Zadnji put ažurirano :
18/03/2026
antikoagulant   Heparin sodium  
injekcija
Stabilizacija rješenja Stabilnost mješavine Stabilizacijski faktor Kompatibilnosti način davanja lijeka Bibliografija pdf
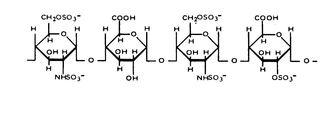
   Kemijska struktura  

Nekomercijalni   Nekomercijalni     

Zaštićeni nazivi su indikativni i sastav ekscipijensa može biti različit ovisno o državi i laboratorijima

Arapin Čile
Ateroclar Italija
Clarisco Italija
Epsoclar Italija
Hepaflex Finska, Norveška
Hepamax Čile, Ekvador, Kolumbija
Heparin Austrija, Danska, Finska, Grčka, Jugoslavija, Južna Afrika, Kanada, Madžarska, Nizozemska, Norveška, ruski, S A D, Švedska, Švicarska, Tajland, Turska, Velika Britanija
Heparine Belgija, Francuska
Heparinised Australija
Heparstad Njemačka
Liquemin Švicarska, Turska
Liquemine Brazil
Monoparin Saudijska Arabija
Normoparin Italija
Nuparin Ekvador
Pharepa Italija
Riveparin Argentina
Sobrius Argentina, Ekvador
Thrombophob Njemačka
Stabilnost mješavine   injekcija   Stabilnost mješavine : Heparin sodium     
Kontejner sredstvo za rastapanje koncentracija molekula temperatura Konzerviranje Trajanje stabilnosti Bibliografija
čaša natrijumkorid 0,9% 9,75 UI/ml
injekcija   Heparin sodium   
injekcija   Vancomycin hydrochloride 0,025 mg/ml
23°C
85 dan
nespecifičan 3958
Biološka metoda
čaša natrijumkorid 0,9% 50 UI/ml
injekcija   Heparin sodium   
injekcija   Magnesium sulfate 15,6 mg/ml
25°C
14 dan
svjetlost 2100
Biološka metoda
čaša natrijumkorid 0,9% 2500 UI/ml
injekcija   Heparin sodium   
injekcija   Telavancin hydrochloride 2 & 5 mg/ml
injekcija   Sodium citrate 22 & 40 mg/ml
37°C
72 sat
Zaštićeno od svjetlosti 3327
Razina dokaza D
čaša natrijumkorid 0,9% 2500 UI/ml
injekcija   Heparin sodium   
injekcija   Vancomycin hydrochloride 2 & 5 mg/ml
injekcija   Sodium citrate 22 & 40 mg/ml
37°C
72 sat
Zaštićeno od svjetlosti 3327
Razina dokaza D
čaša natrijumkorid 0,9% 100 UI/ml
injekcija   Heparin sodium   
injekcija   Vancomycin hydrochloride 0,025 mg/ml
4°C
63 dan
Zaštićeno od svjetlosti 1414
Biološka metoda
čaša natrijumkorid 0,9% 9,75 UI/ml
injekcija   Heparin sodium   
injekcija   Vancomycin hydrochloride 0,025 mg/ml
4°C
85 dan
nespecifičan 3958
Biološka metoda
čaša glukoza 5% 59 UI/ml
injekcija   Heparin sodium   
injekcija   Milrinone lactate 0,2 mg/ml
22°C-23°C
4 sat
svjetlost 813
Razina dokaza A
čaša glukoza 5% 20 UI/ml
injekcija   Heparin sodium   
injekcija   Dopamine hydrochloride 0,8 mg/ml
23°C-25°C
24 sat
svjetlost 738
OZNAKA
čaša glukoza 5% 50 UI/ml
injekcija   Heparin sodium   
injekcija   Palonosetron hydrochloride 25 µg/ml
25°C
4 sat
svjetlost 2279
Razina dokaza A+
čaša glukoza 5% 100 UI/ml
injekcija   Heparin sodium   
injekcija   Fluconazole 1 mg/ml
25°C
24 sat
svjetlost 257
Razina dokaza D
polivinilklorid natrijumkorid 0,9% 20 & 50 UI/ml
injekcija   Heparin sodium   
injekcija   Tirofiban 25 µg/ml
25°C
4 sat
svjetlost 1420
Razina dokaza C+
polivinilklorid glukoza 5% 50 UI/ml
injekcija   Heparin sodium   
injekcija   Flumazenil 0,02 mg/ml
23°C
24 sat
svjetlost 187
Razina dokaza A
polivinilklorid glukoza 5% 20 & 50 UI/ml
injekcija   Heparin sodium   
injekcija   Tirofiban 25 µg/ml
25°C
4 sat
svjetlost 1420
Razina dokaza C+
polivinilklorid Dianéal® PD1 1.5% glukoza (Baxter) 0,5 UI/ml
injekcija   Heparin sodium   
injekcija   Piperacillin sodium / tazobactam 0,5/0,0625 mg/ml
37°C
10 sat
nespecifičan 4180
Razina dokaza B
polivinilklorid Dianéal® PD1 1.5% glukoza (Baxter) 0,5 UI/ml
injekcija   Heparin sodium   
injekcija   Meropenem 0,5 mg/ml
37°C
10 sat
nespecifičan 4180
Razina dokaza B
polivinilklorid Dianéal® PD1 1.5% glukoza (Baxter) 0,5 UI/ml
injekcija   Heparin sodium   
injekcija   Piperacillin sodium / tazobactam 0,5/0,0625 mg/ml
4°C
168 sat
nespecifičan 4180
Razina dokaza B
polivinilklorid Dianéal® PD1 1.5% glukoza (Baxter) 0,5 UI/ml
injekcija   Heparin sodium   
injekcija   Meropenem 0,5 mg/ml
4°C
168 sat
nespecifičan 4180
Razina dokaza B
polivinilklorid Dianéal® PD2 4.25% glukoza (Baxter) 0,5 UI/ml
injekcija   Heparin sodium   
injekcija   Piperacillin sodium / tazobactam 0,5/0,0625 mg/ml
37°C
10 sat
nespecifičan 4180
Razina dokaza B
polivinilklorid Dianéal® PD2 4.25% glukoza (Baxter) 0,5 UI/ml
injekcija   Heparin sodium   
injekcija   Meropenem 0,5 mg/ml
37°C
10 sat
nespecifičan 4180
Razina dokaza B
polivinilklorid Dianéal® PD2 4.25% glukoza (Baxter) 0.5 UI/ml
injekcija   Heparin sodium   
injekcija   Ceftazidime 0.125 mg/ml
37°C
12 sat
nespecifičan 4056
Razina dokaza B+
polivinilklorid Dianéal® PD2 4.25% glukoza (Baxter) 0.5 UI/ml
injekcija   Heparin sodium   
injekcija   Ceftazidime 0.125 mg/ml
4°C
120 sat
nespecifičan 4056
Razina dokaza B+
polivinilklorid Dianéal® PD2 4.25% glukoza (Baxter) 0,5 UI/ml
injekcija   Heparin sodium   
injekcija   Piperacillin sodium / tazobactam 0,5/0,0625 mg/ml
4°C
168 sat
nespecifičan 4180
Razina dokaza B
polivinilklorid Dianéal® PD2 4.25% glukoza (Baxter) 0,5 UI/ml
injekcija   Heparin sodium   
injekcija   Meropenem 0,5 mg/ml
4°C
168 sat
nespecifičan 4180
Razina dokaza B
polivinilklorid Dianéal® PD2 2.5% glucose (Baxter) 0,5 UI/ml
injekcija   Heparin sodium   
injekcija   Piperacillin sodium / tazobactam 0,5/0,0625 mg/ml
37°C
10 sat
nespecifičan 4180
Razina dokaza B
polivinilklorid Dianéal® PD2 2.5% glucose (Baxter) 0,5 UI/ml
injekcija   Heparin sodium   
injekcija   Meropenem 0,5 mg/ml
37°C
10 sat
nespecifičan 4180
Razina dokaza B
polivinilklorid Dianéal® PD2 2.5% glucose (Baxter) 0.5 UI/ml
injekcija   Heparin sodium   
injekcija   Ceftazidime 0.125 mg/ml
37°C
12 sat
nespecifičan 4056
Razina dokaza B+
polivinilklorid Dianéal® PD2 2.5% glucose (Baxter) 0.5 UI/ml
injekcija   Heparin sodium   
injekcija   Ceftazidime 0.125 mg/ml
4°C
120 sat
nespecifičan 4056
Razina dokaza B+
polivinilklorid Dianéal® PD2 2.5% glucose (Baxter) 0,5 UI/ml
injekcija   Heparin sodium   
injekcija   Piperacillin sodium / tazobactam 0,5/0,0625 mg/ml
4°C
168 sat
nespecifičan 4180
Razina dokaza B
polivinilklorid Dianéal® PD2 2.5% glucose (Baxter) 0,5 UI/ml
injekcija   Heparin sodium   
injekcija   Meropenem 0,5 mg/ml
4°C
168 sat
nespecifičan 4180
Razina dokaza B
polivinilklorid Extraneal® (Baxter) 0,5 UI/ml
injekcija   Heparin sodium   
injekcija   Piperacillin sodium / tazobactam 0,5/0,0625 mg/ml
37°C
10 sat
nespecifičan 4180
Razina dokaza B
polivinilklorid Extraneal® (Baxter) 0,5 UI/ml
injekcija   Heparin sodium   
injekcija   Meropenem 0,5 mg/ml
37°C
10 sat
nespecifičan 4180
Razina dokaza B
polivinilklorid Extraneal® (Baxter) 0.5 UI/ml
injekcija   Heparin sodium   
injekcija   Ceftazidime 0.125 mg/ml
37°C
12 sat
nespecifičan 4056
Razina dokaza B+
polivinilklorid Extraneal® (Baxter) 0.5 UI/ml
injekcija   Heparin sodium   
injekcija   Ceftazidime 0.125 mg/ml
4°C
120 sat
nespecifičan 4056
Razina dokaza B+
polivinilklorid Extraneal® (Baxter) 0,5 UI/ml
injekcija   Heparin sodium   
injekcija   Piperacillin sodium / tazobactam 0,5/0,0625 mg/ml
4°C
168 sat
nespecifičan 4180
Razina dokaza B
polivinilklorid Extraneal® (Baxter) 0,5 UI/ml
injekcija   Heparin sodium   
injekcija   Meropenem 0,5 mg/ml
4°C
168 sat
nespecifičan 4180
Razina dokaza B
polivinilklorid Physionéal® 1.36 (Baxter) 1,4 UI/ml
injekcija   Heparin sodium   
injekcija   Piperacillin sodium / tazobactam 1,38/0,172 mg/ml
37°C
10 sat
nespecifičan 4180
Razina dokaza B
polivinilklorid Physionéal® 1.36 (Baxter) 1,4 UI/ml
injekcija   Heparin sodium   
injekcija   Piperacillin sodium / tazobactam 1,38/0,172 mg/ml
4°C
168 sat
nespecifičan 4180
Razina dokaza B
polivinilklorid Physionéal® 2.27 (Baxter) 1,4 UI/ml
injekcija   Heparin sodium   
injekcija   Piperacillin sodium / tazobactam 1,38/0,172 mg/ml
37°C
10 sat
nespecifičan 4180
Razina dokaza B
polivinilklorid Physionéal® 2.27 (Baxter) 1,4 UI/ml
injekcija   Heparin sodium   
injekcija   Piperacillin sodium / tazobactam 1,38/0,172 mg/ml
4°C
168 sat
nespecifičan 4180
Razina dokaza B
polivinilklorid Physionéal® 3.86 (Baxter) 1,4 UI/ml
injekcija   Heparin sodium   
injekcija   Piperacillin sodium / tazobactam 1,38/0,172 mg/ml
37°C
10 sat
nespecifičan 4180
Razina dokaza B
polivinilklorid Physionéal® 3.86 (Baxter) 1,4 UI/ml
injekcija   Heparin sodium   
injekcija   Piperacillin sodium / tazobactam 1,38/0,172 mg/ml
4°C
168 sat
nespecifičan 4180
Razina dokaza B
polipropilen natrijumkorid 0,9% 5000 UI/ml
injekcija   Heparin sodium   
injekcija   Vancomycin hydrochloride 0,1 mg/ml
4°C
28 dan
nespecifičan 3956
Biološka metoda
polipropilen natrijumkorid 0,9% 5000 UI/ml
injekcija   Heparin sodium   
injekcija   Gentamicin sulfate 0,1 mg/ml
4°C
28 dan
nespecifičan 3956
Biološka metoda
špric polipropilen natrijumkorid 0,9% 100 UI/ml
injekcija   Heparin sodium   
injekcija   Vancomycin hydrochloride 0,025 mg/ml
4°C
14 dan
Zaštićeno od svjetlosti 895
Biološka metoda
špric polipropilen Ringer laktat 100 UI/ml
injekcija   Heparin sodium   
injekcija   Daptomycin 5 mg/ml
-20°C
14 dan
Zaštićeno od svjetlosti 3665
Razina dokaza B
špric polipropilen Ringer laktat 100 UI/ml
injekcija   Heparin sodium   
injekcija   Daptomycin 5 mg/ml
4°C
14 dan
nespecifičan 3665
Razina dokaza B
špric polipropilen nijedan 960 UI/ml
injekcija   Heparin sodium   
injekcija   Fluorouracil 24 mg/ml
37°C
7 dan
nespecifičan 163
Razina dokaza B
špric polipropilen nijedan 960 UI/ml
injekcija   Heparin sodium   
injekcija   Fluorouracil 24 mg/ml
4°C
14 dan
Zaštićeno od svjetlosti 163
Razina dokaza B
nespecifičan natrijumkorid 0,9% 5000 UI/ml
injekcija   Heparin sodium   
injekcija   Daptomycin 19,6 mg/ml
22°C-28°C
2 sat
nespecifičan 1937
Razina dokaza C+

  Mentions Légales