Son güncelleme :
18/03/2026
Antibiyotik   Flucloxacillin sodium  
Enjeksiyon
Çözeltilerin stabilitesi Karışımlardaki stabilitesi Stabiliteyi etkileyen faktörler Uyumluluk Uygulama yöntemi Kaynaklar pdf
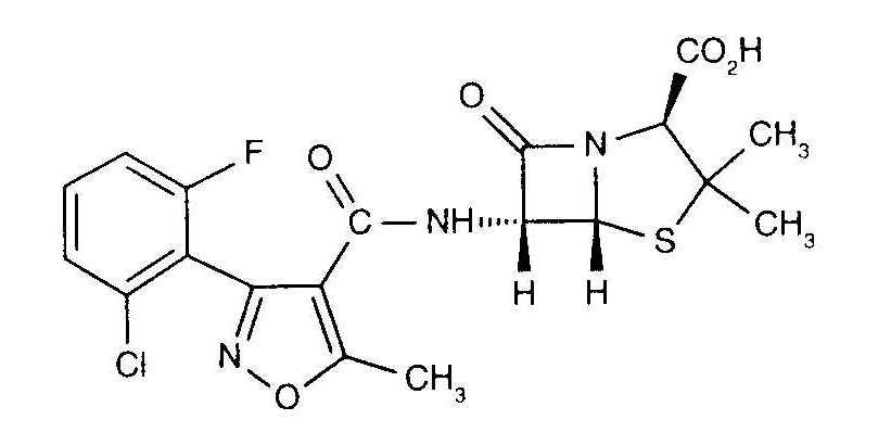
   Kimyasal yapı   

Ticari isim   Ticari isim     

Trade names are indicative and excipients composition can be different depending on the country and manufacturers

Astaph Fas
Betabiotic İtalya
DBL flucloxacillin sodium Avustralya
Flix Türkiye
Floxam Fas
Floxapen Amerika Birleşik Devletleri, Avusturya, Belçika, Fas, Hollanda, İsviçre, İtalya, Polonya, Portekiz, Suudi Arabistan
Flucloxacillin Almanya, Avustralya, Büyük Britanya, İtalya
Flucloxacilline Belçika, Fransa, Hollanda
Flucloxin yeni Zelanda
Ladropen Amerika Birleşik Devletleri
Stafoxil Hollanda
Staphylex Almanya
Uyumluluk   Enjeksiyon    Uyumluluk : Flucloxacillin sodium              
Bu ekran, bu durumda uyumsuzluk tipiyle (çökelme, renk değişimi, bir emülsiyonun modifikasyonu, vb.) Uyumlulukları veya uyumsuzlukları gösterir. Burada gösterilen uyumluluklar çoğunlukla yalnızca fizikseldir ve her molekülün kimyasal stabilitesi nadiren değerlendirilir. Bu karışımların değerlendirilmesi, hastaya Y bölgesi uygulama olasılığını göz önünde bulundurmak için çalışıldı. Bu veriler önceden torba veya şırıngalarda karışım yapmak için kullanılamaz. Bu tür bilgiler "Karışımda stabilite" ekranında mevcuttur.
Bileşik Çözücü Kaynaklar
Acil yağış uyumsuz
Enjeksiyon Flucloxacillin sodium
Enjeksiyon Amikacin sulfate
3522
Uyumlu
Enjeksiyon Flucloxacillin sodium 20 mg/ml
Enjeksiyon Aminophylline 1 mg/ml
Sodyum klorür % 0,9 1232
Acil yağış uyumsuz
Enjeksiyon Flucloxacillin sodium 20 mg/ml
Enjeksiyon Amiodarone hydrochloride 4 mg/ml
Glukoz %5 1232
Uyumlu
Enjeksiyon Flucloxacillin sodium 20 mg/ml
Enjeksiyon Ampicillin sodium 20 mg/ml
Sodyum klorür % 0,9 1232
Uyumlu
Enjeksiyon Flucloxacillin sodium 20 mg/ml
Enjeksiyon Bumetanide 0,006 mg/ml
Sodyum klorür % 0,9 1232
Uyumlu
Enjeksiyon Flucloxacillin sodium 50 mg/ml
Enjeksiyon Caffeine 10 mg/ml
Glukoz %5 4837
Uyumlu
Enjeksiyon Flucloxacillin sodium 50 mg/ml
Enjeksiyon Caffeine citrate 20 mg/ml
Glukoz %5 4837
Acil yağış uyumsuz
Enjeksiyon Flucloxacillin sodium 20 mg/ml
Enjeksiyon Calcium gluconate 2 mg/ml
Sodyum klorür % 0,9 1232
Uyumlu
Enjeksiyon Flucloxacillin sodium 40 >> 240 mg/ml
Enjeksiyon Ceftazidime 40 >> 180 mg/ml
Sodyum klorür % 0,9 3091
Uyumlu
Enjeksiyon Flucloxacillin sodium 20 mg/ml
Enjeksiyon Cefuroxime sodium 37,5 mg/ml
Enjeksiyonluk su 1232
Acil yağış uyumsuz
Enjeksiyon Flucloxacillin sodium 20 mg/ml
Enjeksiyon Chlorpromazine hydrochloride 5 mg/ml
Enjeksiyonluk su 1232
Uyumlu
Enjeksiyon Flucloxacillin sodium 20 mg/ml
Enjeksiyon Cimetidine hydrochloride 4 mg/ml
Sodyum klorür % 0,9 1232
Belirtilmemiş uyumsuzluk uyumsuz
Enjeksiyon Flucloxacillin sodium
Enjeksiyon Ciprofloxacin lactate
3529
Uyumlu
Enjeksiyon Flucloxacillin sodium
Sodyum klorür % 0,9 3522
Uyumlu
Enjeksiyon Flucloxacillin sodium
Glukoz %5 3522
Belirtilmemiş uyumsuzluk uyumsuz
Enjeksiyon Flucloxacillin sodium
Parenteral beslenme (Lipidler) 3522
Acil yağış uyumsuz
Enjeksiyon Flucloxacillin sodium 10 mg/ml
Enjeksiyon Ciprofloxacin lactate 2 mg/ml
Yok 1357
Belirtilmemiş uyumsuzluk uyumsuz
Enjeksiyon Flucloxacillin sodium
Parenteral beslenme (ikili karışım) 3522
Uyumlu
Enjeksiyon Flucloxacillin sodium 20 mg/ml
Enjeksiyon Dexamethasone sodium phosphate 4 mg/ml
Sodyum klorür % 0,9 1232
Uyumlu
Enjeksiyon Flucloxacillin sodium 20 mg/ml
Enjeksiyon Digoxin 25 µg/ml
Sodyum klorür % 0,9 1232
Uyumlu
Enjeksiyon Flucloxacillin sodium 50 mg/ml
Parenteral beslenme (ikili karışım) 939
Anında bulanıklık uyumsuz
Enjeksiyon Flucloxacillin sodium 20 mg/ml
Enjeksiyon Dobutamine hydrochloride 0.5 mg/ml
Sodyum klorür % 0,9 1232
Uyumlu
Enjeksiyon Flucloxacillin sodium 20 mg/ml
Enjeksiyon Epinephrine hydrochloride 8 µg/ml
Enjeksiyonluk su 1232
Acil yağış uyumsuz
Enjeksiyon Flucloxacillin sodium 20 mg/ml
Enjeksiyon Erythromycin lactobionate 5 mg/ml
Sodyum klorür % 0,9 1232
Belirtilmemiş uyumsuzluk uyumsuz
Enjeksiyon Flucloxacillin sodium
Enjeksiyon Erythromycin lactobionate
3674
Uyumlu
Enjeksiyon Flucloxacillin sodium 20 mg/ml
Enjeksiyon Furosemide 1 mg/ml
Sodyum klorür % 0,9 1232
Acil yağış uyumsuz
Enjeksiyon Flucloxacillin sodium
Enjeksiyon Gentamicin sulfate
3522
Belirtilmemiş uyumsuzluk uyumsuz
Enjeksiyon Flucloxacillin sodium
Enjeksiyon Gentamicin sulfate
3643
Uyumlu
Enjeksiyon Flucloxacillin sodium 20 mg/ml
Enjeksiyon Hydrocortisone sodium succinate 50 mg/ml
Sodyum klorür % 0,9 1232
Acil yağış uyumsuz
Enjeksiyon Flucloxacillin sodium
Enjeksiyon Kanamycin sulfate
3522
Uyumlu
Enjeksiyon Flucloxacillin sodium 20 mg/ml
Enjeksiyon Lidocaine hydrochloride 2 mg/ml
Sodyum klorür % 0,9 1232
4 saat içinde bulanıklık uyumsuz
Enjeksiyon Flucloxacillin sodium 50 mg/ml
Enjeksiyon Lorazepam 0.33 mg/ml
Sodyum klorür % 0,9 186
Acil yağış uyumsuz
Enjeksiyon Flucloxacillin sodium 20 mg/ml
Enjeksiyon Metoclopramide hydrochloride 1 mg/ml
Sodyum klorür % 0,9 1232
Acil yağış uyumsuz
Enjeksiyon Flucloxacillin sodium 50 mg/ml
Enjeksiyon Midazolam hydrochloride 5 mg/ml
Yok 186
Acil yağış uyumsuz
Enjeksiyon Flucloxacillin sodium
Enjeksiyon Netilmicin sulfate
3522
7 saat sonra yağış uyumsuz
Enjeksiyon Flucloxacillin sodium 10 mg/ml
Enjeksiyon Ofloxacin 2 mg/ml
Yok 889
Belirtilmemiş uyumsuzluk uyumsuz
Enjeksiyon Flucloxacillin sodium
Enjeksiyon Penicillin G sodium
3585
Uyumlu
Enjeksiyon Flucloxacillin sodium 50 mg/ml
Enjeksiyon Pentoxifyllin 5 mg/ml
Glukoz %5 4538
Anında bulanıklık uyumsuz
Enjeksiyon Flucloxacillin sodium 20 mg/ml
Enjeksiyon Pethidine hydrochloride 5 mg/ml
Enjeksiyonluk su 1232
Uyumlu
Enjeksiyon Flucloxacillin sodium 20 mg/ml
Enjeksiyon Potassium chloride 40 mEq/l
Enjeksiyonluk su 1232
Acil yağış uyumsuz
Enjeksiyon Flucloxacillin sodium 20 mg/ml
Enjeksiyon Prochlorperazine edysilate 1.25 mg/ml
Enjeksiyonluk su 1232
Acil yağış uyumsuz
Enjeksiyon Flucloxacillin sodium 20 mg/ml
Enjeksiyon Promethazine hydrochloride 5 mg/ml
Enjeksiyonluk su 1232
Uyumlu
Enjeksiyon Flucloxacillin sodium 20 mg/ml
Enjeksiyon Ranitidine hydrochloride 0,5 mg/ml
Sodyum klorür % 0,9 1232
Anında bulanıklık uyumsuz
Enjeksiyon Flucloxacillin sodium
Enjeksiyon Sildenafil citrate 0,6 mg/ml
Glukoz %5 4845
Kimyasal kararsızlık uyumsuz
Enjeksiyon Flucloxacillin sodium 50 mg/ml
Enjeksiyon Sildenafil citrate 0,6 mg/ml
Glukoz %5 4845
Uyumlu
Enjeksiyon Flucloxacillin sodium 20 mg/ml
Enjeksiyon Sodium bicarbonate 84 mg/ml
1232
Uyumlu
Enjeksiyon Flucloxacillin sodium 250 mg/ml
Enjeksiyon Temocilline 83.33 mg/ml
Enjeksiyonluk su 2231
Acil yağış uyumsuz
Enjeksiyon Flucloxacillin sodium
Enjeksiyon Tobramycin sulfate
3522
7 saat sonra yağış uyumsuz
Enjeksiyon Flucloxacillin sodium 20 mg/ml
Enjeksiyon Tobramycin sulfate 8 mg/ml
Sodyum klorür % 0,9 1232
Belirtilmemiş uyumsuzluk uyumsuz
Enjeksiyon Flucloxacillin sodium 250 mg/ml
Enjeksiyon Vancomycin hydrochloride 10 mg/ml
Glukoz %5 3385

  Mentions Légales