Dernière mise à jour :
05/12/2025
Antibiotique   Flucloxacillin sodium  
injectable
Stabilité des solutions Stabilité en mélange Facteur influençant la stabilité Compatibilités Voie d’administration Bibliographie pdf
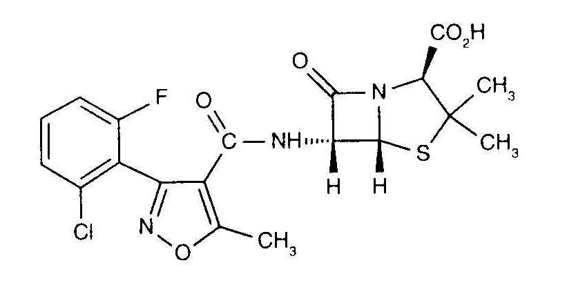
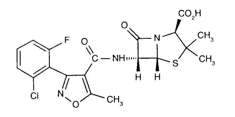
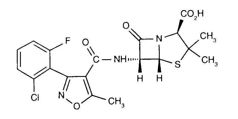
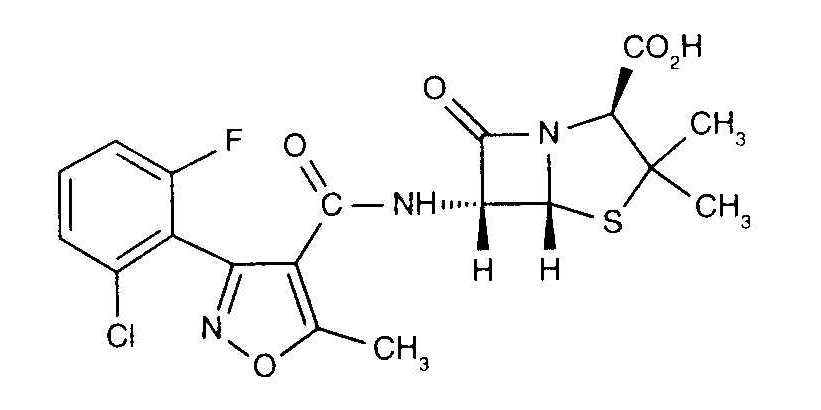
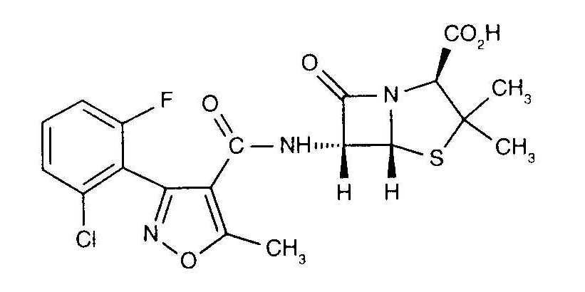
   Structure chimique  

Noms commerciaux   Noms commerciaux     

Les noms commerciaux sont donnés à titre indicatif et la composition en excipients peut être différente selon les pays et selon les laboratoires

Astaph Maroc
Betabiotic Italie
DBL flucloxacillin sodium Australie
Flix Turquie
Floxam Maroc
Floxapen Arabie Saoudite, Autriche, Belgique, Etats Unis d’Amérique, Italie, Maroc, Pays bas, Pologne, Portugal, Suisse
Flucloxacillin Allemagne, Australie, Grande Bretagne, Italie
Flucloxacilline Belgique, France, Pays bas
Flucloxin Nouvelle Zélande
Ladropen Etats Unis d’Amérique
Stafoxil Pays bas
Staphylex Allemagne
Compatibilités   injectable   Compatibilités : Flucloxacillin sodium              
Cet écran indique les compatibilités ou incompatibilités avec, dans ce cas, le type d'incompatibilité (précipitation, changement de couleur, modification d'une émulsion, etc.). Les compatibilités présentées ici sont pour la plupart uniquement physiques, la stabilité chimique de chaque molécule étant rarement évaluée. L'évaluation de ces mélanges a été étudiée pour envisager la possibilité d'une administration en site Y au patient. Ces données ne peuvent pas être utilisées pour préparer des mélanges à l'avance dans des poches de perfusion ou des seringues. Ce type d'informations est disponible dans l'écran « Stabilité en mélange ».
Molécule Solvant Bibliographie
Précipitation immédiate Incompatible
injectable Flucloxacillin sodium
injectable Amikacin sulfate
3522
Compatible
injectable Flucloxacillin sodium 20 mg/ml
injectable Aminophylline 1 mg/ml
Chlorure de sodium 0,9% 1232
Précipitation immédiate Incompatible
injectable Flucloxacillin sodium 20 mg/ml
injectable Amiodarone hydrochloride 4 mg/ml
Glucose 5% 1232
Compatible
injectable Flucloxacillin sodium 20 mg/ml
injectable Ampicillin sodium 20 mg/ml
Chlorure de sodium 0,9% 1232
Compatible
injectable Flucloxacillin sodium 20 mg/ml
injectable Bumetanide 0,006 mg/ml
Chlorure de sodium 0,9% 1232
Compatible
injectable Flucloxacillin sodium 50 mg/ml
injectable Caffeine 10 mg/ml
Glucose 5% 4837
Compatible
injectable Flucloxacillin sodium 50 mg/ml
injectable Caffeine citrate 20 mg/ml
Glucose 5% 4837
Précipitation immédiate Incompatible
injectable Flucloxacillin sodium 20 mg/ml
injectable Calcium gluconate 2 mg/ml
Chlorure de sodium 0,9% 1232
Compatible
injectable Flucloxacillin sodium 40 >> 240 mg/ml
injectable Ceftazidime 40 >> 180 mg/ml
Chlorure de sodium 0,9% 3091
Compatible
injectable Flucloxacillin sodium 20 mg/ml
injectable Cefuroxime sodium 37,5 mg/ml
Eau pour préparation injectable 1232
Précipitation immédiate Incompatible
injectable Flucloxacillin sodium 20 mg/ml
injectable Chlorpromazine hydrochloride 5 mg/ml
Eau pour préparation injectable 1232
Compatible
injectable Flucloxacillin sodium 20 mg/ml
injectable Cimetidine hydrochloride 4 mg/ml
Chlorure de sodium 0,9% 1232
Incompatibilité non précisée Incompatible
injectable Flucloxacillin sodium
injectable Ciprofloxacin lactate
3529
Compatible
injectable Flucloxacillin sodium
Chlorure de sodium 0,9% 3522
Compatible
injectable Flucloxacillin sodium
Glucose 5% 3522
Incompatibilité non précisée Incompatible
injectable Flucloxacillin sodium
Nutrition parentérale (mélange ternaire) 3522
Précipitation immédiate Incompatible
injectable Flucloxacillin sodium 10 mg/ml
injectable Ciprofloxacin lactate 2 mg/ml
Aucun 1357
Incompatibilité non précisée Incompatible
injectable Flucloxacillin sodium
Nutrition parentérale (mélange binaire) 3522
Compatible
injectable Flucloxacillin sodium 20 mg/ml
injectable Dexamethasone sodium phosphate 4 mg/ml
Chlorure de sodium 0,9% 1232
Compatible
injectable Flucloxacillin sodium 20 mg/ml
injectable Digoxin 25 µg/ml
Chlorure de sodium 0,9% 1232
Compatible
injectable Flucloxacillin sodium 50 mg/ml
Nutrition parentérale (mélange binaire) 939
Turbidité immédiate Incompatible
injectable Flucloxacillin sodium 20 mg/ml
injectable Dobutamine hydrochloride 0.5 mg/ml
Chlorure de sodium 0,9% 1232
Compatible
injectable Flucloxacillin sodium 20 mg/ml
injectable Epinephrine hydrochloride 8 µg/ml
Eau pour préparation injectable 1232
Précipitation immédiate Incompatible
injectable Flucloxacillin sodium 20 mg/ml
injectable Erythromycin lactobionate 5 mg/ml
Chlorure de sodium 0,9% 1232
Incompatibilité non précisée Incompatible
injectable Flucloxacillin sodium
injectable Erythromycin lactobionate
3674
Compatible
injectable Flucloxacillin sodium 20 mg/ml
injectable Furosemide 1 mg/ml
Chlorure de sodium 0,9% 1232
Précipitation immédiate Incompatible
injectable Flucloxacillin sodium
injectable Gentamicin sulfate
3522
Incompatibilité non précisée Incompatible
injectable Flucloxacillin sodium
injectable Gentamicin sulfate
3643
Compatible
injectable Flucloxacillin sodium 20 mg/ml
injectable Hydrocortisone sodium succinate 50 mg/ml
Chlorure de sodium 0,9% 1232
Précipitation immédiate Incompatible
injectable Flucloxacillin sodium
injectable Kanamycin sulfate
3522
Compatible
injectable Flucloxacillin sodium 20 mg/ml
injectable Lidocaine hydrochloride 2 mg/ml
Chlorure de sodium 0,9% 1232
Turbidité en 4 heures Incompatible
injectable Flucloxacillin sodium 50 mg/ml
injectable Lorazepam 0.33 mg/ml
Chlorure de sodium 0,9% 186
Précipitation immédiate Incompatible
injectable Flucloxacillin sodium 20 mg/ml
injectable Metoclopramide hydrochloride 1 mg/ml
Chlorure de sodium 0,9% 1232
Précipitation immédiate Incompatible
injectable Flucloxacillin sodium 50 mg/ml
injectable Midazolam hydrochloride 5 mg/ml
Aucun 186
Précipitation immédiate Incompatible
injectable Flucloxacillin sodium
injectable Netilmicin sulfate
3522
Précipitation en 7 heures Incompatible
injectable Flucloxacillin sodium 10 mg/ml
injectable Ofloxacin 2 mg/ml
Aucun 889
Incompatibilité non précisée Incompatible
injectable Flucloxacillin sodium
injectable Penicillin G sodium
3585
Compatible
injectable Flucloxacillin sodium 50 mg/ml
injectable Pentoxifyllin 5 mg/ml
Glucose 5% 4538
Turbidité immédiate Incompatible
injectable Flucloxacillin sodium 20 mg/ml
injectable Pethidine hydrochloride 5 mg/ml
Eau pour préparation injectable 1232
Compatible
injectable Flucloxacillin sodium 20 mg/ml
injectable Potassium chloride 40 mEq/l
Eau pour préparation injectable 1232
Précipitation immédiate Incompatible
injectable Flucloxacillin sodium 20 mg/ml
injectable Prochlorperazine edysilate 1.25 mg/ml
Eau pour préparation injectable 1232
Précipitation immédiate Incompatible
injectable Flucloxacillin sodium 20 mg/ml
injectable Promethazine hydrochloride 5 mg/ml
Eau pour préparation injectable 1232
Compatible
injectable Flucloxacillin sodium 20 mg/ml
injectable Ranitidine hydrochloride 0,5 mg/ml
Chlorure de sodium 0,9% 1232
Turbidité immédiate Incompatible
injectable Flucloxacillin sodium
injectable Sildenafil citrate 0,6 mg/ml
Glucose 5% 4845
Instabilité chimique Incompatible
injectable Flucloxacillin sodium 50 mg/ml
injectable Sildenafil citrate 0,6 mg/ml
Glucose 5% 4845
Compatible
injectable Flucloxacillin sodium 20 mg/ml
injectable Sodium bicarbonate 84 mg/ml
1232
Compatible
injectable Flucloxacillin sodium 250 mg/ml
injectable Temocilline 83.33 mg/ml
Eau pour préparation injectable 2231
Précipitation immédiate Incompatible
injectable Flucloxacillin sodium
injectable Tobramycin sulfate
3522
Précipitation en 7 heures Incompatible
injectable Flucloxacillin sodium 20 mg/ml
injectable Tobramycin sulfate 8 mg/ml
Chlorure de sodium 0,9% 1232
Incompatibilité non précisée Incompatible
injectable Flucloxacillin sodium 250 mg/ml
injectable Vancomycin hydrochloride 10 mg/ml
Glucose 5% 3385

  Mentions Légales