Poslední aktualizace :
18/03/2026
Antibiotikum   Flucloxacillin sodium  
injekce
Stabilita roztoků Stabilita směsí Faktory ovlivňující stabilitu Kompatibilita Způsoby aplikace Odkazy pdf
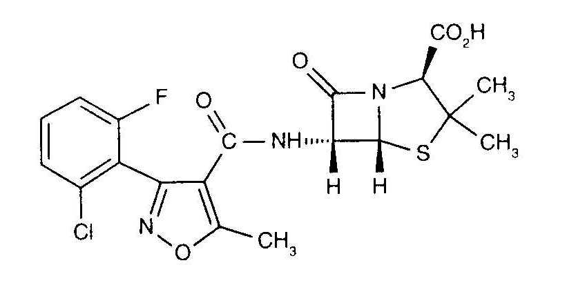
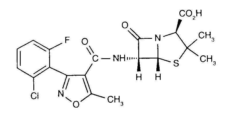
   Chemický vzorec  

Obchodní název   Obchodní název     

Trade names are indicative and excipients composition can be different depending on the country and manufacturers

Astaph Maroko
Betabiotic Itálie
DBL flucloxacillin sodium Austrálie
Flix Turecko
Floxam Maroko
Floxapen Belgie, Itálie, Maroko, Nizozemsko, Polsko, Portugalsko, Rakousko, Saúdská Arábie, Švýcarsko, USA
Flucloxacillin Austrálie, Itálie, NÏmecko, Velká Británie
Flucloxacilline Belgie, Francie, Nizozemsko
Flucloxin nový Zéland
Ladropen USA
Stafoxil Nizozemsko
Staphylex NÏmecko
Kompatibilita   injekce   Kompatibilita : Flucloxacillin sodium              
Tato obrazovka ukazuje kompatibilitu nebo nekompatibilitu s, v tomto případě, typem nekompatibility (srážení, změna barvy, modifikace emulze atd.). Zde uvedené kompatibility jsou většinou pouze fyzikální, přičemž chemická stabilita každé molekuly je zřídka hodnocena. Hodnocení těchto směsí bylo studováno, aby se zvážila možnost podání Y-místa pacientovi. Tyto údaje nelze použít k přípravě směsí předem v pytlích nebo stříkačkách. Tento typ informací je k dispozici na obrazovce „Stabilita ve směsi“.
SlouËenina RozpouötÏdlo Odkazy
Okamžité srážení Nekompatibilní
injekce Flucloxacillin sodium
injekce Amikacin sulfate
3522
Kompatibilní
injekce Flucloxacillin sodium 20 mg/ml
injekce Aminophylline 1 mg/ml
Chlorid sodný 0,9% 1232
Okamžité srážení Nekompatibilní
injekce Flucloxacillin sodium 20 mg/ml
injekce Amiodarone hydrochloride 4 mg/ml
GlukÛza 5% 1232
Kompatibilní
injekce Flucloxacillin sodium 20 mg/ml
injekce Ampicillin sodium 20 mg/ml
Chlorid sodný 0,9% 1232
Kompatibilní
injekce Flucloxacillin sodium 20 mg/ml
injekce Bumetanide 0,006 mg/ml
Chlorid sodný 0,9% 1232
Kompatibilní
injekce Flucloxacillin sodium 50 mg/ml
injekce Caffeine 10 mg/ml
GlukÛza 5% 4837
Kompatibilní
injekce Flucloxacillin sodium 50 mg/ml
injekce Caffeine citrate 20 mg/ml
GlukÛza 5% 4837
Okamžité srážení Nekompatibilní
injekce Flucloxacillin sodium 20 mg/ml
injekce Calcium gluconate 2 mg/ml
Chlorid sodný 0,9% 1232
Kompatibilní
injekce Flucloxacillin sodium 40 >> 240 mg/ml
injekce Ceftazidime 40 >> 180 mg/ml
Chlorid sodný 0,9% 3091
Kompatibilní
injekce Flucloxacillin sodium 20 mg/ml
injekce Cefuroxime sodium 37,5 mg/ml
Voda pro injekci 1232
Okamžité srážení Nekompatibilní
injekce Flucloxacillin sodium 20 mg/ml
injekce Chlorpromazine hydrochloride 5 mg/ml
Voda pro injekci 1232
Kompatibilní
injekce Flucloxacillin sodium 20 mg/ml
injekce Cimetidine hydrochloride 4 mg/ml
Chlorid sodný 0,9% 1232
Nespecifikovaná nekompatibilita Nekompatibilní
injekce Flucloxacillin sodium
injekce Ciprofloxacin lactate
3529
Kompatibilní
injekce Flucloxacillin sodium
Chlorid sodný 0,9% 3522
Kompatibilní
injekce Flucloxacillin sodium
GlukÛza 5% 3522
Nespecifikovaná nekompatibilita Nekompatibilní
injekce Flucloxacillin sodium
Parenterální výživa (lipidy) 3522
Okamžité srážení Nekompatibilní
injekce Flucloxacillin sodium 10 mg/ml
injekce Ciprofloxacin lactate 2 mg/ml
Žádné 1357
Nespecifikovaná nekompatibilita Nekompatibilní
injekce Flucloxacillin sodium
Parenterální výživa (binární směs) 3522
Kompatibilní
injekce Flucloxacillin sodium 20 mg/ml
injekce Dexamethasone sodium phosphate 4 mg/ml
Chlorid sodný 0,9% 1232
Kompatibilní
injekce Flucloxacillin sodium 20 mg/ml
injekce Digoxin 25 µg/ml
Chlorid sodný 0,9% 1232
Kompatibilní
injekce Flucloxacillin sodium 50 mg/ml
Parenterální výživa (binární směs) 939
Okamžitá zákal Nekompatibilní
injekce Flucloxacillin sodium 20 mg/ml
injekce Dobutamine hydrochloride 0.5 mg/ml
Chlorid sodný 0,9% 1232
Kompatibilní
injekce Flucloxacillin sodium 20 mg/ml
injekce Epinephrine hydrochloride 8 µg/ml
Voda pro injekci 1232
Okamžité srážení Nekompatibilní
injekce Flucloxacillin sodium 20 mg/ml
injekce Erythromycin lactobionate 5 mg/ml
Chlorid sodný 0,9% 1232
Nespecifikovaná nekompatibilita Nekompatibilní
injekce Flucloxacillin sodium
injekce Erythromycin lactobionate
3674
Kompatibilní
injekce Flucloxacillin sodium 20 mg/ml
injekce Furosemide 1 mg/ml
Chlorid sodný 0,9% 1232
Okamžité srážení Nekompatibilní
injekce Flucloxacillin sodium
injekce Gentamicin sulfate
3522
Nespecifikovaná nekompatibilita Nekompatibilní
injekce Flucloxacillin sodium
injekce Gentamicin sulfate
3643
Kompatibilní
injekce Flucloxacillin sodium 20 mg/ml
injekce Hydrocortisone sodium succinate 50 mg/ml
Chlorid sodný 0,9% 1232
Okamžité srážení Nekompatibilní
injekce Flucloxacillin sodium
injekce Kanamycin sulfate
3522
Kompatibilní
injekce Flucloxacillin sodium 20 mg/ml
injekce Lidocaine hydrochloride 2 mg/ml
Chlorid sodný 0,9% 1232
Zákal za 4 hodiny Nekompatibilní
injekce Flucloxacillin sodium 50 mg/ml
injekce Lorazepam 0.33 mg/ml
Chlorid sodný 0,9% 186
Okamžité srážení Nekompatibilní
injekce Flucloxacillin sodium 20 mg/ml
injekce Metoclopramide hydrochloride 1 mg/ml
Chlorid sodný 0,9% 1232
Okamžité srážení Nekompatibilní
injekce Flucloxacillin sodium 50 mg/ml
injekce Midazolam hydrochloride 5 mg/ml
Žádné 186
Okamžité srážení Nekompatibilní
injekce Flucloxacillin sodium
injekce Netilmicin sulfate
3522
Srážky po 7 hodinách Nekompatibilní
injekce Flucloxacillin sodium 10 mg/ml
injekce Ofloxacin 2 mg/ml
Žádné 889
Nespecifikovaná nekompatibilita Nekompatibilní
injekce Flucloxacillin sodium
injekce Penicillin G sodium
3585
Kompatibilní
injekce Flucloxacillin sodium 50 mg/ml
injekce Pentoxifyllin 5 mg/ml
GlukÛza 5% 4538
Okamžitá zákal Nekompatibilní
injekce Flucloxacillin sodium 20 mg/ml
injekce Pethidine hydrochloride 5 mg/ml
Voda pro injekci 1232
Kompatibilní
injekce Flucloxacillin sodium 20 mg/ml
injekce Potassium chloride 40 mEq/l
Voda pro injekci 1232
Okamžité srážení Nekompatibilní
injekce Flucloxacillin sodium 20 mg/ml
injekce Prochlorperazine edysilate 1.25 mg/ml
Voda pro injekci 1232
Okamžité srážení Nekompatibilní
injekce Flucloxacillin sodium 20 mg/ml
injekce Promethazine hydrochloride 5 mg/ml
Voda pro injekci 1232
Kompatibilní
injekce Flucloxacillin sodium 20 mg/ml
injekce Ranitidine hydrochloride 0,5 mg/ml
Chlorid sodný 0,9% 1232
Okamžitá zákal Nekompatibilní
injekce Flucloxacillin sodium
injekce Sildenafil citrate 0,6 mg/ml
GlukÛza 5% 4845
Chemická nestabilita Nekompatibilní
injekce Flucloxacillin sodium 50 mg/ml
injekce Sildenafil citrate 0,6 mg/ml
GlukÛza 5% 4845
Kompatibilní
injekce Flucloxacillin sodium 20 mg/ml
injekce Sodium bicarbonate 84 mg/ml
1232
Kompatibilní
injekce Flucloxacillin sodium 250 mg/ml
injekce Temocilline 83.33 mg/ml
Voda pro injekci 2231
Okamžité srážení Nekompatibilní
injekce Flucloxacillin sodium
injekce Tobramycin sulfate
3522
Srážky po 7 hodinách Nekompatibilní
injekce Flucloxacillin sodium 20 mg/ml
injekce Tobramycin sulfate 8 mg/ml
Chlorid sodný 0,9% 1232
Nespecifikovaná nekompatibilita Nekompatibilní
injekce Flucloxacillin sodium 250 mg/ml
injekce Vancomycin hydrochloride 10 mg/ml
GlukÛza 5% 3385

  Mentions Légales