetável   Meropenem 0,5 mg/ml
37°C
10 hora
no especificado 4180
Nível de evidência B
Cloreto de polivinilo Extraneal® (Baxter) 0.5 UI/ml
injetável   Heparin sodium   
injetável   Ceftazidime 0.125 mg/ml
37°C
12 hora
no especificado 4056
Nível de evidência B+
Cloreto de polivinilo Extraneal® (Baxter) 0.5 UI/ml
injetável   Heparin sodium   
injetável   Ceftazidime 0.125 mg/ml
4°C
120 hora
no especificado 4056
Nível de evidência B+
Cloreto de polivinilo Extraneal® (Baxter) 0,5 UI/ml
injetável   Heparin sodium   
injetável   Piperacillin sodium / tazobactam 0,5/0,0625 mg/ml
4°C
168 hora
no especificado 4180
Nível de evidência B
Cloreto de polivinilo Extraneal® (Baxter) 0,5 UI/ml
injetável   Heparin sodium   
injetável   Meropenem 0,5 mg/ml
4°C
168 hora
no especificado 4180
Nível de evidência B
Cloreto de polivinilo Physionéal® 1.36 (Baxter) 1,4 UI/ml
injetável   Heparin sodium   
injetável   Piperacillin sodium / tazobactam 1,38/0,172 mg/ml
37°C
10 hora
no especificado 4180
Nível de evidência B
Cloreto de polivinilo Physionéal® 1.36 (Baxter) 1,4 UI/ml
injetável   Heparin sodium   
injetável   Piperacillin sodium / tazobactam 1,38/0,172 mg/ml
4°C
168 hora
no especificado 4180
Nível de evidência B
Cloreto de polivinilo Physionéal® 2.27 (Baxter) 1,4 UI/ml
injetável   Heparin sodium   
injetável   Piperacillin sodium / tazobactam 1,38/0,172 mg/ml
37°C
10 hora
no especificado 4180
Nível de evidência B
Cloreto de polivinilo Physionéal® 2.27 (Baxter) 1,4 UI/ml
injetável   Heparin sodium   
injetável   Piperacillin sodium / tazobactam 1,38/0,172 mg/ml
4°C
168 hora
no especificado 4180
Nível de evidência B
Cloreto de polivinilo Physionéal® 3.86 (Baxter) 1,4 UI/ml
injetável   Heparin sodium   
injetável   Piperacillin sodium / tazobactam 1,38/0,172 mg/ml
37°C
10 hora
no especificado 4180
Nível de evidência B
Cloreto de polivinilo Physionéal® 3.86 (Baxter) 1,4 UI/ml
injetável   Heparin sodium   
injetável   Piperacillin sodium / tazobactam 1,38/0,172 mg/ml
4°C
168 hora
no especificado 4180
Nível de evidência B
Polipropileno cloreto de sódio 0,9% 5000 UI/ml
injetável   Heparin sodium   
injetável   Vancomycin hydrochloride 0,1 mg/ml
4°C
28 dia
no especificado 3956
análise biológica
Polipropileno cloreto de sódio 0,9% 5000 UI/ml
injetável   Heparin sodium   
injetável   Gentamicin sulfate 0,1 mg/ml
4°C
28 dia
no especificado 3956
análise biológica
seringa polipropylen cloreto de sódio 0,9% 100 UI/ml
injetável   Heparin sodium   
injetável   Vancomycin hydrochloride 0,025 mg/ml
4°C
14 dia
ao abrigo da luz 895
análise biológica
seringa polipropylen Ringer lactato 100 UI/ml
injetável   Heparin sodium   
injetável   Daptomycin 5 mg/ml
-20°C
14 dia
ao abrigo da luz 3665
Nível de evidência B
seringa polipropylen Ringer lactato 100 UI/ml
injetável   Heparin sodium   
injetável   Daptomycin 5 mg/ml
4°C
14 dia
no especificado 3665
Nível de evidência B
seringa polipropylen nenhum 960 UI/ml
injetável   Heparin sodium   
injetável   Fluorouracil 24 mg/ml
37°C
7 dia
no especificado 163
Nível de evidência B
seringa polipropylen nenhum 960 UI/ml
injetável   Heparin sodium   
injetável   Fluorouracil 24 mg/ml
4°C
14 dia
ao abrigo da luz 163
Nível de evidência B
no especificado cloreto de sódio 0,9% 5000 UI/ml
injetável   Heparin sodium   
injetável   Daptomycin 19,6 mg/ml
22°C-28°C
2 hora
no especificado 1937
Nível de evidência C+

  Mentions Légales