Ultimo aggiornamento :
27/11/2025
Anticoagulante   Heparin sodium  
Iniezione
Stabilità in soluzione Stabilità in miscela Fattori che influenzano la stabilità Compatibilità metodo di iniezione Bibliografia pdf
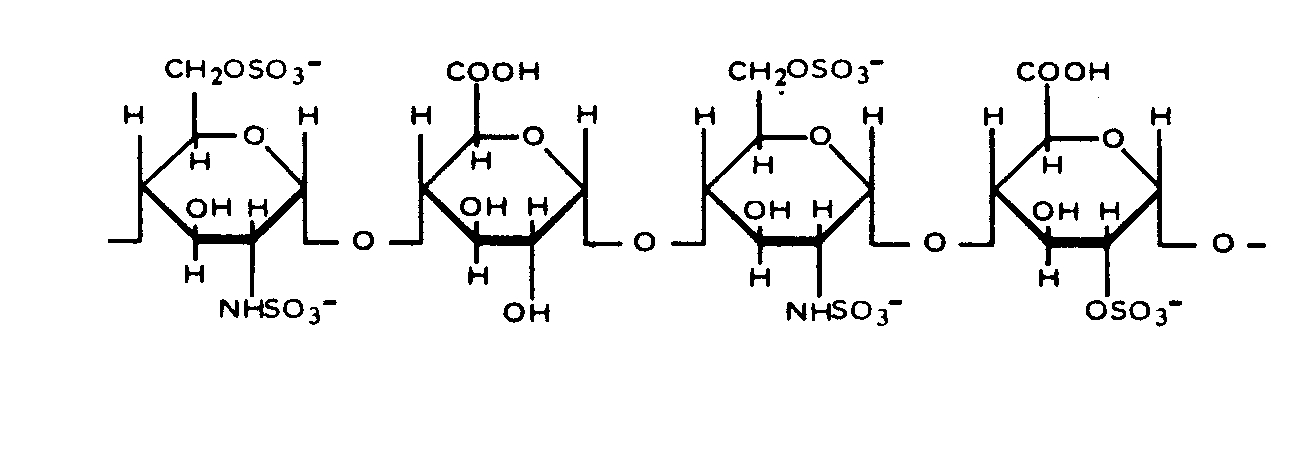
   Struttura chimica  

Nome commerciale   Nome commerciale     

Trade names are indicative and excipients composition can be different depending on the country and manufacturers

Arapin Chile
Ateroclar Italia
Clarisco Italia
Epsoclar Italia
Hepaflex Finlandia, Norvegia
Hepamax Chile, Colombia, Ecuador
Heparin Africa del Sud, Austria, Canada, Danimarca, Finlandia, Gran Bretagna, Grecia, Iugoslavia, Norvegia, Paesi Bassi, russo, Stati Uniti d’America, Svezia, Svizzera, Tailandia, Turchia, Ungheria
Heparine Belgio, Francia
Heparinised Australia
Heparstad Germania
Liquemin Svizzera, Turchia
Liquemine Brasile
Monoparin Arabia Saudita
Normoparin Italia
Nuparin Ecuador
Pharepa Italia
Riveparin Argentina
Sobrius Argentina, Ecuador
Thrombophob Germania
Stabilità in miscela   Iniezione   Stabilità in miscela : Heparin sodium     
contenitore Solvente Concentrazione Molecola Temperatura Conservazione Durata della stabilità Bibliografia
Vetro Cloruro di sodio 0,9% 9,75 UI/ml
Iniezione   Heparin sodium   
Iniezione   Vancomycin hydrochloride 0,025 mg/ml
23°C
85 Giorno
Non precisata 3958
Analisi biologica
Vetro Cloruro di sodio 0,9% 50 UI/ml
Iniezione   Heparin sodium   
Iniezione   Magnesium sulfate 15,6 mg/ml
25°C
14 Giorno
Luce 2100
Analisi biologica
Vetro Cloruro di sodio 0,9% 2500 UI/ml
Iniezione   Heparin sodium   
Iniezione   Telavancin hydrochloride 2 & 5 mg/ml
Iniezione   Sodium citrate 22 & 40 mg/ml
37°C
72 Ora
Al riparo dalla luce 3327
Livello di evidenza D
Vetro Cloruro di sodio 0,9% 2500 UI/ml
Iniezione   Heparin sodium   
Iniezione   Vancomycin hydrochloride 2 & 5 mg/ml
Iniezione   Sodium citrate 22 & 40 mg/ml
37°C
72 Ora
Al riparo dalla luce 3327
Livello di evidenza D
Vetro Cloruro di sodio 0,9% 100 UI/ml
Iniezione   Heparin sodium   
Iniezione   Vancomycin hydrochloride 0,025 mg/ml
4°C
63 Giorno
Al riparo dalla luce 1414
Analisi biologica
Vetro Cloruro di sodio 0,9% 9,75 UI/ml
Iniezione   Heparin sodium   
Iniezione   Vancomycin hydrochloride 0,025 mg/ml
4°C
85 Giorno
Non precisata 3958
Analisi biologica
Vetro Glucosio 5% 59 UI/ml
Iniezione   Heparin sodium   
Iniezione   Milrinone lactate 0,2 mg/ml
22°C-23°C
4 Ora
Luce 813
Livello di evidenza A
Vetro Glucosio 5% 20 UI/ml
Iniezione   Heparin sodium   
Iniezione   Dopamine hydrochloride 0,8 mg/ml
23°C-25°C
24 Ora
Luce 738
Joker
Vetro Glucosio 5% 50 UI/ml
Iniezione   Heparin sodium   
Iniezione   Palonosetron hydrochloride 25 µg/ml
25°C
4 Ora
Luce 2279
Livello di evidenza A+
Vetro Glucosio 5% 100 UI/ml
Iniezione   Heparin sodium   
Iniezione   Fluconazole 1 mg/ml
25°C
24 Ora
Luce 257
Livello di evidenza D
Cloruro di polivinile NaCl 0,9% o glucosio 5% 20 & 50 UI/ml
Iniezione   Heparin sodium   
Iniezione   Tirofiban 25 µg/ml
25°C
4 Ora
Luce 1420
Livello di evidenza C+
Cloruro di polivinile Glucosio 5% 50 UI/ml
Iniezione   Heparin sodium   
Iniezione   Flumazenil 0,02 mg/ml
23°C
24 Ora
Luce 187
Livello di evidenza A
Cloruro di polivinile Dianéal® PD1 1.5% Glucosio (Baxter) 0,5 UI/ml
Iniezione   Heparin sodium   
Iniezione   Piperacillin sodium / tazobactam 0,5/0,0625 mg/ml
37°C
10 Ora
Non precisata 4180
Livello di evidenza B
Cloruro di polivinile Dianéal® PD1 1.5% Glucosio (Baxter) 0,5 UI/ml
Iniezione   Heparin sodium   
Iniezione   Meropenem 0,5 mg/ml
37°C
10 Ora
Non precisata 4180
Livello di evidenza B
Cloruro di polivinile Dianéal® PD1 1.5% Glucosio (Baxter) 0,5 UI/ml
Iniezione   Heparin sodium   
Iniezione   Piperacillin sodium / tazobactam 0,5/0,0625 mg/ml
4°C
168 Ora
Non precisata 4180
Livello di evidenza B
Cloruro di polivinile Dianéal® PD1 1.5% Glucosio (Baxter) 0,5 UI/ml
Iniezione   Heparin sodium   
Iniezione   Meropenem 0,5 mg/ml
4°C
168 Ora
Non precisata 4180
Livello di evidenza B
Cloruro di polivinile Dianéal® PD2 4.25% Glucosio (Baxter) 0,5 UI/ml
Iniezione   Heparin sodium   
Iniezione   Piperacillin sodium / tazobactam 0,5/0,0625 mg/ml
37°C
10 Ora
Non precisata 4180
Livello di evidenza B
Cloruro di polivinile Dianéal® PD2 4.25% Glucosio (Baxter) 0,5 UI/ml
Iniezione   Heparin sodium   
Iniezione   Meropenem 0,5 mg/ml
37°C
10 Ora
Non precisata 4180
Livello di evidenza B
Cloruro di polivinile Dianéal® PD2 4.25% Glucosio (Baxter) 0.5 UI/ml
Iniezione   Heparin sodium   
Iniezione   Ceftazidime 0.125 mg/ml
37°C
12 Ora
Non precisata 4056
Livello di evidenza B+
Cloruro di polivinile Dianéal® PD2 4.25% Glucosio (Baxter) 0.5 UI/ml
Iniezione   Heparin sodium   
Iniezione   Ceftazidime 0.125 mg/ml
4°C
120 Ora
Non precisata 4056
Livello di evidenza B+
Cloruro di polivinile Dianéal® PD2 4.25% Glucosio (Baxter) 0,5 UI/ml
Iniezione   Heparin sodium   
Iniezione   Piperacillin sodium / tazobactam 0,5/0,0625 mg/ml
4°C
168 Ora
Non precisata 4180
Livello di evidenza B
Cloruro di polivinile Dianéal® PD2 4.25% Glucosio (Baxter) 0,5 UI/ml
Iniezione   Heparin sodium   
Iniezione   Meropenem 0,5 mg/ml
4°C
168 Ora
Non precisata 4180
Livello di evidenza B
Cloruro di polivinile Dianéal® PD2 2.5% glucose (Baxter) 0,5 UI/ml
Iniezione   Heparin sodium   
Iniezione   Piperacillin sodium / tazobactam 0,5/0,0625 mg/ml
37°C
10 Ora
Non precisata 4180
Livello di evidenza B
Cloruro di polivinile Dianéal® PD2 2.5% glucose (Baxter) 0,5 UI/ml
Iniezione   Heparin sodium   
Iniezione   Meropenem 0,5 mg/ml
37°C
10 Ora
Non precisata 4180
Livello di evidenza B
Cloruro di polivinile Dianéal® PD2 2.5% glucose (Baxter) 0.5 UI/ml
Iniezione   Heparin sodium   
Iniezione   Ceftazidime 0.125 mg/ml
37°C
12 Ora
Non precisata 4056
Livello di evidenza B+
Cloruro di polivinile Dianéal® PD2 2.5% glucose (Baxter) 0.5 UI/ml
Iniezione   Heparin sodium   
Iniezione   Ceftazidime 0.125 mg/ml
4°C
120 Ora
Non precisata 4056
Livello di evidenza B+
Cloruro di polivinile Dianéal® PD2 2.5% glucose (Baxter) 0,5 UI/ml
Iniezione   Heparin sodium   
Iniezione   Piperacillin sodium / tazobactam 0,5/0,0625 mg/ml
4°C
168 Ora
Non precisata 4180
Livello di evidenza B
Cloruro di polivinile Dianéal® PD2 2.5% glucose (Baxter) 0,5 UI/ml
Iniezione   Heparin sodium   
Iniezione   Meropenem 0,5 mg/ml
4°C
168 Ora
Non precisata 4180
Livello di evidenza B
Cloruro di polivinile Extraneal® (Baxter) 0,5 UI/ml
Iniezione   Heparin sodium   
Iniezione   Piperacillin sodium / tazobactam 0,5/0,0625 mg/ml
37°C
10 Ora
Non precisata 4180
Livello di evidenza B
Cloruro di polivinile Extraneal® (Baxter) 0,5 UI/ml
Iniezione   Heparin sodium   
Iniezione   Meropenem 0,5 mg/ml
37°C
10 Ora
Non precisata 4180
Livello di evidenza B
Cloruro di polivinile Extraneal® (Baxter) 0.5 UI/ml
Iniezione   Heparin sodium   
Iniezione   Ceftazidime 0.125 mg/ml
37°C
12 Ora
Non precisata 4056
Livello di evidenza B+
Cloruro di polivinile Extraneal® (Baxter) 0.5 UI/ml
Iniezione   Heparin sodium   
Iniezione   Ceftazidime 0.125 mg/ml
4°C
120 Ora
Non precisata 4056
Livello di evidenza B+
Cloruro di polivinile Extraneal® (Baxter) 0,5 UI/ml
Iniezione   Heparin sodium   
Iniezione   Piperacillin sodium / tazobactam 0,5/0,0625 mg/ml
4°C
168 Ora
Non precisata 4180
Livello di evidenza B
Cloruro di polivinile Extraneal® (Baxter) 0,5 UI/ml
Iniezione   Heparin sodium   
Iniezione   Meropenem 0,5 mg/ml
4°C
168 Ora
Non precisata 4180
Livello di evidenza B
Cloruro di polivinile Physionéal® 1.36 (Baxter) 1,4 UI/ml
Iniezione   Heparin sodium   
Iniezione   Piperacillin sodium / tazobactam 1,38/0,172 mg/ml
37°C
10 Ora
Non precisata 4180
Livello di evidenza B
Cloruro di polivinile Physionéal® 1.36 (Baxter) 1,4 UI/ml
Iniezione   Heparin sodium   
Iniezione   Piperacillin sodium / tazobactam 1,38/0,172 mg/ml
4°C
168 Ora
Non precisata 4180
Livello di evidenza B
Cloruro di polivinile Physionéal® 2.27 (Baxter) 1,4 UI/ml
Iniezione   Heparin sodium   
Iniezione   Piperacillin sodium / tazobactam 1,38/0,172 mg/ml
37°C
10 Ora
Non precisata 4180
Livello di evidenza B
Cloruro di polivinile Physionéal® 2.27 (Baxter) 1,4 UI/ml
Iniezione   Heparin sodium   
Iniezione   Piperacillin sodium / tazobactam 1,38/0,172 mg/ml
4°C
168 Ora
Non precisata 4180
Livello di evidenza B
Cloruro di polivinile Physionéal® 3.86 (Baxter) 1,4 UI/ml
Iniezione   Heparin sodium   
Iniezione   Piperacillin sodium / tazobactam 1,38/0,172 mg/ml
37°C
10 Ora
Non precisata 4180
Livello di evidenza B
Cloruro di polivinile Physionéal® 3.86 (Baxter) 1,4 UI/ml
Iniezione   Heparin sodium   
Iniezione   Piperacillin sodium / tazobactam 1,38/0,172 mg/ml
4°C
168 Ora
Non precisata 4180
Livello di evidenza B
Polipropilene Cloruro di sodio 0,9% 5000 UI/ml
Iniezione   Heparin sodium   
Iniezione   Vancomycin hydrochloride 0,1 mg/ml
4°C
28 Giorno
Non precisata 3956
Analisi biologica
Polipropilene Cloruro di sodio 0,9% 5000 UI/ml
Iniezione   Heparin sodium   
Iniezione   Gentamicin sulfate 0,1 mg/ml
4°C
28 Giorno
Non precisata 3956
Analisi biologica
siringa polipropilene Cloruro di sodio 0,9% 100 UI/ml
Iniezione   Heparin sodium   
Iniezione   Vancomycin hydrochloride 0,025 mg/ml
4°C
14 Giorno
Al riparo dalla luce 895
Analisi biologica
siringa polipropilene Ringer lattato 100 UI/ml
Iniezione   Heparin sodium   
Iniezione   Daptomycin 5 mg/ml
-20°C
14 Giorno
Al riparo dalla luce 3665
Livello di evidenza B
siringa polipropilene Ringer lattato 100 UI/ml
Iniezione   Heparin sodium   
Iniezione   Daptomycin 5 mg/ml
4°C
14 Giorno
Non precisata 3665
Livello di evidenza B
siringa polipropilene Nessuno 960 UI/ml
Iniezione   Heparin sodium   
Iniezione   Fluorouracil 24 mg/ml
37°C
7 Giorno
Non precisata 163
Livello di evidenza B
siringa polipropilene Nessuno 960 UI/ml
Iniezione   Heparin sodium   
Iniezione   Fluorouracil 24 mg/ml
4°C
14 Giorno
Al riparo dalla luce 163
Livello di evidenza B
Non precisato Cloruro di sodio 0,9% 5000 UI/ml
Iniezione   Heparin sodium   
Iniezione   Daptomycin 19,6 mg/ml
22°C-28°C
2 Ora
Non precisata 1937
Livello di evidenza C+

  Mentions Légales