Zadnji put ažurirano :
18/03/2026
antibiotik   Flucloxacillin sodium  
injekcija
Stabilizacija rješenja Stabilnost mješavine Stabilizacijski faktor Kompatibilnosti način davanja lijeka Bibliografija pdf
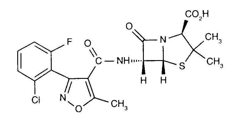
   Kemijska struktura  

Nekomercijalni   Nekomercijalni     

Zaštićeni nazivi su indikativni i sastav ekscipijensa može biti različit ovisno o državi i laboratorijima

Astaph Maroko
Betabiotic Italija
DBL flucloxacillin sodium Australija
Flix Turska
Floxam Maroko
Floxapen Austrija, Belgija, Italija, Maroko, Nizozemska, Poljska, Portugal, S A D, Saudijska Arabija, Švicarska
Flucloxacillin Australija, Italija, Njemačka, Velika Britanija
Flucloxacilline Belgija, Francuska, Nizozemska
Flucloxin novi Zeland
Ladropen S A D
Stafoxil Nizozemska
Staphylex Njemačka
Kompatibilnosti   injekcija   Kompatibilnosti : Flucloxacillin sodium              
Ovdje su prikazane kompatibilnosti ili nekompatibilnosti s tipom nekompatibilnosti (taloženje, promjena boje, modifikacija emulzije itd.) u ovom slučaju. Kompatibilnosti prikazane ovdje najčešće su fizikalne dok se kemijska stabilnost molekule rijetko procjenjuje. Procjena ovih mikstura je proučavana kako bi se razmotrila mogućnost primjene lijeka putem Y-mjesta. Ovi se podaci ne smiju koristiti za pripremu mikstura unaprijed u vrećicama ili štrcaljkama. Ova vrsta informacije se može pronaći u odjeljku « stabilnost u miksturama ».
molekula sredstvo za rastapanje Bibliografija
Neposredne oborine inkompatibilan
injekcija Flucloxacillin sodium
injekcija Amikacin sulfate
3522
Kompatibilan
injekcija Flucloxacillin sodium 20 mg/ml
injekcija Aminophylline 1 mg/ml
natrijumkorid 0,9% 1232
Neposredne oborine inkompatibilan
injekcija Flucloxacillin sodium 20 mg/ml
injekcija Amiodarone hydrochloride 4 mg/ml
glukoza 5% 1232
Kompatibilan
injekcija Flucloxacillin sodium 20 mg/ml
injekcija Ampicillin sodium 20 mg/ml
natrijumkorid 0,9% 1232
Kompatibilan
injekcija Flucloxacillin sodium 20 mg/ml
injekcija Bumetanide 0,006 mg/ml
natrijumkorid 0,9% 1232
Kompatibilan
injekcija Flucloxacillin sodium 50 mg/ml
injekcija Caffeine 10 mg/ml
glukoza 5% 4837
Kompatibilan
injekcija Flucloxacillin sodium 50 mg/ml
injekcija Caffeine citrate 20 mg/ml
glukoza 5% 4837
Neposredne oborine inkompatibilan
injekcija Flucloxacillin sodium 20 mg/ml
injekcija Calcium gluconate 2 mg/ml
natrijumkorid 0,9% 1232
Kompatibilan
injekcija Flucloxacillin sodium 40 >> 240 mg/ml
injekcija Ceftazidime 40 >> 180 mg/ml
natrijumkorid 0,9% 3091
Kompatibilan
injekcija Flucloxacillin sodium 20 mg/ml
injekcija Cefuroxime sodium 37,5 mg/ml
čista voda za injektiranje 1232
Neposredne oborine inkompatibilan
injekcija Flucloxacillin sodium 20 mg/ml
injekcija Chlorpromazine hydrochloride 5 mg/ml
čista voda za injektiranje 1232
Kompatibilan
injekcija Flucloxacillin sodium 20 mg/ml
injekcija Cimetidine hydrochloride 4 mg/ml
natrijumkorid 0,9% 1232
Neodređena nespojivost inkompatibilan
injekcija Flucloxacillin sodium
injekcija Ciprofloxacin lactate
3529
Kompatibilan
injekcija Flucloxacillin sodium
natrijumkorid 0,9% 3522
Kompatibilan
injekcija Flucloxacillin sodium
glukoza 5% 3522
Neodređena nespojivost inkompatibilan
injekcija Flucloxacillin sodium
Parenteralna prehrana (lipidima) 3522
Neposredne oborine inkompatibilan
injekcija Flucloxacillin sodium 10 mg/ml
injekcija Ciprofloxacin lactate 2 mg/ml
nijedan 1357
Neodređena nespojivost inkompatibilan
injekcija Flucloxacillin sodium
Parenteralna prehrana (bezlipidna) 3522
Kompatibilan
injekcija Flucloxacillin sodium 20 mg/ml
injekcija Dexamethasone sodium phosphate 4 mg/ml
natrijumkorid 0,9% 1232
Kompatibilan
injekcija Flucloxacillin sodium 20 mg/ml
injekcija Digoxin 25 µg/ml
natrijumkorid 0,9% 1232
Kompatibilan
injekcija Flucloxacillin sodium 50 mg/ml
Parenteralna prehrana (bezlipidna) 939
Neposredna zamućenost inkompatibilan
injekcija Flucloxacillin sodium 20 mg/ml
injekcija Dobutamine hydrochloride 0.5 mg/ml
natrijumkorid 0,9% 1232
Kompatibilan
injekcija Flucloxacillin sodium 20 mg/ml
injekcija Epinephrine hydrochloride 8 µg/ml
čista voda za injektiranje 1232
Neposredne oborine inkompatibilan
injekcija Flucloxacillin sodium 20 mg/ml
injekcija Erythromycin lactobionate 5 mg/ml
natrijumkorid 0,9% 1232
Neodređena nespojivost inkompatibilan
injekcija Flucloxacillin sodium
injekcija Erythromycin lactobionate
3674
Kompatibilan
injekcija Flucloxacillin sodium 20 mg/ml
injekcija Furosemide 1 mg/ml
natrijumkorid 0,9% 1232
Neposredne oborine inkompatibilan
injekcija Flucloxacillin sodium
injekcija Gentamicin sulfate
3522
Neodređena nespojivost inkompatibilan
injekcija Flucloxacillin sodium
injekcija Gentamicin sulfate
3643
Kompatibilan
injekcija Flucloxacillin sodium 20 mg/ml
injekcija Hydrocortisone sodium succinate 50 mg/ml
natrijumkorid 0,9% 1232
Neposredne oborine inkompatibilan
injekcija Flucloxacillin sodium
injekcija Kanamycin sulfate
3522
Kompatibilan
injekcija Flucloxacillin sodium 20 mg/ml
injekcija Lidocaine hydrochloride 2 mg/ml
natrijumkorid 0,9% 1232
Zamućenost u 4 sata inkompatibilan
injekcija Flucloxacillin sodium 50 mg/ml
injekcija Lorazepam 0.33 mg/ml
natrijumkorid 0,9% 186
Neposredne oborine inkompatibilan
injekcija Flucloxacillin sodium 20 mg/ml
injekcija Metoclopramide hydrochloride 1 mg/ml
natrijumkorid 0,9% 1232
Neposredne oborine inkompatibilan
injekcija Flucloxacillin sodium 50 mg/ml
injekcija Midazolam hydrochloride 5 mg/ml
nijedan 186
Neposredne oborine inkompatibilan
injekcija Flucloxacillin sodium
injekcija Netilmicin sulfate
3522
Padavine nakon 7 sata inkompatibilan
injekcija Flucloxacillin sodium 10 mg/ml
injekcija Ofloxacin 2 mg/ml
nijedan 889
Neodređena nespojivost inkompatibilan
injekcija Flucloxacillin sodium
injekcija Penicillin G sodium
3585
Kompatibilan
injekcija Flucloxacillin sodium 50 mg/ml
injekcija Pentoxifyllin 5 mg/ml
glukoza 5% 4538
Neposredna zamućenost inkompatibilan
injekcija Flucloxacillin sodium 20 mg/ml
injekcija Pethidine hydrochloride 5 mg/ml
čista voda za injektiranje 1232
Kompatibilan
injekcija Flucloxacillin sodium 20 mg/ml
injekcija Potassium chloride 40 mEq/l
čista voda za injektiranje 1232
Neposredne oborine inkompatibilan
injekcija Flucloxacillin sodium 20 mg/ml
injekcija Prochlorperazine edysilate 1.25 mg/ml
čista voda za injektiranje 1232
Neposredne oborine inkompatibilan
injekcija Flucloxacillin sodium 20 mg/ml
injekcija Promethazine hydrochloride 5 mg/ml
čista voda za injektiranje 1232
Kompatibilan
injekcija Flucloxacillin sodium 20 mg/ml
injekcija Ranitidine hydrochloride 0,5 mg/ml
natrijumkorid 0,9% 1232
Neposredna zamućenost inkompatibilan
injekcija Flucloxacillin sodium
injekcija Sildenafil citrate 0,6 mg/ml
glukoza 5% 4845
Kemijska nestabilnost inkompatibilan
injekcija Flucloxacillin sodium 50 mg/ml
injekcija Sildenafil citrate 0,6 mg/ml
glukoza 5% 4845
Kompatibilan
injekcija Flucloxacillin sodium 20 mg/ml
injekcija Sodium bicarbonate 84 mg/ml
1232
Kompatibilan
injekcija Flucloxacillin sodium 250 mg/ml
injekcija Temocilline 83.33 mg/ml
čista voda za injektiranje 2231
Neposredne oborine inkompatibilan
injekcija Flucloxacillin sodium
injekcija Tobramycin sulfate
3522
Padavine nakon 7 sata inkompatibilan
injekcija Flucloxacillin sodium 20 mg/ml
injekcija Tobramycin sulfate 8 mg/ml
natrijumkorid 0,9% 1232
Neodređena nespojivost inkompatibilan
injekcija Flucloxacillin sodium 250 mg/ml
injekcija Vancomycin hydrochloride 10 mg/ml
glukoza 5% 3385

  Mentions Légales