Ultimele actualizari :
18/03/2026
Antibiotic   Flucloxacillin sodium  
Injectabil
Stabilitatea in solutie Stabilitatea in amestec Factorii care influenteaza stabilitatea Compatibilitate Microunde Bibliografie pdf
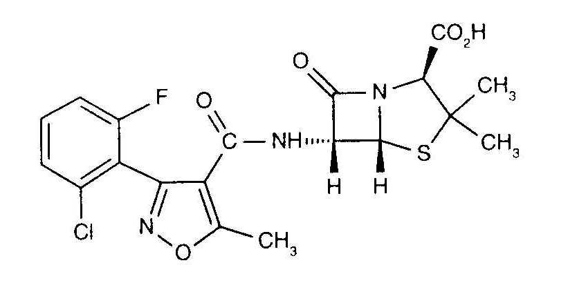
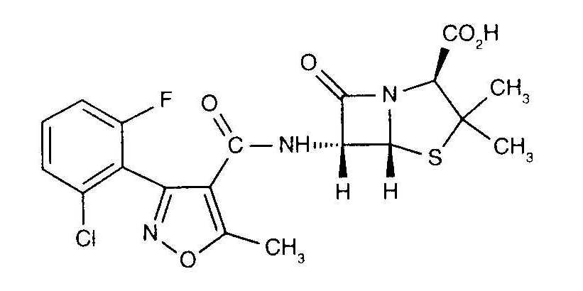
   Formula chimica  

Denumirea comerciala   Denumirea comerciala     

Trade names are indicative and excipients composition can be different depending on the country and manufacturers

Astaph Maroc
Betabiotic Italia
DBL flucloxacillin sodium Australia
Flix Turcia
Floxam Maroc
Floxapen Arabia Saudita, Austria, Belgia, Elvetia, Italia, Maroc, Olanda, Polonia, Portugalia, SUA
Flucloxacillin Australia, Germania, Italia, Marea Britanie
Flucloxacilline Belgia, Franta, Olanda
Flucloxin noua Zeelandă
Ladropen SUA
Stafoxil Olanda
Staphylex Germania
Compatibilitate   Injectabil   Compatibilitate : Flucloxacillin sodium              
Acest ecran indică compatibilitățile sau incompatibilitățile cu, în acest caz, tipul de incompatibilitate (precipitații, schimbarea culorii, modificarea unei emulsii etc.). Compatibilitățile prezentate aici sunt în mare parte numai fizice, stabilitatea chimică a fiecărei molecule fiind rareori evaluată. Evaluarea acestor amestecuri a fost studiată pentru a lua în considerare posibilitatea administrării site-ului Y la pacient. Aceste date nu pot fi utilizate pentru prepararea în prealabil a amestecurilor în pungi sau seringi. Acest tip de informații este disponibil în ecranul „Stabilitate în amestec».
Molecula (substanta activa) Solvent Bibiografie
Precipitații imediate Incompatibil
Injectabil Flucloxacillin sodium
Injectabil Amikacin sulfate
3522
Compatibil
Injectabil Flucloxacillin sodium 20 mg/ml
Injectabil Aminophylline 1 mg/ml
clorura de sodiu 0,9% 1232
Precipitații imediate Incompatibil
Injectabil Flucloxacillin sodium 20 mg/ml
Injectabil Amiodarone hydrochloride 4 mg/ml
Glucoza 5% 1232
Compatibil
Injectabil Flucloxacillin sodium 20 mg/ml
Injectabil Ampicillin sodium 20 mg/ml
clorura de sodiu 0,9% 1232
Compatibil
Injectabil Flucloxacillin sodium 20 mg/ml
Injectabil Bumetanide 0,006 mg/ml
clorura de sodiu 0,9% 1232
Compatibil
Injectabil Flucloxacillin sodium 50 mg/ml
Injectabil Caffeine 10 mg/ml
Glucoza 5% 4837
Compatibil
Injectabil Flucloxacillin sodium 50 mg/ml
Injectabil Caffeine citrate 20 mg/ml
Glucoza 5% 4837
Precipitații imediate Incompatibil
Injectabil Flucloxacillin sodium 20 mg/ml
Injectabil Calcium gluconate 2 mg/ml
clorura de sodiu 0,9% 1232
Compatibil
Injectabil Flucloxacillin sodium 40 >> 240 mg/ml
Injectabil Ceftazidime 40 >> 180 mg/ml
clorura de sodiu 0,9% 3091
Compatibil
Injectabil Flucloxacillin sodium 20 mg/ml
Injectabil Cefuroxime sodium 37,5 mg/ml
apa pentru preparate injectabile 1232
Precipitații imediate Incompatibil
Injectabil Flucloxacillin sodium 20 mg/ml
Injectabil Chlorpromazine hydrochloride 5 mg/ml
apa pentru preparate injectabile 1232
Compatibil
Injectabil Flucloxacillin sodium 20 mg/ml
Injectabil Cimetidine hydrochloride 4 mg/ml
clorura de sodiu 0,9% 1232
Incompatibilitate nespecificată Incompatibil
Injectabil Flucloxacillin sodium
Injectabil Ciprofloxacin lactate
3529
Compatibil
Injectabil Flucloxacillin sodium
clorura de sodiu 0,9% 3522
Compatibil
Injectabil Flucloxacillin sodium
Glucoza 5% 3522
Incompatibilitate nespecificată Incompatibil
Injectabil Flucloxacillin sodium
Nutriție parenterală (cu lipide) 3522
Precipitații imediate Incompatibil
Injectabil Flucloxacillin sodium 10 mg/ml
Injectabil Ciprofloxacin lactate 2 mg/ml
fara 1357
Incompatibilitate nespecificată Incompatibil
Injectabil Flucloxacillin sodium
Nutritie parenterala (amestec binar) 3522
Compatibil
Injectabil Flucloxacillin sodium 20 mg/ml
Injectabil Dexamethasone sodium phosphate 4 mg/ml
clorura de sodiu 0,9% 1232
Compatibil
Injectabil Flucloxacillin sodium 20 mg/ml
Injectabil Digoxin 25 µg/ml
clorura de sodiu 0,9% 1232
Compatibil
Injectabil Flucloxacillin sodium 50 mg/ml
Nutritie parenterala (amestec binar) 939
Turbiditate imediată Incompatibil
Injectabil Flucloxacillin sodium 20 mg/ml
Injectabil Dobutamine hydrochloride 0.5 mg/ml
clorura de sodiu 0,9% 1232
Compatibil
Injectabil Flucloxacillin sodium 20 mg/ml
Injectabil Epinephrine hydrochloride 8 µg/ml
apa pentru preparate injectabile 1232
Precipitații imediate Incompatibil
Injectabil Flucloxacillin sodium 20 mg/ml
Injectabil Erythromycin lactobionate 5 mg/ml
clorura de sodiu 0,9% 1232
Incompatibilitate nespecificată Incompatibil
Injectabil Flucloxacillin sodium
Injectabil Erythromycin lactobionate
3674
Compatibil
Injectabil Flucloxacillin sodium 20 mg/ml
Injectabil Furosemide 1 mg/ml
clorura de sodiu 0,9% 1232
Precipitații imediate Incompatibil
Injectabil Flucloxacillin sodium
Injectabil Gentamicin sulfate
3522
Incompatibilitate nespecificată Incompatibil
Injectabil Flucloxacillin sodium
Injectabil Gentamicin sulfate
3643
Compatibil
Injectabil Flucloxacillin sodium 20 mg/ml
Injectabil Hydrocortisone sodium succinate 50 mg/ml
clorura de sodiu 0,9% 1232
Precipitații imediate Incompatibil
Injectabil Flucloxacillin sodium
Injectabil Kanamycin sulfate
3522
Compatibil
Injectabil Flucloxacillin sodium 20 mg/ml
Injectabil Lidocaine hydrochloride 2 mg/ml
clorura de sodiu 0,9% 1232
Turbiditate în 4 ore Incompatibil
Injectabil Flucloxacillin sodium 50 mg/ml
Injectabil Lorazepam 0.33 mg/ml
clorura de sodiu 0,9% 186
Precipitații imediate Incompatibil
Injectabil Flucloxacillin sodium 20 mg/ml
Injectabil Metoclopramide hydrochloride 1 mg/ml
clorura de sodiu 0,9% 1232
Precipitații imediate Incompatibil
Injectabil Flucloxacillin sodium 50 mg/ml
Injectabil Midazolam hydrochloride 5 mg/ml
fara 186
Precipitații imediate Incompatibil
Injectabil Flucloxacillin sodium
Injectabil Netilmicin sulfate
3522
Precipitații după 7 ore Incompatibil
Injectabil Flucloxacillin sodium 10 mg/ml
Injectabil Ofloxacin 2 mg/ml
fara 889
Incompatibilitate nespecificată Incompatibil
Injectabil Flucloxacillin sodium
Injectabil Penicillin G sodium
3585
Compatibil
Injectabil Flucloxacillin sodium 50 mg/ml
Injectabil Pentoxifyllin 5 mg/ml
Glucoza 5% 4538
Turbiditate imediată Incompatibil
Injectabil Flucloxacillin sodium 20 mg/ml
Injectabil Pethidine hydrochloride 5 mg/ml
apa pentru preparate injectabile 1232
Compatibil
Injectabil Flucloxacillin sodium 20 mg/ml
Injectabil Potassium chloride 40 mEq/l
apa pentru preparate injectabile 1232
Precipitații imediate Incompatibil
Injectabil Flucloxacillin sodium 20 mg/ml
Injectabil Prochlorperazine edysilate 1.25 mg/ml
apa pentru preparate injectabile 1232
Precipitații imediate Incompatibil
Injectabil Flucloxacillin sodium 20 mg/ml
Injectabil Promethazine hydrochloride 5 mg/ml
apa pentru preparate injectabile 1232
Compatibil
Injectabil Flucloxacillin sodium 20 mg/ml
Injectabil Ranitidine hydrochloride 0,5 mg/ml
clorura de sodiu 0,9% 1232
Turbiditate imediată Incompatibil
Injectabil Flucloxacillin sodium
Injectabil Sildenafil citrate 0,6 mg/ml
Glucoza 5% 4845
Instabilitate chimică Incompatibil
Injectabil Flucloxacillin sodium 50 mg/ml
Injectabil Sildenafil citrate 0,6 mg/ml
Glucoza 5% 4845
Compatibil
Injectabil Flucloxacillin sodium 20 mg/ml
Injectabil Sodium bicarbonate 84 mg/ml
1232
Compatibil
Injectabil Flucloxacillin sodium 250 mg/ml
Injectabil Temocilline 83.33 mg/ml
apa pentru preparate injectabile 2231
Precipitații imediate Incompatibil
Injectabil Flucloxacillin sodium
Injectabil Tobramycin sulfate
3522
Precipitații după 7 ore Incompatibil
Injectabil Flucloxacillin sodium 20 mg/ml
Injectabil Tobramycin sulfate 8 mg/ml
clorura de sodiu 0,9% 1232
Incompatibilitate nespecificată Incompatibil
Injectabil Flucloxacillin sodium 250 mg/ml
Injectabil Vancomycin hydrochloride 10 mg/ml
Glucoza 5% 3385

  Mentions Légales