Letztes “update” :
18/03/2026
Antibiotikum   Flucloxacillin sodium  
Injektion
Stabilität der Lösung Gemengestabilität Stabilitätbeeinflussende Faktoren Kompatibilitäten Applikationsart Literaturverzeichnis pdf
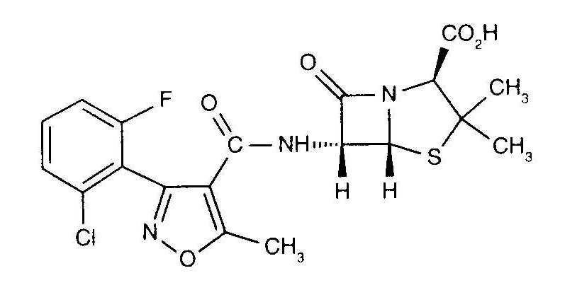
   Chemische Struktur  

Handelsmarke   Handelsmarke     

Handelsnamen sind als beispielhaft anzusehen. Sonstige Bestandteile können je nach Hersteller oder Land verschieden sein

Astaph Marokko
Betabiotic Italien
DBL flucloxacillin sodium Australien
Flix Türkei
Floxam Marokko
Floxapen Belgien, Italien, Marokko, Niederlande, Österreich, Polen, Portugal, Saudi-Arabien, Schweiz, Vereinigte Staaten von Amerika
Flucloxacillin Australien, Deutschland, Großbritannien, Italien
Flucloxacilline Belgien, Frankreich, Niederlande
Flucloxin Neuseeland
Ladropen Vereinigte Staaten von Amerika
Stafoxil Niederlande
Staphylex Deutschland
Kompatibilitäten   Injektion   Kompatibilitäten : Flucloxacillin sodium              
Dieser Bildschirm zeigt die Kompatibilitäten oder Inkompatibilitäten mit der Art der Inkompatibilität (hier: Ausfällung, Farbänderung, Modifikation einer Emulsion usw.) an. Die hier gezeigten Kompatibilitäten sind meist nur physikalisch, wobei die chemische Stabilität jedes Moleküls selten bewertet wird. Die Bewertung dieser Gemische wurde untersucht, um die Möglichkeit einer Verabreichung über eine Y-Verbindung zu berücksichtigen. Diese Daten können daher nicht zur Herstellung von Mischungen im Voraus in Beuteln oder Spritzen verwendet werden. Sie finden diese Informationen auf dem Bildschirm "Stabilität in Mischung».
Molekül Lösungsmittel Literaturverzeichnis
Sofortiger Niederschlag nicht kompatibel
Injektion Flucloxacillin sodium
Injektion Amikacin sulfate
3522
kompatibel
Injektion Flucloxacillin sodium 20 mg/ml
Injektion Aminophylline 1 mg/ml
0,9% Natriumchlorid 1232
Sofortiger Niederschlag nicht kompatibel
Injektion Flucloxacillin sodium 20 mg/ml
Injektion Amiodarone hydrochloride 4 mg/ml
5% Glucose 1232
kompatibel
Injektion Flucloxacillin sodium 20 mg/ml
Injektion Ampicillin sodium 20 mg/ml
0,9% Natriumchlorid 1232
kompatibel
Injektion Flucloxacillin sodium 20 mg/ml
Injektion Bumetanide 0,006 mg/ml
0,9% Natriumchlorid 1232
kompatibel
Injektion Flucloxacillin sodium 50 mg/ml
Injektion Caffeine 10 mg/ml
5% Glucose 4837
kompatibel
Injektion Flucloxacillin sodium 50 mg/ml
Injektion Caffeine citrate 20 mg/ml
5% Glucose 4837
Sofortiger Niederschlag nicht kompatibel
Injektion Flucloxacillin sodium 20 mg/ml
Injektion Calcium gluconate 2 mg/ml
0,9% Natriumchlorid 1232
kompatibel
Injektion Flucloxacillin sodium 40 >> 240 mg/ml
Injektion Ceftazidime 40 >> 180 mg/ml
0,9% Natriumchlorid 3091
kompatibel
Injektion Flucloxacillin sodium 20 mg/ml
Injektion Cefuroxime sodium 37,5 mg/ml
Wasser für injektable präparate 1232
Sofortiger Niederschlag nicht kompatibel
Injektion Flucloxacillin sodium 20 mg/ml
Injektion Chlorpromazine hydrochloride 5 mg/ml
Wasser für injektable präparate 1232
kompatibel
Injektion Flucloxacillin sodium 20 mg/ml
Injektion Cimetidine hydrochloride 4 mg/ml
0,9% Natriumchlorid 1232
Nicht spezifizierte Inkompatibilität nicht kompatibel
Injektion Flucloxacillin sodium
Injektion Ciprofloxacin lactate
3529
kompatibel
Injektion Flucloxacillin sodium
0,9% Natriumchlorid 3522
kompatibel
Injektion Flucloxacillin sodium
5% Glucose 3522
Nicht spezifizierte Inkompatibilität nicht kompatibel
Injektion Flucloxacillin sodium
Parenterale Ernährung (mit Lipiden) 3522
Sofortiger Niederschlag nicht kompatibel
Injektion Flucloxacillin sodium 10 mg/ml
Injektion Ciprofloxacin lactate 2 mg/ml
Kein 1357
Nicht spezifizierte Inkompatibilität nicht kompatibel
Injektion Flucloxacillin sodium
Parenterale Ernährung (Lipid-frei) 3522
kompatibel
Injektion Flucloxacillin sodium 20 mg/ml
Injektion Dexamethasone sodium phosphate 4 mg/ml
0,9% Natriumchlorid 1232
kompatibel
Injektion Flucloxacillin sodium 20 mg/ml
Injektion Digoxin 25 µg/ml
0,9% Natriumchlorid 1232
kompatibel
Injektion Flucloxacillin sodium 50 mg/ml
Parenterale Ernährung (Lipid-frei) 939
Sofortige Trübung nicht kompatibel
Injektion Flucloxacillin sodium 20 mg/ml
Injektion Dobutamine hydrochloride 0.5 mg/ml
0,9% Natriumchlorid 1232
kompatibel
Injektion Flucloxacillin sodium 20 mg/ml
Injektion Epinephrine hydrochloride 8 µg/ml
Wasser für injektable präparate 1232
Sofortiger Niederschlag nicht kompatibel
Injektion Flucloxacillin sodium 20 mg/ml
Injektion Erythromycin lactobionate 5 mg/ml
0,9% Natriumchlorid 1232
Nicht spezifizierte Inkompatibilität nicht kompatibel
Injektion Flucloxacillin sodium
Injektion Erythromycin lactobionate
3674
kompatibel
Injektion Flucloxacillin sodium 20 mg/ml
Injektion Furosemide 1 mg/ml
0,9% Natriumchlorid 1232
Sofortiger Niederschlag nicht kompatibel
Injektion Flucloxacillin sodium
Injektion Gentamicin sulfate
3522
Nicht spezifizierte Inkompatibilität nicht kompatibel
Injektion Flucloxacillin sodium
Injektion Gentamicin sulfate
3643
kompatibel
Injektion Flucloxacillin sodium 20 mg/ml
Injektion Hydrocortisone sodium succinate 50 mg/ml
0,9% Natriumchlorid 1232
Sofortiger Niederschlag nicht kompatibel
Injektion Flucloxacillin sodium
Injektion Kanamycin sulfate
3522
kompatibel
Injektion Flucloxacillin sodium 20 mg/ml
Injektion Lidocaine hydrochloride 2 mg/ml
0,9% Natriumchlorid 1232
Trübung in 4 Stunden nicht kompatibel
Injektion Flucloxacillin sodium 50 mg/ml
Injektion Lorazepam 0.33 mg/ml
0,9% Natriumchlorid 186
Sofortiger Niederschlag nicht kompatibel
Injektion Flucloxacillin sodium 20 mg/ml
Injektion Metoclopramide hydrochloride 1 mg/ml
0,9% Natriumchlorid 1232
Sofortiger Niederschlag nicht kompatibel
Injektion Flucloxacillin sodium 50 mg/ml
Injektion Midazolam hydrochloride 5 mg/ml
Kein 186
Sofortiger Niederschlag nicht kompatibel
Injektion Flucloxacillin sodium
Injektion Netilmicin sulfate
3522
Niederschlag nach 7 Stunden nicht kompatibel
Injektion Flucloxacillin sodium 10 mg/ml
Injektion Ofloxacin 2 mg/ml
Kein 889
Nicht spezifizierte Inkompatibilität nicht kompatibel
Injektion Flucloxacillin sodium
Injektion Penicillin G sodium
3585
kompatibel
Injektion Flucloxacillin sodium 50 mg/ml
Injektion Pentoxifyllin 5 mg/ml
5% Glucose 4538
Sofortige Trübung nicht kompatibel
Injektion Flucloxacillin sodium 20 mg/ml
Injektion Pethidine hydrochloride 5 mg/ml
Wasser für injektable präparate 1232
kompatibel
Injektion Flucloxacillin sodium 20 mg/ml
Injektion Potassium chloride 40 mEq/l
Wasser für injektable präparate 1232
Sofortiger Niederschlag nicht kompatibel
Injektion Flucloxacillin sodium 20 mg/ml
Injektion Prochlorperazine edysilate 1.25 mg/ml
Wasser für injektable präparate 1232
Sofortiger Niederschlag nicht kompatibel
Injektion Flucloxacillin sodium 20 mg/ml
Injektion Promethazine hydrochloride 5 mg/ml
Wasser für injektable präparate 1232
kompatibel
Injektion Flucloxacillin sodium 20 mg/ml
Injektion Ranitidine hydrochloride 0,5 mg/ml
0,9% Natriumchlorid 1232
Sofortige Trübung nicht kompatibel
Injektion Flucloxacillin sodium
Injektion Sildenafil citrate 0,6 mg/ml
5% Glucose 4845
Chemische Instabilität nicht kompatibel
Injektion Flucloxacillin sodium 50 mg/ml
Injektion Sildenafil citrate 0,6 mg/ml
5% Glucose 4845
kompatibel
Injektion Flucloxacillin sodium 20 mg/ml
Injektion Sodium bicarbonate 84 mg/ml
1232
kompatibel
Injektion Flucloxacillin sodium 250 mg/ml
Injektion Temocilline 83.33 mg/ml
Wasser für injektable präparate 2231
Sofortiger Niederschlag nicht kompatibel
Injektion Flucloxacillin sodium
Injektion Tobramycin sulfate
3522
Niederschlag nach 7 Stunden nicht kompatibel
Injektion Flucloxacillin sodium 20 mg/ml
Injektion Tobramycin sulfate 8 mg/ml
0,9% Natriumchlorid 1232
Nicht spezifizierte Inkompatibilität nicht kompatibel
Injektion Flucloxacillin sodium 250 mg/ml
Injektion Vancomycin hydrochloride 10 mg/ml
5% Glucose 3385

  Mentions Légales