Pēdējā atjaunošana :
18/03/2026
Antibiotika   Flucloxacillin sodium  
Injekcija
Šķīduma stabilitāte Maisījuma stabilitāte Stabilitāti ietekmējoši faktori Saderība Levadīšanas veids Literatūras saraksts pdf
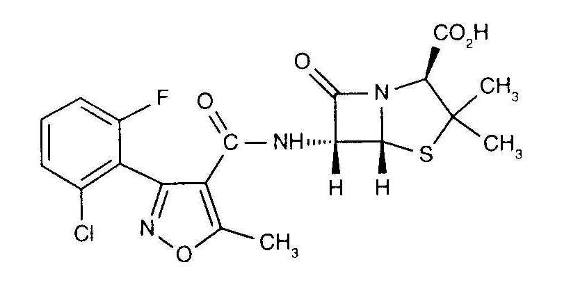
   Ķīmiskā uzbūve   

Oriģinālais nosaukums   Oriģinālais nosaukums     

Tirdzniecības nosaukumi ir apzīmējoši un palīgvielas var atšķirties dažādām valstīm un laboratorijām

Astaph Maroka
Betabiotic Itālija
DBL flucloxacillin sodium Austrālija
Flix Turcija
Floxam Maroka
Floxapen Amerikas Savienotās Valstis, Austrija, Beļģija, Holande, Itālija, Maroka, Polija, Portugāle, Saūda Arābija, Šveice
Flucloxacillin Austrālija, Itālija, Lielbritānija, Vācija
Flucloxacilline Beļģija, Francija, Holande
Flucloxin Jaunzēlande
Ladropen Amerikas Savienotās Valstis
Stafoxil Holande
Staphylex Vācija
Saderība   Injekcija   Saderība : Flucloxacillin sodium              
Šī tabula parāda zāļu saderību vai nesaderību, pēc iespējas arī nesaderības tipu (precipitācija, krāsas maiņa, emulsijas sadalīšanās utt). Parādītas šeit saderības ir pārsvarā tikai fizikālās, pēc iespējas tiek parādīta ķīmiskā stabilitāte katrai molekulai. Šo maisījumu analīze tikai veikta, lai izprastu iespējamību ievadīt zāles Y-savienojuma vietā sistēmā pacientam. Šie dati nevar tikt izmantoti, lai pagatavot zāļu maisījumus vēlākai lietošanai maisos vai šļircēs. Šī informācija ir pieejama sadaļā "Maisījuma stabilitāte".
Savienojums Šķīdinātājs Literatūras saraksts
Tūlītēji nokrišņi Nesavienojams
Injekcija Flucloxacillin sodium
Injekcija Amikacin sulfate
3522
Savietojams
Injekcija Flucloxacillin sodium 20 mg/ml
Injekcija Aminophylline 1 mg/ml
Nātrija hlorīds 0.9% 1232
Tūlītēji nokrišņi Nesavienojams
Injekcija Flucloxacillin sodium 20 mg/ml
Injekcija Amiodarone hydrochloride 4 mg/ml
5% glikoze 1232
Savietojams
Injekcija Flucloxacillin sodium 20 mg/ml
Injekcija Ampicillin sodium 20 mg/ml
Nātrija hlorīds 0.9% 1232
Savietojams
Injekcija Flucloxacillin sodium 20 mg/ml
Injekcija Bumetanide 0,006 mg/ml
Nātrija hlorīds 0.9% 1232
Savietojams
Injekcija Flucloxacillin sodium 50 mg/ml
Injekcija Caffeine 10 mg/ml
5% glikoze 4837
Savietojams
Injekcija Flucloxacillin sodium 50 mg/ml
Injekcija Caffeine citrate 20 mg/ml
5% glikoze 4837
Tūlītēji nokrišņi Nesavienojams
Injekcija Flucloxacillin sodium 20 mg/ml
Injekcija Calcium gluconate 2 mg/ml
Nātrija hlorīds 0.9% 1232
Savietojams
Injekcija Flucloxacillin sodium 40 >> 240 mg/ml
Injekcija Ceftazidime 40 >> 180 mg/ml
Nātrija hlorīds 0.9% 3091
Savietojams
Injekcija Flucloxacillin sodium 20 mg/ml
Injekcija Cefuroxime sodium 37,5 mg/ml
Ūdens injekcijām 1232
Tūlītēji nokrišņi Nesavienojams
Injekcija Flucloxacillin sodium 20 mg/ml
Injekcija Chlorpromazine hydrochloride 5 mg/ml
Ūdens injekcijām 1232
Savietojams
Injekcija Flucloxacillin sodium 20 mg/ml
Injekcija Cimetidine hydrochloride 4 mg/ml
Nātrija hlorīds 0.9% 1232
Neprecizēta nesaderība Nesavienojams
Injekcija Flucloxacillin sodium
Injekcija Ciprofloxacin lactate
3529
Savietojams
Injekcija Flucloxacillin sodium
Nātrija hlorīds 0.9% 3522
Savietojams
Injekcija Flucloxacillin sodium
5% glikoze 3522
Neprecizēta nesaderība Nesavienojams
Injekcija Flucloxacillin sodium
Parenterāla barošana (ar lipīdiem) 3522
Tūlītēji nokrišņi Nesavienojams
Injekcija Flucloxacillin sodium 10 mg/ml
Injekcija Ciprofloxacin lactate 2 mg/ml
Nekāds 1357
Neprecizēta nesaderība Nesavienojams
Injekcija Flucloxacillin sodium
Parenterāla barošana (lipīdu-free) 3522
Savietojams
Injekcija Flucloxacillin sodium 20 mg/ml
Injekcija Dexamethasone sodium phosphate 4 mg/ml
Nātrija hlorīds 0.9% 1232
Savietojams
Injekcija Flucloxacillin sodium 20 mg/ml
Injekcija Digoxin 25 µg/ml
Nātrija hlorīds 0.9% 1232
Savietojams
Injekcija Flucloxacillin sodium 50 mg/ml
Parenterāla barošana (lipīdu-free) 939
Tūlītēja duļķainība Nesavienojams
Injekcija Flucloxacillin sodium 20 mg/ml
Injekcija Dobutamine hydrochloride 0.5 mg/ml
Nātrija hlorīds 0.9% 1232
Savietojams
Injekcija Flucloxacillin sodium 20 mg/ml
Injekcija Epinephrine hydrochloride 8 µg/ml
Ūdens injekcijām 1232
Tūlītēji nokrišņi Nesavienojams
Injekcija Flucloxacillin sodium 20 mg/ml
Injekcija Erythromycin lactobionate 5 mg/ml
Nātrija hlorīds 0.9% 1232
Neprecizēta nesaderība Nesavienojams
Injekcija Flucloxacillin sodium
Injekcija Erythromycin lactobionate
3674
Savietojams
Injekcija Flucloxacillin sodium 20 mg/ml
Injekcija Furosemide 1 mg/ml
Nātrija hlorīds 0.9% 1232
Tūlītēji nokrišņi Nesavienojams
Injekcija Flucloxacillin sodium
Injekcija Gentamicin sulfate
3522
Neprecizēta nesaderība Nesavienojams
Injekcija Flucloxacillin sodium
Injekcija Gentamicin sulfate
3643
Savietojams
Injekcija Flucloxacillin sodium 20 mg/ml
Injekcija Hydrocortisone sodium succinate 50 mg/ml
Nātrija hlorīds 0.9% 1232
Tūlītēji nokrišņi Nesavienojams
Injekcija Flucloxacillin sodium
Injekcija Kanamycin sulfate
3522
Savietojams
Injekcija Flucloxacillin sodium 20 mg/ml
Injekcija Lidocaine hydrochloride 2 mg/ml
Nātrija hlorīds 0.9% 1232
Drumstumas per 4 valandas Nesavienojams
Injekcija Flucloxacillin sodium 50 mg/ml
Injekcija Lorazepam 0.33 mg/ml
Nātrija hlorīds 0.9% 186
Tūlītēji nokrišņi Nesavienojams
Injekcija Flucloxacillin sodium 20 mg/ml
Injekcija Metoclopramide hydrochloride 1 mg/ml
Nātrija hlorīds 0.9% 1232
Tūlītēji nokrišņi Nesavienojams
Injekcija Flucloxacillin sodium 50 mg/ml
Injekcija Midazolam hydrochloride 5 mg/ml
Nekāds 186
Tūlītēji nokrišņi Nesavienojams
Injekcija Flucloxacillin sodium
Injekcija Netilmicin sulfate
3522
Nokrišņi pēc 7 stundām Nesavienojams
Injekcija Flucloxacillin sodium 10 mg/ml
Injekcija Ofloxacin 2 mg/ml
Nekāds 889
Neprecizēta nesaderība Nesavienojams
Injekcija Flucloxacillin sodium
Injekcija Penicillin G sodium
3585
Savietojams
Injekcija Flucloxacillin sodium 50 mg/ml
Injekcija Pentoxifyllin 5 mg/ml
5% glikoze 4538
Tūlītēja duļķainība Nesavienojams
Injekcija Flucloxacillin sodium 20 mg/ml
Injekcija Pethidine hydrochloride 5 mg/ml
Ūdens injekcijām 1232
Savietojams
Injekcija Flucloxacillin sodium 20 mg/ml
Injekcija Potassium chloride 40 mEq/l
Ūdens injekcijām 1232
Tūlītēji nokrišņi Nesavienojams
Injekcija Flucloxacillin sodium 20 mg/ml
Injekcija Prochlorperazine edysilate 1.25 mg/ml
Ūdens injekcijām 1232
Tūlītēji nokrišņi Nesavienojams
Injekcija Flucloxacillin sodium 20 mg/ml
Injekcija Promethazine hydrochloride 5 mg/ml
Ūdens injekcijām 1232
Savietojams
Injekcija Flucloxacillin sodium 20 mg/ml
Injekcija Ranitidine hydrochloride 0,5 mg/ml
Nātrija hlorīds 0.9% 1232
Tūlītēja duļķainība Nesavienojams
Injekcija Flucloxacillin sodium
Injekcija Sildenafil citrate 0,6 mg/ml
5% glikoze 4845
Ķīmiskā nestabilitāte Nesavienojams
Injekcija Flucloxacillin sodium 50 mg/ml
Injekcija Sildenafil citrate 0,6 mg/ml
5% glikoze 4845
Savietojams
Injekcija Flucloxacillin sodium 20 mg/ml
Injekcija Sodium bicarbonate 84 mg/ml
1232
Savietojams
Injekcija Flucloxacillin sodium 250 mg/ml
Injekcija Temocilline 83.33 mg/ml
Ūdens injekcijām 2231
Tūlītēji nokrišņi Nesavienojams
Injekcija Flucloxacillin sodium
Injekcija Tobramycin sulfate
3522
Nokrišņi pēc 7 stundām Nesavienojams
Injekcija Flucloxacillin sodium 20 mg/ml
Injekcija Tobramycin sulfate 8 mg/ml
Nātrija hlorīds 0.9% 1232
Neprecizēta nesaderība Nesavienojams
Injekcija Flucloxacillin sodium 250 mg/ml
Injekcija Vancomycin hydrochloride 10 mg/ml
5% glikoze 3385

  Mentions Légales