Dernière mise à jour :
18/03/2026
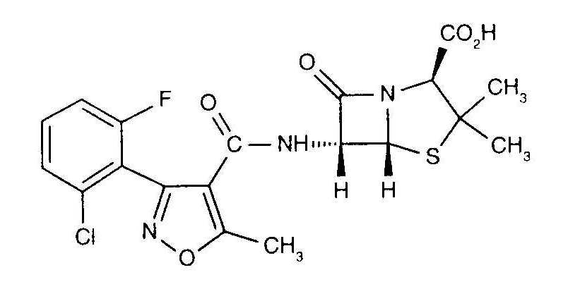
Antibiotique   Flucloxacillin sodium  
injectable
Stabilité des solutions Stabilité en mélange Facteur influençant la stabilité Compatibilités Voie d’administration Bibliographie pdf
   Structure chimique  

Noms commerciaux   Noms commerciaux     

Les noms commerciaux sont donnés à titre indicatif et la composition en excipients peut être différente selon les pays et selon les laboratoires

Astaph Maroc
Betabiotic Italie
DBL flucloxacillin sodium Australie
Flix Turquie
Floxam Maroc
Floxapen Arabie Saoudite, Autriche, Belgique, Etats Unis d’Amérique, Italie, Maroc, Pays bas, Pologne, Portugal, Suisse
Flucloxacillin Allemagne, Australie, Grande Bretagne, Italie
Flucloxacilline Belgique, France, Pays bas
Flucloxin Nouvelle Zélande
Ladropen Etats Unis d’Amérique
Stafoxil Pays bas
Staphylex Allemagne

Facteur influençant la stabilité   injectable   Facteur influençant la stabilité : Flucloxacillin sodium        
Bibliographie
Solvant Nutrition parentérale (mélange ternaire) Provoque Dégradation 3522
Solvant Nutrition parentérale (mélange binaire) Provoque Dégradation 3522
Température 37°C Provoque Dégradation 3189
pH pH = 6,5 Provoque Augmentation stabilité 3189

  Mentions Légales