最新更新 :
18/03/2026
抗菌薬   Flucloxacillin sodium  
注射薬
溶媒内の安定性 混合時の安定性 安定性に影響する因子 互換性 投与経路 引用文献 PDF
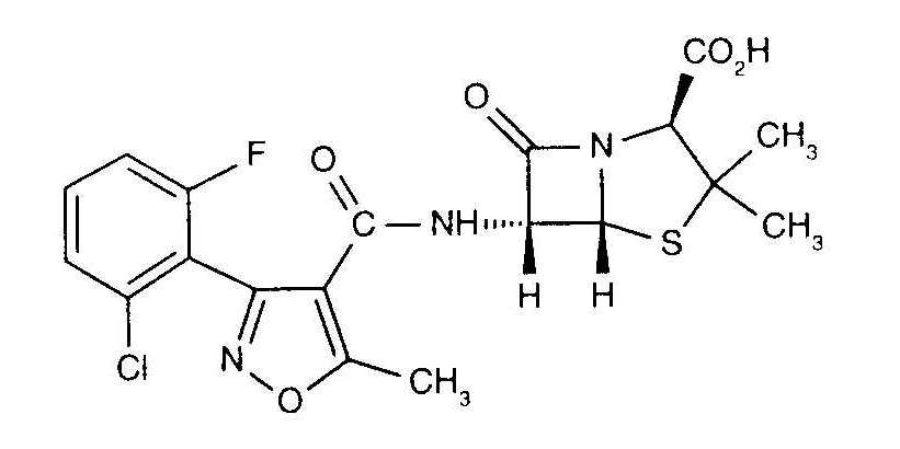
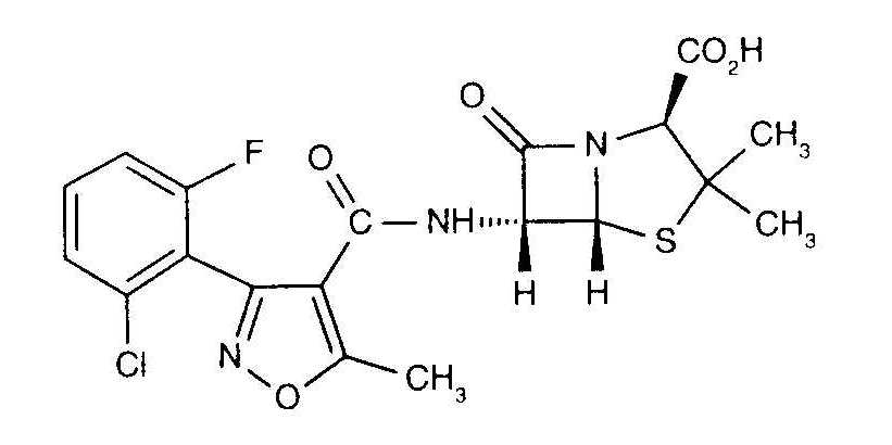
   化学構造  

商品名   商品名     

商品名、賦形剤は国、製薬会社ごとに異なることがあります

Astaph モロッコ
Betabiotic イタリア
DBL flucloxacillin sodium アーストラリア
Flix トルコ
Floxam モロッコ
Floxapen アメリカ, イタリア, オランダ, オーストリア, サウジアラビア, スイス, ベルギー, ポルトガル, ポーランド, モロッコ
Flucloxacillin アーストラリア, イギリス, イタリア, ドイツ
Flucloxacilline オランダ, フランス, ベルギー
Flucloxin ニュージーランド
Ladropen アメリカ
Stafoxil オランダ
Staphylex ドイツ
互換性   注射薬   互換性 : Flucloxacillin sodium              
This screen indicates the compatibilities or incompatibilities with, in this case, the type of incompatibility (precipitation, color change, modification of an emulsion, etc.). The compatibilities shown here are mostly physical only, with the chemical stability of each molecule rarely being assessed. The evaluation of these mixtures was studied to consider the possibility of Y-site administration to the patient. These data cannot be used for making mixtures in advance in bags or syringes. This type of information is available in the screen "Stability in mixture ».
化合物 溶媒 引用文献
即時降水 非互換
注射薬 Flucloxacillin sodium
注射薬 Amikacin sulfate
3522
対応
注射薬 Flucloxacillin sodium 20 mg/ml
注射薬 Aminophylline 1 mg/ml
NaCl 0,9% 1232
即時降水 非互換
注射薬 Flucloxacillin sodium 20 mg/ml
注射薬 Amiodarone hydrochloride 4 mg/ml
グルコース5% 1232
対応
注射薬 Flucloxacillin sodium 20 mg/ml
注射薬 Ampicillin sodium 20 mg/ml
NaCl 0,9% 1232
対応
注射薬 Flucloxacillin sodium 20 mg/ml
注射薬 Bumetanide 0,006 mg/ml
NaCl 0,9% 1232
対応
注射薬 Flucloxacillin sodium 50 mg/ml
注射薬 Caffeine 10 mg/ml
グルコース5% 4837
対応
注射薬 Flucloxacillin sodium 50 mg/ml
注射薬 Caffeine citrate 20 mg/ml
グルコース5% 4837
即時降水 非互換
注射薬 Flucloxacillin sodium 20 mg/ml
注射薬 Calcium gluconate 2 mg/ml
NaCl 0,9% 1232
対応
注射薬 Flucloxacillin sodium 40 >> 240 mg/ml
注射薬 Ceftazidime 40 >> 180 mg/ml
NaCl 0,9% 3091
対応
注射薬 Flucloxacillin sodium 20 mg/ml
注射薬 Cefuroxime sodium 37,5 mg/ml
注射用水 1232
即時降水 非互換
注射薬 Flucloxacillin sodium 20 mg/ml
注射薬 Chlorpromazine hydrochloride 5 mg/ml
注射用水 1232
対応
注射薬 Flucloxacillin sodium 20 mg/ml
注射薬 Cimetidine hydrochloride 4 mg/ml
NaCl 0,9% 1232
不特定の非互換性 非互換
注射薬 Flucloxacillin sodium
注射薬 Ciprofloxacin lactate
3529
対応
注射薬 Flucloxacillin sodium
NaCl 0,9% 3522
対応
注射薬 Flucloxacillin sodium
グルコース5% 3522
不特定の非互換性 非互換
注射薬 Flucloxacillin sodium
非経口的栄養(脂肪含む) 3522
即時降水 非互換
注射薬 Flucloxacillin sodium 10 mg/ml
注射薬 Ciprofloxacin lactate 2 mg/ml
なし 1357
不特定の非互換性 非互換
注射薬 Flucloxacillin sodium
非経口的栄養(二元混合物) 3522
対応
注射薬 Flucloxacillin sodium 20 mg/ml
注射薬 Dexamethasone sodium phosphate 4 mg/ml
NaCl 0,9% 1232
対応
注射薬 Flucloxacillin sodium 20 mg/ml
注射薬 Digoxin 25 µg/ml
NaCl 0,9% 1232
対応
注射薬 Flucloxacillin sodium 50 mg/ml
非経口的栄養(二元混合物) 939
すぐに濁り 非互換
注射薬 Flucloxacillin sodium 20 mg/ml
注射薬 Dobutamine hydrochloride 0.5 mg/ml
NaCl 0,9% 1232
対応
注射薬 Flucloxacillin sodium 20 mg/ml
注射薬 Epinephrine hydrochloride 8 µg/ml
注射用水 1232
即時降水 非互換
注射薬 Flucloxacillin sodium 20 mg/ml
注射薬 Erythromycin lactobionate 5 mg/ml
NaCl 0,9% 1232
不特定の非互換性 非互換
注射薬 Flucloxacillin sodium
注射薬 Erythromycin lactobionate
3674
対応
注射薬 Flucloxacillin sodium 20 mg/ml
注射薬 Furosemide 1 mg/ml
NaCl 0,9% 1232
即時降水 非互換
注射薬 Flucloxacillin sodium
注射薬 Gentamicin sulfate
3522
不特定の非互換性 非互換
注射薬 Flucloxacillin sodium
注射薬 Gentamicin sulfate
3643
対応
注射薬 Flucloxacillin sodium 20 mg/ml
注射薬 Hydrocortisone sodium succinate 50 mg/ml
NaCl 0,9% 1232
即時降水 非互換
注射薬 Flucloxacillin sodium
注射薬 Kanamycin sulfate
3522
対応
注射薬 Flucloxacillin sodium 20 mg/ml
注射薬 Lidocaine hydrochloride 2 mg/ml
NaCl 0,9% 1232
4時間で濁り 非互換
注射薬 Flucloxacillin sodium 50 mg/ml
注射薬 Lorazepam 0.33 mg/ml
NaCl 0,9% 186
即時降水 非互換
注射薬 Flucloxacillin sodium 20 mg/ml
注射薬 Metoclopramide hydrochloride 1 mg/ml
NaCl 0,9% 1232
即時降水 非互換
注射薬 Flucloxacillin sodium 50 mg/ml
注射薬 Midazolam hydrochloride 5 mg/ml
なし 186
即時降水 非互換
注射薬 Flucloxacillin sodium
注射薬 Netilmicin sulfate
3522
7時間後の降水 非互換
注射薬 Flucloxacillin sodium 10 mg/ml
注射薬 Ofloxacin 2 mg/ml
なし 889
不特定の非互換性 非互換
注射薬 Flucloxacillin sodium
注射薬 Penicillin G sodium
3585
対応
注射薬 Flucloxacillin sodium 50 mg/ml
注射薬 Pentoxifyllin 5 mg/ml
グルコース5% 4538
すぐに濁り 非互換
注射薬 Flucloxacillin sodium 20 mg/ml
注射薬 Pethidine hydrochloride 5 mg/ml
注射用水 1232
対応
注射薬 Flucloxacillin sodium 20 mg/ml
注射薬 Potassium chloride 40 mEq/l
注射用水 1232
即時降水 非互換
注射薬 Flucloxacillin sodium 20 mg/ml
注射薬 Prochlorperazine edysilate 1.25 mg/ml
注射用水 1232
即時降水 非互換
注射薬 Flucloxacillin sodium 20 mg/ml
注射薬 Promethazine hydrochloride 5 mg/ml
注射用水 1232
対応
注射薬 Flucloxacillin sodium 20 mg/ml
注射薬 Ranitidine hydrochloride 0,5 mg/ml
NaCl 0,9% 1232
すぐに濁り 非互換
注射薬 Flucloxacillin sodium
注射薬 Sildenafil citrate 0,6 mg/ml
グルコース5% 4845
化学的不安定性 非互換
注射薬 Flucloxacillin sodium 50 mg/ml
注射薬 Sildenafil citrate 0,6 mg/ml
グルコース5% 4845
対応
注射薬 Flucloxacillin sodium 20 mg/ml
注射薬 Sodium bicarbonate 84 mg/ml
1232
対応
注射薬 Flucloxacillin sodium 250 mg/ml
注射薬 Temocilline 83.33 mg/ml
注射用水 2231
即時降水 非互換
注射薬 Flucloxacillin sodium
注射薬 Tobramycin sulfate
3522
7時間後の降水 非互換
注射薬 Flucloxacillin sodium 20 mg/ml
注射薬 Tobramycin sulfate 8 mg/ml
NaCl 0,9% 1232
不特定の非互換性 非互換
注射薬 Flucloxacillin sodium 250 mg/ml
注射薬 Vancomycin hydrochloride 10 mg/ml
グルコース5% 3385

  Mentions Légales