Posledná aktualizácia :
18/03/2026
antibiotikum   Flucloxacillin sodium  
Injekcia
Stabilita roztokov Stabilita v zmesiach Faktory ovplyvňujúce stabilitu Kompatibility spôsob podania Odkazy na literatúru PDF
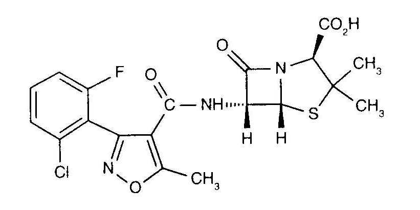
   Chemický vzorec  

Obchodný názov   Obchodný názov     

Obchodné názvy sú orientačné, a zloženie pomocných látok sa môže líšiť v závislosti od krajiny a výrobcu.

Astaph Maroko
Betabiotic Taliansko
DBL flucloxacillin sodium Austrália
Flix Turecko
Floxam Maroko
Floxapen Belgicko, Holandsko, Maroko, Poľsko, Portugalsko, Rakúsko, Saudská Arábia, Spojené štáty Americké, Švajčiarsko, Taliansko
Flucloxacillin Austrália, Nemecko, Taliansko, Veľká Británia
Flucloxacilline Belgicko, Francúzsko, Holandsko
Flucloxin nový Zéland
Ladropen Spojené štáty Americké
Stafoxil Holandsko
Staphylex Nemecko
Kompatibility   Injekcia   Kompatibility : Flucloxacillin sodium              
Toto okno zobrazuje kompatibility alebo inkombatibility, v prípade inkompatibility aj jej typ (vyzrážanie, zmena farby, zmena emulzie atď.). Tu vymenované kompatibility sú väčšinou len fyzikálne, chemická stabilita každej zo zlúčenín sa hodnotila len zriedkavo. Tieto zmesi sa skúmali za účelom možnosti súbežného podávania pacientovi cez infúznu spojku Y. Údaje sa nedajú použiť na prípravu zmesí vo vakoch alebo striekačkách. Taká informácia sa nachádza v okne „Stabilita v zmesiach“.
Zlúčenina rozpúšťadlo odkazy na lieteratúru
Okamžité zrážanie nezlučiteľný
Injekcia Flucloxacillin sodium
Injekcia Amikacin sulfate
3522
kompatibilný
Injekcia Flucloxacillin sodium 20 mg/ml
Injekcia Aminophylline 1 mg/ml
0,9% chlorid sodný 1232
Okamžité zrážanie nezlučiteľný
Injekcia Flucloxacillin sodium 20 mg/ml
Injekcia Amiodarone hydrochloride 4 mg/ml
5% glukóza 1232
kompatibilný
Injekcia Flucloxacillin sodium 20 mg/ml
Injekcia Ampicillin sodium 20 mg/ml
0,9% chlorid sodný 1232
kompatibilný
Injekcia Flucloxacillin sodium 20 mg/ml
Injekcia Bumetanide 0,006 mg/ml
0,9% chlorid sodný 1232
kompatibilný
Injekcia Flucloxacillin sodium 50 mg/ml
Injekcia Caffeine 10 mg/ml
5% glukóza 4837
kompatibilný
Injekcia Flucloxacillin sodium 50 mg/ml
Injekcia Caffeine citrate 20 mg/ml
5% glukóza 4837
Okamžité zrážanie nezlučiteľný
Injekcia Flucloxacillin sodium 20 mg/ml
Injekcia Calcium gluconate 2 mg/ml
0,9% chlorid sodný 1232
kompatibilný
Injekcia Flucloxacillin sodium 40 >> 240 mg/ml
Injekcia Ceftazidime 40 >> 180 mg/ml
0,9% chlorid sodný 3091
kompatibilný
Injekcia Flucloxacillin sodium 20 mg/ml
Injekcia Cefuroxime sodium 37,5 mg/ml
voda na injekciu 1232
Okamžité zrážanie nezlučiteľný
Injekcia Flucloxacillin sodium 20 mg/ml
Injekcia Chlorpromazine hydrochloride 5 mg/ml
voda na injekciu 1232
kompatibilný
Injekcia Flucloxacillin sodium 20 mg/ml
Injekcia Cimetidine hydrochloride 4 mg/ml
0,9% chlorid sodný 1232
Nešpecifikovaná nekompatibilita nezlučiteľný
Injekcia Flucloxacillin sodium
Injekcia Ciprofloxacin lactate
3529
kompatibilný
Injekcia Flucloxacillin sodium
0,9% chlorid sodný 3522
kompatibilný
Injekcia Flucloxacillin sodium
5% glukóza 3522
Nešpecifikovaná nekompatibilita nezlučiteľný
Injekcia Flucloxacillin sodium
Parenterálna výživa (lipidy) 3522
Okamžité zrážanie nezlučiteľný
Injekcia Flucloxacillin sodium 10 mg/ml
Injekcia Ciprofloxacin lactate 2 mg/ml
Žiadny 1357
Nešpecifikovaná nekompatibilita nezlučiteľný
Injekcia Flucloxacillin sodium
parenterálna výživa (binárna zmes) 3522
kompatibilný
Injekcia Flucloxacillin sodium 20 mg/ml
Injekcia Dexamethasone sodium phosphate 4 mg/ml
0,9% chlorid sodný 1232
kompatibilný
Injekcia Flucloxacillin sodium 20 mg/ml
Injekcia Digoxin 25 µg/ml
0,9% chlorid sodný 1232
kompatibilný
Injekcia Flucloxacillin sodium 50 mg/ml
parenterálna výživa (binárna zmes) 939
Okamžitá zákal nezlučiteľný
Injekcia Flucloxacillin sodium 20 mg/ml
Injekcia Dobutamine hydrochloride 0.5 mg/ml
0,9% chlorid sodný 1232
kompatibilný
Injekcia Flucloxacillin sodium 20 mg/ml
Injekcia Epinephrine hydrochloride 8 µg/ml
voda na injekciu 1232
Okamžité zrážanie nezlučiteľný
Injekcia Flucloxacillin sodium 20 mg/ml
Injekcia Erythromycin lactobionate 5 mg/ml
0,9% chlorid sodný 1232
Nešpecifikovaná nekompatibilita nezlučiteľný
Injekcia Flucloxacillin sodium
Injekcia Erythromycin lactobionate
3674
kompatibilný
Injekcia Flucloxacillin sodium 20 mg/ml
Injekcia Furosemide 1 mg/ml
0,9% chlorid sodný 1232
Okamžité zrážanie nezlučiteľný
Injekcia Flucloxacillin sodium
Injekcia Gentamicin sulfate
3522
Nešpecifikovaná nekompatibilita nezlučiteľný
Injekcia Flucloxacillin sodium
Injekcia Gentamicin sulfate
3643
kompatibilný
Injekcia Flucloxacillin sodium 20 mg/ml
Injekcia Hydrocortisone sodium succinate 50 mg/ml
0,9% chlorid sodný 1232
Okamžité zrážanie nezlučiteľný
Injekcia Flucloxacillin sodium
Injekcia Kanamycin sulfate
3522
kompatibilný
Injekcia Flucloxacillin sodium 20 mg/ml
Injekcia Lidocaine hydrochloride 2 mg/ml
0,9% chlorid sodný 1232
Zákal za 4 hodiny nezlučiteľný
Injekcia Flucloxacillin sodium 50 mg/ml
Injekcia Lorazepam 0.33 mg/ml
0,9% chlorid sodný 186
Okamžité zrážanie nezlučiteľný
Injekcia Flucloxacillin sodium 20 mg/ml
Injekcia Metoclopramide hydrochloride 1 mg/ml
0,9% chlorid sodný 1232
Okamžité zrážanie nezlučiteľný
Injekcia Flucloxacillin sodium 50 mg/ml
Injekcia Midazolam hydrochloride 5 mg/ml
Žiadny 186
Okamžité zrážanie nezlučiteľný
Injekcia Flucloxacillin sodium
Injekcia Netilmicin sulfate
3522
Zrážky po 7 hodinách nezlučiteľný
Injekcia Flucloxacillin sodium 10 mg/ml
Injekcia Ofloxacin 2 mg/ml
Žiadny 889
Nešpecifikovaná nekompatibilita nezlučiteľný
Injekcia Flucloxacillin sodium
Injekcia Penicillin G sodium
3585
kompatibilný
Injekcia Flucloxacillin sodium 50 mg/ml
Injekcia Pentoxifyllin 5 mg/ml
5% glukóza 4538
Okamžitá zákal nezlučiteľný
Injekcia Flucloxacillin sodium 20 mg/ml
Injekcia Pethidine hydrochloride 5 mg/ml
voda na injekciu 1232
kompatibilný
Injekcia Flucloxacillin sodium 20 mg/ml
Injekcia Potassium chloride 40 mEq/l
voda na injekciu 1232
Okamžité zrážanie nezlučiteľný
Injekcia Flucloxacillin sodium 20 mg/ml
Injekcia Prochlorperazine edysilate 1.25 mg/ml
voda na injekciu 1232
Okamžité zrážanie nezlučiteľný
Injekcia Flucloxacillin sodium 20 mg/ml
Injekcia Promethazine hydrochloride 5 mg/ml
voda na injekciu 1232
kompatibilný
Injekcia Flucloxacillin sodium 20 mg/ml
Injekcia Ranitidine hydrochloride 0,5 mg/ml
0,9% chlorid sodný 1232
Okamžitá zákal nezlučiteľný
Injekcia Flucloxacillin sodium
Injekcia Sildenafil citrate 0,6 mg/ml
5% glukóza 4845
Chemická nestabilita nezlučiteľný
Injekcia Flucloxacillin sodium 50 mg/ml
Injekcia Sildenafil citrate 0,6 mg/ml
5% glukóza 4845
kompatibilný
Injekcia Flucloxacillin sodium 20 mg/ml
Injekcia Sodium bicarbonate 84 mg/ml
1232
kompatibilný
Injekcia Flucloxacillin sodium 250 mg/ml
Injekcia Temocilline 83.33 mg/ml
voda na injekciu 2231
Okamžité zrážanie nezlučiteľný
Injekcia Flucloxacillin sodium
Injekcia Tobramycin sulfate
3522
Zrážky po 7 hodinách nezlučiteľný
Injekcia Flucloxacillin sodium 20 mg/ml
Injekcia Tobramycin sulfate 8 mg/ml
0,9% chlorid sodný 1232
Nešpecifikovaná nekompatibilita nezlučiteľný
Injekcia Flucloxacillin sodium 250 mg/ml
Injekcia Vancomycin hydrochloride 10 mg/ml
5% glukóza 3385

  Mentions Légales