最新更新 :
18/03/2026
抗凝血药   Heparin sodium  
注射液
溶液稳定性 混合物稳定性 影响稳定性的因素 兼容性 用药途径 引用文献 PDF
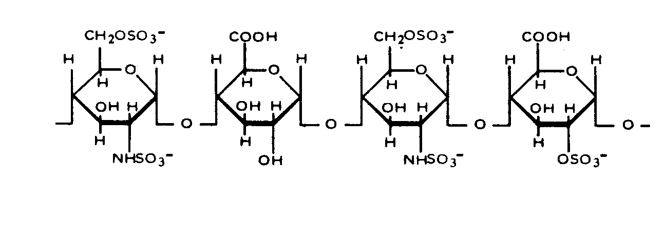
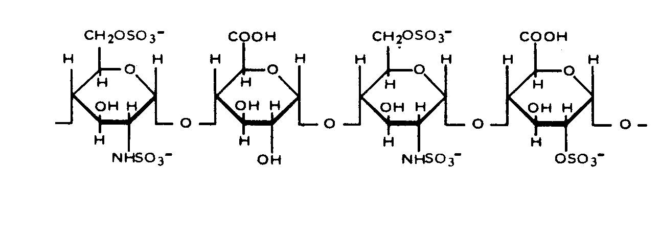
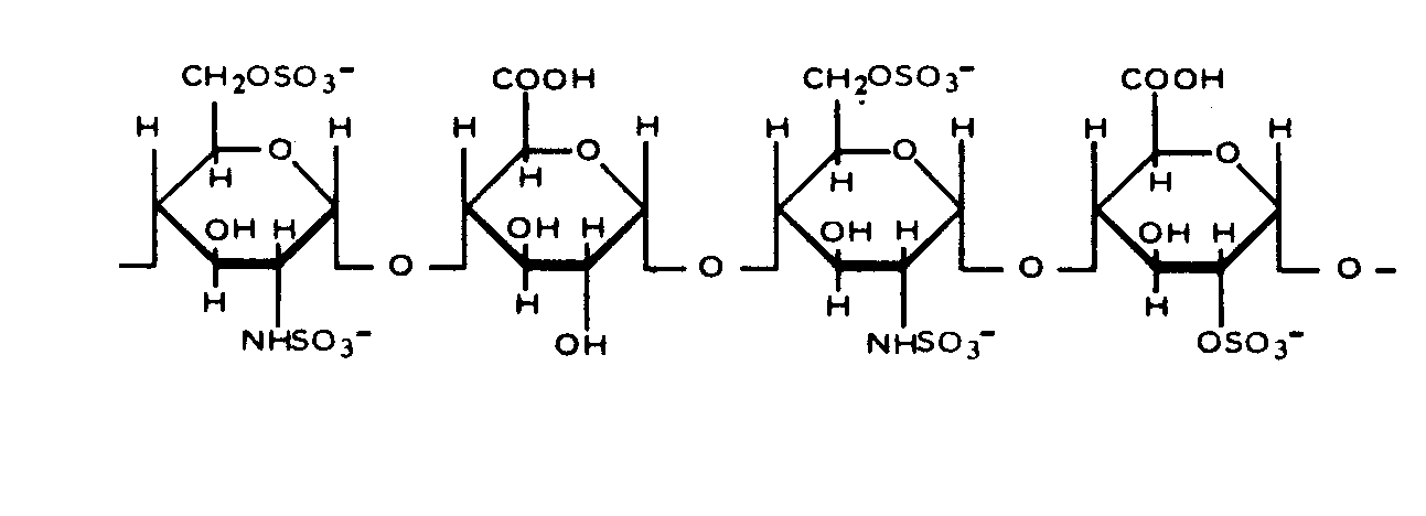
   化学式  

商品名   商品名     

商品名仅供参考, 药品所用的辅料可能依国家或厂商不同有所不同。

Arapin 智利
Ateroclar 意大利
Clarisco 意大利
Epsoclar 意大利
Hepaflex 挪威, 芬兰
Hepamax 厄瓜多尔, 哥伦比亚, 智利
Heparin 丹麦, 俄罗斯, 加拿大, 匈牙利, 南非, 土耳其, 塞尔维亚, 奥地利, 希腊, 挪威, 泰国, 瑞典, 瑞士, 美国, 芬兰, 英国, 荷兰
Heparine 比利时, 法国
Heparinised 澳大利亚
Heparstad 德国
Liquemin 土耳其, 瑞士
Liquemine 巴西
Monoparin 沙特阿拉伯
Normoparin 意大利
Nuparin 厄瓜多尔
Pharepa 意大利
Riveparin 阿根廷
Sobrius 厄瓜多尔, 阿根廷
Thrombophob 德国
混合物稳定性   注射液   混合物稳定性 : Heparin sodium     
容器 溶剂 浓度 分子 温度 保存 穩定持續時間 引用文献
玻璃 NaCl 0,9% 9,75 UI/ml
注射液   Heparin sodium   
注射液   Vancomycin hydrochloride 0,025 mg/ml
23°C
85 白天
无特殊要求 3958
生物检测
玻璃 NaCl 0,9% 50 UI/ml
注射液   Heparin sodium   
注射液   Magnesium sulfate 15,6 mg/ml
25°C
14 白天
光 2100
生物检测
玻璃 NaCl 0,9% 2500 UI/ml
注射液   Heparin sodium   
注射液   Telavancin hydrochloride 2 & 5 mg/ml
注射液   Sodium citrate 22 & 40 mg/ml
37°C
72 小时
避光 3327
D级
玻璃 NaCl 0,9% 2500 UI/ml
注射液   Heparin sodium   
注射液   Vancomycin hydrochloride 2 & 5 mg/ml
注射液   Sodium citrate 22 & 40 mg/ml
37°C
72 小时
避光 3327
D级
玻璃 NaCl 0,9% 100 UI/ml
注射液   Heparin sodium   
注射液   Vancomycin hydrochloride 0,025 mg/ml
4°C
63 白天
避光 1414
生物检测
玻璃 NaCl 0,9% 9,75 UI/ml
注射液   Heparin sodium   
注射液   Vancomycin hydrochloride 0,025 mg/ml
4°C
85 白天
无特殊要求 3958
生物检测
玻璃 葡萄糖5% 59 UI/ml
注射液   Heparin sodium   
注射液   Milrinone lactate 0,2 mg/ml
22°C-23°C
4 小时
光 813
A级
玻璃 葡萄糖5% 20 UI/ml
注射液   Heparin sodium   
注射液   Dopamine hydrochloride 0,8 mg/ml
23°C-25°C
24 小时
光 738
Joker
玻璃 葡萄糖5% 50 UI/ml
注射液   Heparin sodium   
注射液   Palonosetron hydrochloride 25 µg/ml
25°C
4 小时
光 2279
A+级
玻璃 葡萄糖5% 100 UI/ml
注射液   Heparin sodium   
注射液   Fluconazole 1 mg/ml
25°C
24 小时
光 257
D级
聚氯乙烯 NaCl 0,9% 20 & 50 UI/ml
注射液   Heparin sodium   
注射液   Tirofiban 25 µg/ml
25°C
4 小时
光 1420
C+级
聚氯乙烯 葡萄糖5% 50 UI/ml
注射液   Heparin sodium   
注射液   Flumazenil 0,02 mg/ml
23°C
24 小时
光 187
A级
聚氯乙烯 葡萄糖5% 20 & 50 UI/ml
注射液   Heparin sodium   
注射液   Tirofiban 25 µg/ml
25°C
4 小时
光 1420
C+级
聚氯乙烯 Dianéal® PD1 1.5% 葡萄糖 (Baxter) 0,5 UI/ml
注射液   Heparin sodium   
注射液   Piperacillin sodium / tazobactam 0,5/0,0625 mg/ml
37°C
10 小时
无特殊要求 4180
B级
聚氯乙烯 Dianéal® PD1 1.5% 葡萄糖 (Baxter) 0,5 UI/ml
注射液   Heparin sodium   
注射液   Meropenem 0,5 mg/ml
37°C
10 小时
无特殊要求 4180
B级
聚氯乙烯 Dianéal® PD1 1.5% 葡萄糖 (Baxter) 0,5 UI/ml
注射液   Heparin sodium   
注射液   Piperacillin sodium / tazobactam 0,5/0,0625 mg/ml
4°C
168 小时
无特殊要求 4180
B级
聚氯乙烯 Dianéal® PD1 1.5% 葡萄糖 (Baxter) 0,5 UI/ml
注射液   Heparin sodium   
注射液   Meropenem 0,5 mg/ml
4°C
168 小时
无特殊要求 4180
B级
聚氯乙烯 Dianéal® PD2 4.25% 葡萄糖(Baxter) 0,5 UI/ml
注射液   Heparin sodium   
注射液   Piperacillin sodium / tazobactam 0,5/0,0625 mg/ml
37°C
10 小时
无特殊要求 4180
B级
聚氯乙烯 Dianéal® PD2 4.25% 葡萄糖(Baxter) 0,5 UI/ml
注射液   Heparin sodium   
注射液   Meropenem 0,5 mg/ml
37°C
10 小时
无特殊要求 4180
B级
聚氯乙烯 Dianéal® PD2 4.25% 葡萄糖(Baxter) 0.5 UI/ml
注射液   Heparin sodium   
注射液   Ceftazidime 0.125 mg/ml
37°C
12 小时
无特殊要求 4056
B+级
聚氯乙烯 Dianéal® PD2 4.25% 葡萄糖(Baxter) 0.5 UI/ml
注射液   Heparin sodium   
注射液   Ceftazidime 0.125 mg/ml
4°C
120 小时
无特殊要求 4056
B+级
聚氯乙烯 Dianéal® PD2 4.25% 葡萄糖(Baxter) 0,5 UI/ml
注射液   Heparin sodium   
注射液   Piperacillin sodium / tazobactam 0,5/0,0625 mg/ml
4°C
168 小时
无特殊要求 4180
B级
聚氯乙烯 Dianéal® PD2 4.25% 葡萄糖(Baxter) 0,5 UI/ml
注射液   Heparin sodium   
注射液   Meropenem 0,5 mg/ml
4°C
168 小时
无特殊要求 4180
B级
聚氯乙烯 Dianéal® PD2 2.5% 葡萄糖 (Baxter) 0,5 UI/ml
注射液   Heparin sodium   
注射液   Piperacillin sodium / tazobactam 0,5/0,0625 mg/ml
37°C
10 小时
无特殊要求 4180
B级
聚氯乙烯 Dianéal® PD2 2.5% 葡萄糖 (Baxter) 0,5 UI/ml
注射液   Heparin sodium   
注射液   Meropenem 0,5 mg/ml
37°C
10 小时
无特殊要求 4180
B级
聚氯乙烯 Dianéal® PD2 2.5% 葡萄糖 (Baxter) 0.5 UI/ml
注射液   Heparin sodium   
注射液   Ceftazidime 0.125 mg/ml
37°C
12 小时
无特殊要求 4056
B+级
聚氯乙烯 Dianéal® PD2 2.5% 葡萄糖 (Baxter) 0.5 UI/ml
注射液   Heparin sodium   
注射液   Ceftazidime 0.125 mg/ml
4°C
120 小时
无特殊要求 4056
B+级
聚氯乙烯 Dianéal® PD2 2.5% 葡萄糖 (Baxter) 0,5 UI/ml
注射液   Heparin sodium   
注射液   Piperacillin sodium / tazobactam 0,5/0,0625 mg/ml
4°C
168 小时
无特殊要求 4180
B级
聚氯乙烯 Dianéal® PD2 2.5% 葡萄糖 (Baxter) 0,5 UI/ml
注射液   Heparin sodium   
注射液   Meropenem 0,5 mg/ml
4°C
168 小时
无特殊要求 4180
B级
聚氯乙烯 Extraneal® (Baxter) 0,5 UI/ml
注射液   Heparin sodium   
注射液   Piperacillin sodium / tazobactam 0,5/0,0625 mg/ml
37°C
10 小时
无特殊要求 4180
B级
聚氯乙烯 Extraneal® (Baxter) 0,5 UI/ml
注射液   Heparin sodium   
注射液   Meropenem 0,5 mg/ml
37°C
10 小时
无特殊要求 4180
B级
聚氯乙烯 Extraneal® (Baxter) 0.5 UI/ml
注射液   Heparin sodium   
注射液   Ceftazidime 0.125 mg/ml
37°C
12 小时
无特殊要求 4056
B+级
聚氯乙烯 Extraneal® (Baxter) 0.5 UI/ml
注射液   Heparin sodium   
注射液   Ceftazidime 0.125 mg/ml
4°C
120 小时
无特殊要求 4056
B+级
聚氯乙烯 Extraneal® (Baxter) 0,5 UI/ml
注射液   Heparin sodium   
注射液   Piperacillin sodium / tazobactam 0,5/0,0625 mg/ml
4°C
168 小时
无特殊要求 4180
B级
聚氯乙烯 Extraneal® (Baxter) 0,5 UI/ml
注射液   Heparin sodium   
注射液   Meropenem 0,5 mg/ml
4°C
168 小时
无特殊要求 4180
B级
聚氯乙烯 Physionéal® 1.36 (Baxter) 1,4 UI/ml
注射液   Heparin sodium   
注射液   Piperacillin sodium / tazobactam 1,38/0,172 mg/ml
37°C
10 小时
无特殊要求 4180
B级
聚氯乙烯 Physionéal® 1.36 (Baxter) 1,4 UI/ml
注射液   Heparin sodium   
注射液   Piperacillin sodium / tazobactam 1,38/0,172 mg/ml
4°C
168 小时
无特殊要求 4180
B级
聚氯乙烯 Physionéal® 2.27 (Baxter) 1,4 UI/ml
注射液   Heparin sodium   
注射液   Piperacillin sodium / tazobactam 1,38/0,172 mg/ml
37°C
10 小时
无特殊要求 4180
B级
聚氯乙烯 Physionéal® 2.27 (Baxter) 1,4 UI/ml
注射液   Heparin sodium   
注射液   Piperacillin sodium / tazobactam 1,38/0,172 mg/ml
4°C
168 小时
无特殊要求 4180
B级
聚氯乙烯 Physionéal® 3.86 (Baxter) 1,4 UI/ml
注射液   Heparin sodium   
注射液   Piperacillin sodium / tazobactam 1,38/0,172 mg/ml
37°C
10 小时
无特殊要求 4180
B级
聚氯乙烯 Physionéal® 3.86 (Baxter) 1,4 UI/ml
注射液   Heparin sodium   
注射液   Piperacillin sodium / tazobactam 1,38/0,172 mg/ml
4°C
168 小时
无特殊要求 4180
B级
聚丙烯 NaCl 0,9% 5000 UI/ml
注射液   Heparin sodium   
注射液   Vancomycin hydrochloride 0,1 mg/ml
4°C
28 白天
无特殊要求 3956
生物检测
聚丙烯 NaCl 0,9% 5000 UI/ml
注射液   Heparin sodium   
注射液   Gentamicin sulfate 0,1 mg/ml
4°C
28 白天
无特殊要求 3956
生物检测
注射器  聚丙烯 NaCl 0,9% 100 UI/ml
注射液   Heparin sodium   
注射液   Vancomycin hydrochloride 0,025 mg/ml
4°C
14 白天
避光 895
生物检测
注射器  聚丙烯 Ringer乳酸溶液 100 UI/ml
注射液   Heparin sodium   
注射液   Daptomycin 5 mg/ml
-20°C
14 白天
避光 3665
B级
注射器  聚丙烯 Ringer乳酸溶液 100 UI/ml
注射液   Heparin sodium   
注射液   Daptomycin 5 mg/ml
4°C
14 白天
无特殊要求 3665
B级
注射器  聚丙烯 无 960 UI/ml
注射液   Heparin sodium   
注射液   Fluorouracil 24 mg/ml
37°C
7 白天
无特殊要求 163
B级
注射器  聚丙烯 无 960 UI/ml
注射液   Heparin sodium   
注射液   Fluorouracil 24 mg/ml
4°C
14 白天
避光 163
B级
不详 NaCl 0,9% 5000 UI/ml
注射液   Heparin sodium   
注射液   Daptomycin 19,6 mg/ml
22°C-28°C
2 小时
无特殊要求 1937
C+级

  Mentions Légales