viimane versioon :
18/03/2026
antibiootikum   Flucloxacillin sodium  
Süsteravim
Stabiilsus lahustes Stabiilsust mõjutavad tegurid stabiilsust mõjutavad faktorid Sobimatus Manustamis viis Viited pdf
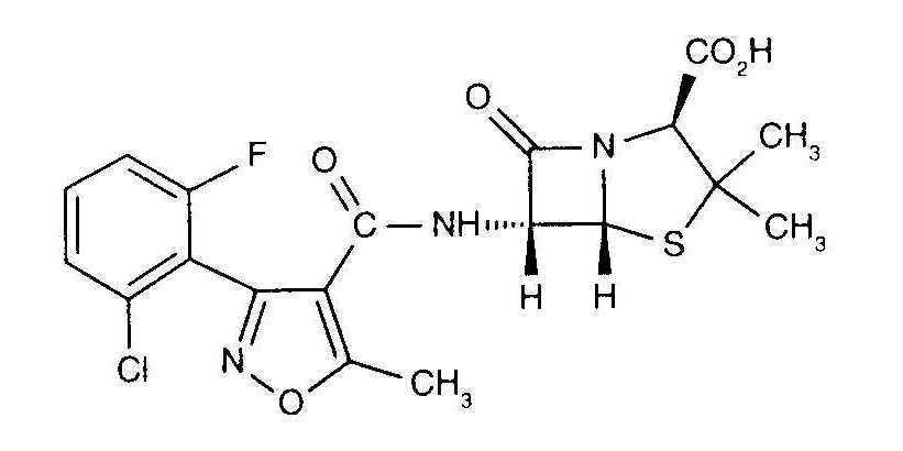
   keemiline struktuur  

Kaubanduslikud nimed erinevates maades   Kaubanduslikud nimed erinevates maades     

Preparaatide nimed on näitlikud ja abianete sisaldus võib erineda sõltuvalt riigist ja laborist

Astaph Maroko
Betabiotic Itaalia
DBL flucloxacillin sodium Austraalia
Flix Türgi
Floxam Maroko
Floxapen Ameerika ühendriigid, Austria, Belgia, Holland, Itaalia, Maroko, Poola, Portugal, Saudi Araabia, Sveits
Flucloxacillin Austraalia, Itaalia, Saksamaa, Suurbritannia
Flucloxacilline Belgia, Holland, Prantsusmaa
Flucloxin uus-Meremaa
Ladropen Ameerika ühendriigid
Stafoxil Holland
Staphylex Saksamaa
Sobimatus   Süsteravim   Sobimatus : Flucloxacillin sodium              
Sellel lehel kuvatakse sobimatusi ja sobimatuse tüüpi (sadenemine, värvuse muutus, emulsiooni modifitseerumine jne). Enamasti on siin lehel kuvatud füüsikalised sobimatused, kuna molekulide keemilist stabiilsust hinnatakse harva. Hinnatud on segude sobivust Y-liinis. Antud infot ei saa kasutada ravimite sobivuse hindamiseks juhul, kui ravimid on segatud süstaldes või infusioonikottides. See info on lehel « stabiilsus segudes ».
ingredient lahusti Viited
Kohene sade Sobimatu
Süsteravim Flucloxacillin sodium
Süsteravim Amikacin sulfate
3522
Ühilduv
Süsteravim Flucloxacillin sodium 20 mg/ml
Süsteravim Aminophylline 1 mg/ml
naatriumkloriid 0.9% 1232
Kohene sade Sobimatu
Süsteravim Flucloxacillin sodium 20 mg/ml
Süsteravim Amiodarone hydrochloride 4 mg/ml
glükoos 5% 1232
Ühilduv
Süsteravim Flucloxacillin sodium 20 mg/ml
Süsteravim Ampicillin sodium 20 mg/ml
naatriumkloriid 0.9% 1232
Ühilduv
Süsteravim Flucloxacillin sodium 20 mg/ml
Süsteravim Bumetanide 0,006 mg/ml
naatriumkloriid 0.9% 1232
Ühilduv
Süsteravim Flucloxacillin sodium 50 mg/ml
Süsteravim Caffeine 10 mg/ml
glükoos 5% 4837
Ühilduv
Süsteravim Flucloxacillin sodium 50 mg/ml
Süsteravim Caffeine citrate 20 mg/ml
glükoos 5% 4837
Kohene sade Sobimatu
Süsteravim Flucloxacillin sodium 20 mg/ml
Süsteravim Calcium gluconate 2 mg/ml
naatriumkloriid 0.9% 1232
Ühilduv
Süsteravim Flucloxacillin sodium 40 >> 240 mg/ml
Süsteravim Ceftazidime 40 >> 180 mg/ml
naatriumkloriid 0.9% 3091
Ühilduv
Süsteravim Flucloxacillin sodium 20 mg/ml
Süsteravim Cefuroxime sodium 37,5 mg/ml
süstevesi 1232
Kohene sade Sobimatu
Süsteravim Flucloxacillin sodium 20 mg/ml
Süsteravim Chlorpromazine hydrochloride 5 mg/ml
süstevesi 1232
Ühilduv
Süsteravim Flucloxacillin sodium 20 mg/ml
Süsteravim Cimetidine hydrochloride 4 mg/ml
naatriumkloriid 0.9% 1232
Täpsustamata sobimatus Sobimatu
Süsteravim Flucloxacillin sodium
Süsteravim Ciprofloxacin lactate
3529
Ühilduv
Süsteravim Flucloxacillin sodium
naatriumkloriid 0.9% 3522
Ühilduv
Süsteravim Flucloxacillin sodium
glükoos 5% 3522
Täpsustamata sobimatus Sobimatu
Süsteravim Flucloxacillin sodium
Parenteraalse toitmise (lipiidide) 3522
Kohene sade Sobimatu
Süsteravim Flucloxacillin sodium 10 mg/ml
Süsteravim Ciprofloxacin lactate 2 mg/ml
mitte ükski 1357
Täpsustamata sobimatus Sobimatu
Süsteravim Flucloxacillin sodium
Parenteraalse toitmise (lipiide tasuta) 3522
Ühilduv
Süsteravim Flucloxacillin sodium 20 mg/ml
Süsteravim Dexamethasone sodium phosphate 4 mg/ml
naatriumkloriid 0.9% 1232
Ühilduv
Süsteravim Flucloxacillin sodium 20 mg/ml
Süsteravim Digoxin 25 µg/ml
naatriumkloriid 0.9% 1232
Ühilduv
Süsteravim Flucloxacillin sodium 50 mg/ml
Parenteraalse toitmise (lipiide tasuta) 939
Kohene hägusus Sobimatu
Süsteravim Flucloxacillin sodium 20 mg/ml
Süsteravim Dobutamine hydrochloride 0.5 mg/ml
naatriumkloriid 0.9% 1232
Ühilduv
Süsteravim Flucloxacillin sodium 20 mg/ml
Süsteravim Epinephrine hydrochloride 8 µg/ml
süstevesi 1232
Kohene sade Sobimatu
Süsteravim Flucloxacillin sodium 20 mg/ml
Süsteravim Erythromycin lactobionate 5 mg/ml
naatriumkloriid 0.9% 1232
Täpsustamata sobimatus Sobimatu
Süsteravim Flucloxacillin sodium
Süsteravim Erythromycin lactobionate
3674
Ühilduv
Süsteravim Flucloxacillin sodium 20 mg/ml
Süsteravim Furosemide 1 mg/ml
naatriumkloriid 0.9% 1232
Kohene sade Sobimatu
Süsteravim Flucloxacillin sodium
Süsteravim Gentamicin sulfate
3522
Täpsustamata sobimatus Sobimatu
Süsteravim Flucloxacillin sodium
Süsteravim Gentamicin sulfate
3643
Ühilduv
Süsteravim Flucloxacillin sodium 20 mg/ml
Süsteravim Hydrocortisone sodium succinate 50 mg/ml
naatriumkloriid 0.9% 1232
Kohene sade Sobimatu
Süsteravim Flucloxacillin sodium
Süsteravim Kanamycin sulfate
3522
Ühilduv
Süsteravim Flucloxacillin sodium 20 mg/ml
Süsteravim Lidocaine hydrochloride 2 mg/ml
naatriumkloriid 0.9% 1232
Hägusus 4 tunniga Sobimatu
Süsteravim Flucloxacillin sodium 50 mg/ml
Süsteravim Lorazepam 0.33 mg/ml
naatriumkloriid 0.9% 186
Kohene sade Sobimatu
Süsteravim Flucloxacillin sodium 20 mg/ml
Süsteravim Metoclopramide hydrochloride 1 mg/ml
naatriumkloriid 0.9% 1232
Kohene sade Sobimatu
Süsteravim Flucloxacillin sodium 50 mg/ml
Süsteravim Midazolam hydrochloride 5 mg/ml
mitte ükski 186
Kohene sade Sobimatu
Süsteravim Flucloxacillin sodium
Süsteravim Netilmicin sulfate
3522
Sade 7 tunni pärast Sobimatu
Süsteravim Flucloxacillin sodium 10 mg/ml
Süsteravim Ofloxacin 2 mg/ml
mitte ükski 889
Täpsustamata sobimatus Sobimatu
Süsteravim Flucloxacillin sodium
Süsteravim Penicillin G sodium
3585
Ühilduv
Süsteravim Flucloxacillin sodium 50 mg/ml
Süsteravim Pentoxifyllin 5 mg/ml
glükoos 5% 4538
Kohene hägusus Sobimatu
Süsteravim Flucloxacillin sodium 20 mg/ml
Süsteravim Pethidine hydrochloride 5 mg/ml
süstevesi 1232
Ühilduv
Süsteravim Flucloxacillin sodium 20 mg/ml
Süsteravim Potassium chloride 40 mEq/l
süstevesi 1232
Kohene sade Sobimatu
Süsteravim Flucloxacillin sodium 20 mg/ml
Süsteravim Prochlorperazine edysilate 1.25 mg/ml
süstevesi 1232
Kohene sade Sobimatu
Süsteravim Flucloxacillin sodium 20 mg/ml
Süsteravim Promethazine hydrochloride 5 mg/ml
süstevesi 1232
Ühilduv
Süsteravim Flucloxacillin sodium 20 mg/ml
Süsteravim Ranitidine hydrochloride 0,5 mg/ml
naatriumkloriid 0.9% 1232
Kohene hägusus Sobimatu
Süsteravim Flucloxacillin sodium
Süsteravim Sildenafil citrate 0,6 mg/ml
glükoos 5% 4845
Keemiline ebastabiilsus Sobimatu
Süsteravim Flucloxacillin sodium 50 mg/ml
Süsteravim Sildenafil citrate 0,6 mg/ml
glükoos 5% 4845
Ühilduv
Süsteravim Flucloxacillin sodium 20 mg/ml
Süsteravim Sodium bicarbonate 84 mg/ml
1232
Ühilduv
Süsteravim Flucloxacillin sodium 250 mg/ml
Süsteravim Temocilline 83.33 mg/ml
süstevesi 2231
Kohene sade Sobimatu
Süsteravim Flucloxacillin sodium
Süsteravim Tobramycin sulfate
3522
Sade 7 tunni pärast Sobimatu
Süsteravim Flucloxacillin sodium 20 mg/ml
Süsteravim Tobramycin sulfate 8 mg/ml
naatriumkloriid 0.9% 1232
Täpsustamata sobimatus Sobimatu
Süsteravim Flucloxacillin sodium 250 mg/ml
Süsteravim Vancomycin hydrochloride 10 mg/ml
glükoos 5% 3385

  Mentions Légales