Pēdējā atjaunošana :
27/11/2025
Antikoagulants   Heparin sodium  
Injekcija
Šķīduma stabilitāte Maisījuma stabilitāte Stabilitāti ietekmējoši faktori Saderība Levadīšanas veids Literatūras saraksts pdf
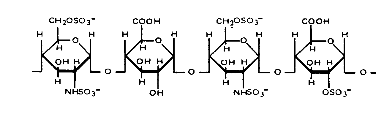
   Ķīmiskā uzbūve   

Oriģinālais nosaukums   Oriģinālais nosaukums     

Tirdzniecības nosaukumi ir apzīmējoši un palīgvielas var atšķirties dažādām valstīm un laboratorijām

Arapin Čīle
Ateroclar Itālija
Clarisco Itālija
Epsoclar Itālija
Hepaflex Norvēģija, Somija
Hepamax Čīle, Ekvadora, Kolumbija
Heparin Amerikas Savienotās Valstis, Austrija, Dānija, Dienvidāfrikas Republika, Dienvidslāvija, Grieķija, Holande, Kanāda, krievu, Lielbritānija, Norvēģija, Somija, Šveice, Taizeme, Turcija, Ungārija, Zviedrija
Heparine Beļģija, Francija
Heparinised Austrālija
Heparstad Vācija
Liquemin Šveice, Turcija
Liquemine Brazīlija
Monoparin Saūda Arābija
Normoparin Itālija
Nuparin Ekvadora
Pharepa Itālija
Riveparin Argentīna
Sobrius Argentīna, Ekvadora
Thrombophob Vācija
Maisījuma stabilitāte   Injekcija   Maisījuma stabilitāte : Heparin sodium     
Iepakojums Šķīdinātājs Koncentrācija Savienojums Temperatūra Glabāšana Stabilitātes ilgums Literatūras saraksts
Stikls Nātrija hlorīds 0.9% 9,75 UI/ml
Injekcija   Heparin sodium   
Injekcija   Vancomycin hydrochloride 0,025 mg/ml
23°C
85 Diena
Nav specifisks 3958
Bioloģiskā metode
Stikls Nātrija hlorīds 0.9% 50 UI/ml
Injekcija   Heparin sodium   
Injekcija   Magnesium sulfate 15,6 mg/ml
25°C
14 Diena
Gaisma 2100
Bioloģiskā metode
Stikls Nātrija hlorīds 0.9% 2500 UI/ml
Injekcija   Heparin sodium   
Injekcija   Telavancin hydrochloride 2 & 5 mg/ml
Injekcija   Sodium citrate 22 & 40 mg/ml
37°C
72 Stunda
Aizsargāt no gaismas 3327
Pierādījumu līmenis D
Stikls Nātrija hlorīds 0.9% 2500 UI/ml
Injekcija   Heparin sodium   
Injekcija   Vancomycin hydrochloride 2 & 5 mg/ml
Injekcija   Sodium citrate 22 & 40 mg/ml
37°C
72 Stunda
Aizsargāt no gaismas 3327
Pierādījumu līmenis D
Stikls Nātrija hlorīds 0.9% 100 UI/ml
Injekcija   Heparin sodium   
Injekcija   Vancomycin hydrochloride 0,025 mg/ml
4°C
63 Diena
Aizsargāt no gaismas 1414
Bioloģiskā metode
Stikls Nātrija hlorīds 0.9% 9,75 UI/ml
Injekcija   Heparin sodium   
Injekcija   Vancomycin hydrochloride 0,025 mg/ml
4°C
85 Diena
Nav specifisks 3958
Bioloģiskā metode
Stikls 5% glikoze 59 UI/ml
Injekcija   Heparin sodium   
Injekcija   Milrinone lactate 0,2 mg/ml
22°C-23°C
4 Stunda
Gaisma 813
Pierādījumu līmenis A
Stikls 5% glikoze 20 UI/ml
Injekcija   Heparin sodium   
Injekcija   Dopamine hydrochloride 0,8 mg/ml
23°C-25°C
24 Stunda
Gaisma 738
\
Stikls 5% glikoze 50 UI/ml
Injekcija   Heparin sodium   
Injekcija   Palonosetron hydrochloride 25 µg/ml
25°C
4 Stunda
Gaisma 2279
Pierādījumu līmenis A+
Stikls 5% glikoze 100 UI/ml
Injekcija   Heparin sodium   
Injekcija   Fluconazole 1 mg/ml
25°C
24 Stunda
Gaisma 257
Pierādījumu līmenis D
Polivinilhlorīds 0.9% NaCl vai 5% glikoze 20 & 50 UI/ml
Injekcija   Heparin sodium   
Injekcija   Tirofiban 25 µg/ml
25°C
4 Stunda
Gaisma 1420
Pierādījumu līmenis C+
Polivinilhlorīds 5% glikoze 50 UI/ml
Injekcija   Heparin sodium   
Injekcija   Flumazenil 0,02 mg/ml
23°C
24 Stunda
Gaisma 187
Pierādījumu līmenis A
Polivinilhlorīds Dianéal® PD1 1.5% glikoze (Baxter) 0,5 UI/ml
Injekcija   Heparin sodium   
Injekcija   Piperacillin sodium / tazobactam 0,5/0,0625 mg/ml
37°C
10 Stunda
Nav specifisks 4180
Pierādījumu līmenis B
Polivinilhlorīds Dianéal® PD1 1.5% glikoze (Baxter) 0,5 UI/ml
Injekcija   Heparin sodium   
Injekcija   Meropenem 0,5 mg/ml
37°C
10 Stunda
Nav specifisks 4180
Pierādījumu līmenis B
Polivinilhlorīds Dianéal® PD1 1.5% glikoze (Baxter) 0,5 UI/ml
Injekcija   Heparin sodium   
Injekcija   Piperacillin sodium / tazobactam 0,5/0,0625 mg/ml
4°C
168 Stunda
Nav specifisks 4180
Pierādījumu līmenis B
Polivinilhlorīds Dianéal® PD1 1.5% glikoze (Baxter) 0,5 UI/ml
Injekcija   Heparin sodium   
Injekcija   Meropenem 0,5 mg/ml
4°C
168 Stunda
Nav specifisks 4180
Pierādījumu līmenis B
Polivinilhlorīds Dianéal® PD2 4.25% glikoze (Baxter) 0,5 UI/ml
Injekcija   Heparin sodium   
Injekcija   Piperacillin sodium / tazobactam 0,5/0,0625 mg/ml
37°C
10 Stunda
Nav specifisks 4180
Pierādījumu līmenis B
Polivinilhlorīds Dianéal® PD2 4.25% glikoze (Baxter) 0,5 UI/ml
Injekcija   Heparin sodium   
Injekcija   Meropenem 0,5 mg/ml
37°C
10 Stunda
Nav specifisks 4180
Pierādījumu līmenis B
Polivinilhlorīds Dianéal® PD2 4.25% glikoze (Baxter) 0.5 UI/ml
Injekcija   Heparin sodium   
Injekcija   Ceftazidime 0.125 mg/ml
37°C
12 Stunda
Nav specifisks 4056
Pierādījumu līmenis B+
Polivinilhlorīds Dianéal® PD2 4.25% glikoze (Baxter) 0.5 UI/ml
Injekcija   Heparin sodium   
Injekcija   Ceftazidime 0.125 mg/ml
4°C
120 Stunda
Nav specifisks 4056
Pierādījumu līmenis B+
Polivinilhlorīds Dianéal® PD2 4.25% glikoze (Baxter) 0,5 UI/ml
Injekcija   Heparin sodium   
Injekcija   Piperacillin sodium / tazobactam 0,5/0,0625 mg/ml
4°C
168 Stunda
Nav specifisks 4180
Pierādījumu līmenis B
Polivinilhlorīds Dianéal® PD2 4.25% glikoze (Baxter) 0,5 UI/ml
Injekcija   Heparin sodium   
Injekcija   Meropenem 0,5 mg/ml
4°C
168 Stunda
Nav specifisks 4180
Pierādījumu līmenis B
Polivinilhlorīds Dianéal® PD2 2.5% glucose (Baxter) 0,5 UI/ml
Injekcija   Heparin sodium   
Injekcija   Piperacillin sodium / tazobactam 0,5/0,0625 mg/ml
37°C
10 Stunda
Nav specifisks 4180
Pierādījumu līmenis B
Polivinilhlorīds Dianéal® PD2 2.5% glucose (Baxter) 0,5 UI/ml
Injekcija   Heparin sodium   
Injekcija   Meropenem 0,5 mg/ml
37°C
10 Stunda
Nav specifisks 4180
Pierādījumu līmenis B
Polivinilhlorīds Dianéal® PD2 2.5% glucose (Baxter) 0.5 UI/ml
Injekcija   Heparin sodium   
Injekcija   Ceftazidime 0.125 mg/ml
37°C
12 Stunda
Nav specifisks 4056
Pierādījumu līmenis B+
Polivinilhlorīds Dianéal® PD2 2.5% glucose (Baxter) 0.5 UI/ml
Injekcija   Heparin sodium   
Injekcija   Ceftazidime 0.125 mg/ml
4°C
120 Stunda
Nav specifisks 4056
Pierādījumu līmenis B+
Polivinilhlorīds Dianéal® PD2 2.5% glucose (Baxter) 0,5 UI/ml
Injekcija   Heparin sodium   
Injekcija   Piperacillin sodium / tazobactam 0,5/0,0625 mg/ml
4°C
168 Stunda
Nav specifisks 4180
Pierādījumu līmenis B
Polivinilhlorīds Dianéal® PD2 2.5% glucose (Baxter) 0,5 UI/ml
Injekcija   Heparin sodium   
Injekcija   Meropenem 0,5 mg/ml
4°C
168 Stunda
Nav specifisks 4180
Pierādījumu līmenis B
Polivinilhlorīds Extraneal® (Baxter) 0,5 UI/ml
Injekcija   Heparin sodium   
Injekcija   Piperacillin sodium / tazobactam 0,5/0,0625 mg/ml
37°C
10 Stunda
Nav specifisks 4180
Pierādījumu līmenis B
Polivinilhlorīds Extraneal® (Baxter) 0,5 UI/ml
Injekcija   Heparin sodium   
Injekcija   Meropenem 0,5 mg/ml
37°C
10 Stunda
Nav specifisks 4180
Pierādījumu līmenis B
Polivinilhlorīds Extraneal® (Baxter) 0.5 UI/ml
Injekcija   Heparin sodium   
Injekcija   Ceftazidime 0.125 mg/ml
37°C
12 Stunda
Nav specifisks 4056
Pierādījumu līmenis B+
Polivinilhlorīds Extraneal® (Baxter) 0.5 UI/ml
Injekcija   Heparin sodium   
Injekcija   Ceftazidime 0.125 mg/ml
4°C
120 Stunda
Nav specifisks 4056
Pierādījumu līmenis B+
Polivinilhlorīds Extraneal® (Baxter) 0,5 UI/ml
Injekcija   Heparin sodium   
Injekcija   Piperacillin sodium / tazobactam 0,5/0,0625 mg/ml
4°C
168 Stunda
Nav specifisks 4180
Pierādījumu līmenis B
Polivinilhlorīds Extraneal® (Baxter) 0,5 UI/ml
Injekcija   Heparin sodium   
Injekcija   Meropenem 0,5 mg/ml
4°C
168 Stunda
Nav specifisks 4180
Pierādījumu līmenis B
Polivinilhlorīds Physionéal® 1.36 (Baxter) 1,4 UI/ml
Injekcija   Heparin sodium   
Injekcija   Piperacillin sodium / tazobactam 1,38/0,172 mg/ml
37°C
10 Stunda
Nav specifisks 4180
Pierādījumu līmenis B
Polivinilhlorīds Physionéal® 1.36 (Baxter) 1,4 UI/ml
Injekcija   Heparin sodium   
Injekcija   Piperacillin sodium / tazobactam 1,38/0,172 mg/ml
4°C
168 Stunda
Nav specifisks 4180
Pierādījumu līmenis B
Polivinilhlorīds Physionéal® 2.27 (Baxter) 1,4 UI/ml
Injekcija   Heparin sodium   
Injekcija   Piperacillin sodium / tazobactam 1,38/0,172 mg/ml
37°C
10 Stunda
Nav specifisks 4180
Pierādījumu līmenis B
Polivinilhlorīds Physionéal® 2.27 (Baxter) 1,4 UI/ml
Injekcija   Heparin sodium   
Injekcija   Piperacillin sodium / tazobactam 1,38/0,172 mg/ml
4°C
168 Stunda
Nav specifisks 4180
Pierādījumu līmenis B
Polivinilhlorīds Physionéal® 3.86 (Baxter) 1,4 UI/ml
Injekcija   Heparin sodium   
Injekcija   Piperacillin sodium / tazobactam 1,38/0,172 mg/ml
37°C
10 Stunda
Nav specifisks 4180
Pierādījumu līmenis B
Polivinilhlorīds Physionéal® 3.86 (Baxter) 1,4 UI/ml
Injekcija   Heparin sodium   
Injekcija   Piperacillin sodium / tazobactam 1,38/0,172 mg/ml
4°C
168 Stunda
Nav specifisks 4180
Pierādījumu līmenis B
Polipropilēns Nātrija hlorīds 0.9% 5000 UI/ml
Injekcija   Heparin sodium   
Injekcija   Vancomycin hydrochloride 0,1 mg/ml
4°C
28 Diena
Nav specifisks 3956
Bioloģiskā metode
Polipropilēns Nātrija hlorīds 0.9% 5000 UI/ml
Injekcija   Heparin sodium   
Injekcija   Gentamicin sulfate 0,1 mg/ml
4°C
28 Diena
Nav specifisks 3956
Bioloģiskā metode
Šļirce polipropilēna Nātrija hlorīds 0.9% 100 UI/ml
Injekcija   Heparin sodium   
Injekcija   Vancomycin hydrochloride 0,025 mg/ml
4°C
14 Diena
Aizsargāt no gaismas 895
Bioloģiskā metode
Šļirce polipropilēna Ringera laktāta šķīdums 100 UI/ml
Injekcija   Heparin sodium   
Injekcija   Daptomycin 5 mg/ml
-20°C
14 Diena
Aizsargāt no gaismas 3665
Pierādījumu līmenis B
Šļirce polipropilēna Ringera laktāta šķīdums 100 UI/ml
Injekcija   Heparin sodium   
Injekcija   Daptomycin 5 mg/ml
4°C
14 Diena
Nav specifisks 3665
Pierādījumu līmenis B
Šļirce polipropilēna Nekāds 960 UI/ml
Injekcija   Heparin sodium   
Injekcija   Fluorouracil 24 mg/ml
37°C
7 Diena
Nav specifisks 163
Pierādījumu līmenis B
Šļirce polipropilēna Nekāds 960 UI/ml
Injekcija   Heparin sodium   
Injekcija   Fluorouracil 24 mg/ml
4°C
14 Diena
Aizsargāt no gaismas 163
Pierādījumu līmenis B
Nespecifisks Nātrija hlorīds 0.9% 5000 UI/ml
Injekcija   Heparin sodium   
Injekcija   Daptomycin 19,6 mg/ml
22°C-28°C
2 Stunda
Nav specifisks 1937
Pierādījumu līmenis C+

  Mentions Légales