آخر تحديث :
18/03/2026
مضاد حيوي   Flucloxacillin sodium  
حقن
الاستقرار في حلول استقرار مخاليط العوامل التي تؤثر على الاستقرار التوافق طريقة التعاطي مراجع pdf
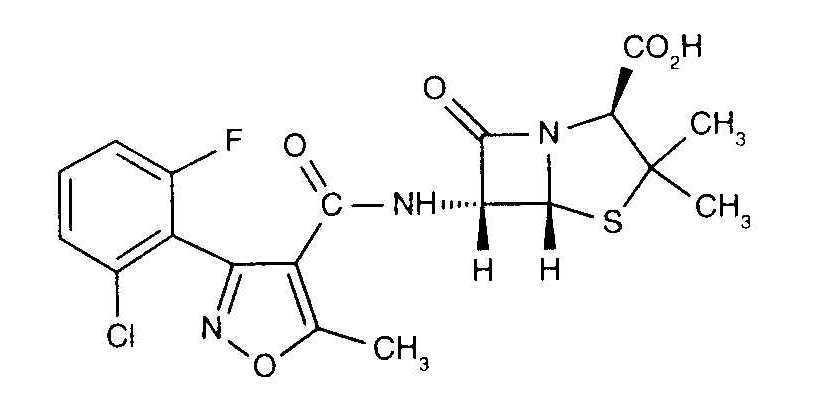
   التركيب الكيميائي  

حجز الاسم التجاري   حجز الاسم التجاري     

تحذير الأسماء التجاريه المختلفه قد تحتوي علي محتوي إضافات مختلفة حسب الدوله و المعمل

Astaph المغرب
Betabiotic إيطاليا
DBL flucloxacillin sodium أستراليا
Flix تركيا
Floxam المغرب
Floxapen إيطاليا, البرتغال, العربية السعودية, المغرب, النمسا, الولايات المتحدة, بلجيكا, بولندا, سويسرا, هولندا
Flucloxacillin أستراليا, ألمانيا, إيطاليا, بريطانيا العظمي
Flucloxacilline بلجيكا, فرنسا, هولندا
Flucloxin زيلاندا الجديدة
Ladropen الولايات المتحدة
Stafoxil هولندا
Staphylex ألمانيا
التوافق   حقن   التوافق : Flucloxacillin sodium              
This screen indicates the compatibilities or incompatibilities with, in this case, the type of incompatibility (precipitation, color change, modification of an emulsion, etc.). The compatibilities shown here are mostly physical only, with the chemical stability of each molecule rarely being assessed. The evaluation of these mixtures was studied to consider the possibility of Y-site administration to the patient. These data cannot be used for making mixtures in advance in bags or syringes. This type of information is available in the screen "Stability in mixture ».
مركب مذيب مراجع
هطول فوري غير متوافق
حقن Flucloxacillin sodium
حقن Amikacin sulfate
3522
kompatibel
حقن Flucloxacillin sodium 20 mg/ml
حقن Aminophylline 1 mg/ml
كلوريد الصوديوم 0.9% 1232
هطول فوري غير متوافق
حقن Flucloxacillin sodium 20 mg/ml
حقن Amiodarone hydrochloride 4 mg/ml
الجلوكوز %5 1232
kompatibel
حقن Flucloxacillin sodium 20 mg/ml
حقن Ampicillin sodium 20 mg/ml
كلوريد الصوديوم 0.9% 1232
kompatibel
حقن Flucloxacillin sodium 20 mg/ml
حقن Bumetanide 0,006 mg/ml
كلوريد الصوديوم 0.9% 1232
kompatibel
حقن Flucloxacillin sodium 50 mg/ml
حقن Caffeine 10 mg/ml
الجلوكوز %5 4837
kompatibel
حقن Flucloxacillin sodium 50 mg/ml
حقن Caffeine citrate 20 mg/ml
الجلوكوز %5 4837
هطول فوري غير متوافق
حقن Flucloxacillin sodium 20 mg/ml
حقن Calcium gluconate 2 mg/ml
كلوريد الصوديوم 0.9% 1232
kompatibel
حقن Flucloxacillin sodium 40 >> 240 mg/ml
حقن Ceftazidime 40 >> 180 mg/ml
كلوريد الصوديوم 0.9% 3091
kompatibel
حقن Flucloxacillin sodium 20 mg/ml
حقن Cefuroxime sodium 37,5 mg/ml
حقن المياه لل 1232
هطول فوري غير متوافق
حقن Flucloxacillin sodium 20 mg/ml
حقن Chlorpromazine hydrochloride 5 mg/ml
حقن المياه لل 1232
kompatibel
حقن Flucloxacillin sodium 20 mg/ml
حقن Cimetidine hydrochloride 4 mg/ml
كلوريد الصوديوم 0.9% 1232
عدم توافق غير محدد غير متوافق
حقن Flucloxacillin sodium
حقن Ciprofloxacin lactate
3529
kompatibel
حقن Flucloxacillin sodium
كلوريد الصوديوم 0.9% 3522
kompatibel
حقن Flucloxacillin sodium
الجلوكوز %5 3522
عدم توافق غير محدد غير متوافق
حقن Flucloxacillin sodium
التغذية الوريدية (مع الدهون) 3522
هطول فوري غير متوافق
حقن Flucloxacillin sodium 10 mg/ml
حقن Ciprofloxacin lactate 2 mg/ml
لا شيء 1357
عدم توافق غير محدد غير متوافق
حقن Flucloxacillin sodium
 التغذية الوريدية (خالية من الدهن) 3522
kompatibel
حقن Flucloxacillin sodium 20 mg/ml
حقن Dexamethasone sodium phosphate 4 mg/ml
كلوريد الصوديوم 0.9% 1232
kompatibel
حقن Flucloxacillin sodium 20 mg/ml
حقن Digoxin 25 µg/ml
كلوريد الصوديوم 0.9% 1232
kompatibel
حقن Flucloxacillin sodium 50 mg/ml
 التغذية الوريدية (خالية من الدهن) 939
التعكر الفوري غير متوافق
حقن Flucloxacillin sodium 20 mg/ml
حقن Dobutamine hydrochloride 0.5 mg/ml
كلوريد الصوديوم 0.9% 1232
kompatibel
حقن Flucloxacillin sodium 20 mg/ml
حقن Epinephrine hydrochloride 8 µg/ml
حقن المياه لل 1232
هطول فوري غير متوافق
حقن Flucloxacillin sodium 20 mg/ml
حقن Erythromycin lactobionate 5 mg/ml
كلوريد الصوديوم 0.9% 1232
عدم توافق غير محدد غير متوافق
حقن Flucloxacillin sodium
حقن Erythromycin lactobionate
3674
kompatibel
حقن Flucloxacillin sodium 20 mg/ml
حقن Furosemide 1 mg/ml
كلوريد الصوديوم 0.9% 1232
هطول فوري غير متوافق
حقن Flucloxacillin sodium
حقن Gentamicin sulfate
3522
عدم توافق غير محدد غير متوافق
حقن Flucloxacillin sodium
حقن Gentamicin sulfate
3643
kompatibel
حقن Flucloxacillin sodium 20 mg/ml
حقن Hydrocortisone sodium succinate 50 mg/ml
كلوريد الصوديوم 0.9% 1232
هطول فوري غير متوافق
حقن Flucloxacillin sodium
حقن Kanamycin sulfate
3522
kompatibel
حقن Flucloxacillin sodium 20 mg/ml
حقن Lidocaine hydrochloride 2 mg/ml
كلوريد الصوديوم 0.9% 1232
العكارة في 4 ساعات غير متوافق
حقن Flucloxacillin sodium 50 mg/ml
حقن Lorazepam 0.33 mg/ml
كلوريد الصوديوم 0.9% 186
هطول فوري غير متوافق
حقن Flucloxacillin sodium 20 mg/ml
حقن Metoclopramide hydrochloride 1 mg/ml
كلوريد الصوديوم 0.9% 1232
هطول فوري غير متوافق
حقن Flucloxacillin sodium 50 mg/ml
حقن Midazolam hydrochloride 5 mg/ml
لا شيء 186
هطول فوري غير متوافق
حقن Flucloxacillin sodium
حقن Netilmicin sulfate
3522
هطول الأمطار بعد 7 ساعات غير متوافق
حقن Flucloxacillin sodium 10 mg/ml
حقن Ofloxacin 2 mg/ml
لا شيء 889
عدم توافق غير محدد غير متوافق
حقن Flucloxacillin sodium
حقن Penicillin G sodium
3585
kompatibel
حقن Flucloxacillin sodium 50 mg/ml
حقن Pentoxifyllin 5 mg/ml
الجلوكوز %5 4538
التعكر الفوري غير متوافق
حقن Flucloxacillin sodium 20 mg/ml
حقن Pethidine hydrochloride 5 mg/ml
حقن المياه لل 1232
kompatibel
حقن Flucloxacillin sodium 20 mg/ml
حقن Potassium chloride 40 mEq/l
حقن المياه لل 1232
هطول فوري غير متوافق
حقن Flucloxacillin sodium 20 mg/ml
حقن Prochlorperazine edysilate 1.25 mg/ml
حقن المياه لل 1232
هطول فوري غير متوافق
حقن Flucloxacillin sodium 20 mg/ml
حقن Promethazine hydrochloride 5 mg/ml
حقن المياه لل 1232
kompatibel
حقن Flucloxacillin sodium 20 mg/ml
حقن Ranitidine hydrochloride 0,5 mg/ml
كلوريد الصوديوم 0.9% 1232
التعكر الفوري غير متوافق
حقن Flucloxacillin sodium
حقن Sildenafil citrate 0,6 mg/ml
الجلوكوز %5 4845
عدم الاستقرار الكيميائي غير متوافق
حقن Flucloxacillin sodium 50 mg/ml
حقن Sildenafil citrate 0,6 mg/ml
الجلوكوز %5 4845
kompatibel
حقن Flucloxacillin sodium 20 mg/ml
حقن Sodium bicarbonate 84 mg/ml
1232
kompatibel
حقن Flucloxacillin sodium 250 mg/ml
حقن Temocilline 83.33 mg/ml
حقن المياه لل 2231
هطول فوري غير متوافق
حقن Flucloxacillin sodium
حقن Tobramycin sulfate
3522
هطول الأمطار بعد 7 ساعات غير متوافق
حقن Flucloxacillin sodium 20 mg/ml
حقن Tobramycin sulfate 8 mg/ml
كلوريد الصوديوم 0.9% 1232
عدم توافق غير محدد غير متوافق
حقن Flucloxacillin sodium 250 mg/ml
حقن Vancomycin hydrochloride 10 mg/ml
الجلوكوز %5 3385

  Mentions Légales