Cập nhật lần cuối :
18/03/2026
Thuốc ức chế miễn dịch   Ciclosporin  
Dạng tiêm
Dạng bôi da Dung dịch uống Thuốc nhỏ mắt
Tính ổn định của các dung dịch Độ ổn định khi trộn lẫn Những yếu tố ảnh hưởng đến độ ổn định Khả năng tương thích Đường dùng Tài liệu tham khảo Pdf
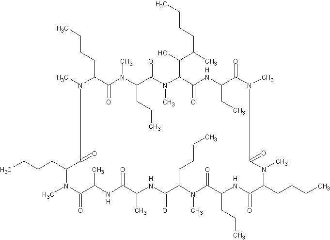
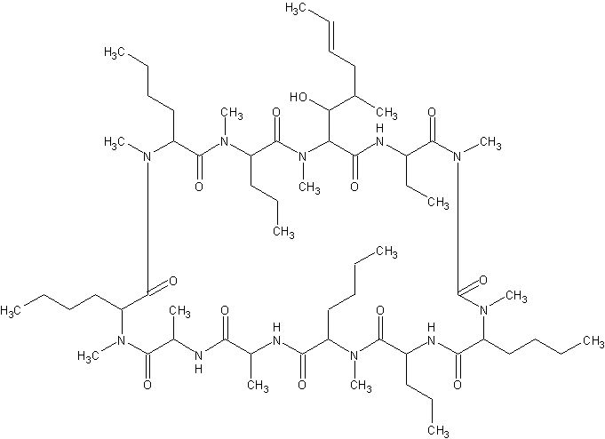
   Cấu trúc hóa học  

Tên thương mại   Tên thương mại     

Các tên thương mại được cung cấp và thành phần tá dược có thể khác nhau giữa các quốc gia và các hãng dược

Cyclosporine Canada, Hoa Kỳ
Graftin Ấn Độ
Sandimmum Ả Rập Saudi, Anh, Áo, Argentina, Ba Lan, Bỉ, Bồ Đào Nha, Chile, Colombia, Hungary, Hy Lạp, Iceland, Iran, Ireland, Luxembourg, Malaysia, Mexico, Morocco, Na Uy, new zealand, Peru, Phần Lan, Tây Ban Nha, Thổ Nhĩ Kỳ, Thụy Sỹ, Thụy Điển, Tunisia, Úc, United Arab Emirates, Ý, Đan Mạch, Đức
Khả năng tương thích   Dạng tiêm   Khả năng tương thích : Ciclosporin              
Màn hình này cho biết khả năng tương thích hoặc không tương thích, trong trường hợp này là loại không tương thích (kết tủa, thay đổi màu sắc, sửa đổi nhũ tương, v.v.). Sự tương hợp được chỉ ra ở đây chủ yếu chỉ là vật lý, với độ ổn định hóa học của mỗi phân tử hiếm khi được đánh giá. Việc đánh giá các hỗn hợp này được nghiên cứu để xem xét khả năng sử dụng vị trí Y cho bệnh nhân. Những dữ liệu này không thể được sử dụng để tạo hỗn hợp trước trong túi hoặc ống tiêm. Loại thông tin này có sẵn trong màn hình "Độ ổn định trong hỗn hợp».
Phân tử Dung môi Mục lục
Tương thích
Dạng tiêm Ciclosporin 2.5 mg/ml
Dinh dưỡng đường tĩnh mạch (hỗn hợp 2 thành phần) 3948
Tương thích
Dạng tiêm Ciclosporin 5 mg/ml
Dạng tiêm Ceftaroline fosamil 2,22 mg/ml
NaCl 0,9% 3249
Tương thích
Dạng tiêm Ciclosporin 5 mg/ml
Dạng tiêm Ceftobiprole medocaril sodium 2 mg/ml
NaCl 0,9% 2269
Tương thích
Dạng tiêm Ciclosporin 5 mg/ml
Dạng tiêm Doripenem 5 mg/ml
NaCl 0,9% 2262
Tương thích
Dạng tiêm Ciclosporin 1 mg/ml
Dạng tiêm Insulin aspart 1 UI/ml
NaCl 0,9% 1508
Tương thích
Dạng tiêm Ciclosporin 2 mg/ml
Dạng tiêm Magnesium sulfate 30 mg/ml
Glucose 5% 291
Lượng mưa ngay lập tức Không tương thích
Dạng tiêm Ciclosporin 5 mg/ml
Dinh dưỡng đường tĩnh mạch (có lipids) 1415
Tương thích
Dạng tiêm Ciclosporin 5 mg/ml
Dạng tiêm Anidulafungin 0.5 mg/ml
Glucose 5% 1982
Độ đục ngay lập tức Không tương thích
Dạng tiêm Ciclosporin 50 mg/ml
Dạng tiêm Ketamine hydrochloride 50 mg/ml
2109
Lượng mưa ngay lập tức Không tương thích
Dạng tiêm Ciclosporin 50 mg/ml
Dung dịch Ringer’s lactate 4603
Mất độ đục Không tương thích
Dạng tiêm Ciclosporin 5 mg/ml
Dạng tiêm Amphotericin B cholesteryl sulfate complex 0.83 mg/ml
Glucose 5% 921
Tương thích
Dạng tiêm Ciclosporin 5 mg/ml
Dạng tiêm Ceftaroline fosamil 2,22 mg/ml
Glucose 5% 3249
Tương thích
Dạng tiêm Ciclosporin 5 mg/ml
Dạng tiêm Ceftobiprole medocaril sodium 2 mg/ml
Dung dịch Ringer’s lactate 2269
Độ đục ngay lập tức Không tương thích
Dạng tiêm Ciclosporin 5 mg/ml
Dạng tiêm Ceftolozane / tazobactam 10/5 mg/ml
NaCl 0,9% 3828
Độ đục ngay lập tức Không tương thích
Dạng tiêm Ciclosporin 5 mg/ml
Dạng tiêm Ceftolozane / tazobactam 10/5 mg/ml
Glucose 5% 3828
Tương thích
Dạng tiêm Ciclosporin 5 mg/ml
Dạng tiêm Doripenem 5 mg/ml
Glucose 5% 2262
Tương thích
Dạng tiêm Ciclosporin 1 mg/ml
Dạng tiêm Insulin aspart 1 UI/ml
Glucose 5% 1508
Độ đục ngay lập tức Không tương thích
Dạng tiêm Ciclosporin 5 mg/ml
Dạng tiêm Isavuconazonium sulfate 1.5 mg/ml
Glucose 5% 3829
Độ đục ngay lập tức Không tương thích
Dạng tiêm Ciclosporin 5 mg/ml
Dạng tiêm Isavuconazonium sulfate 1.5 mg/ml
NaCl 0,9% 3829
Tương thích
Dạng tiêm Ciclosporin 2,5 mg/ml
Dinh dưỡng đường tĩnh mạch (có lipids) 2730
Độ đục ngay lập tức Không tương thích
Dạng tiêm Ciclosporin 50 mg/ml
Dạng tiêm Amoxicillin sodium / clavulanic acid 100/10 mg/ml
3824
Tương thích
Dạng tiêm Ciclosporin 1.2 mg/ml
Dạng tiêm Cefmetazole sodium 100 mg/ml
Nước cất pha tiêm 93
Tương thích
Dạng tiêm Ciclosporin 5 mg/ml
Dạng tiêm Ceftaroline fosamil 2,22 mg/ml
Dung dịch Ringer’s lactate 3249
Tương thích
Dạng tiêm Ciclosporin 5 mg/ml
Dạng tiêm Cloxacillin sodium 100 mg/ml
Nước cất pha tiêm 3012
Tương thích
Dạng tiêm Ciclosporin
Dạng tiêm Dimenhydrinate
2087
Tương thích
Dạng tiêm Ciclosporin 50 mg/ml
Dạng tiêm Ketamine hydrochloride 50 mg/ml
4389
Tương thích
Dạng tiêm Ciclosporin 5 mg/ml
Dạng tiêm Linezolid 2 mg/ml
Không 1925
Tương thích
Dạng tiêm Ciclosporin
Dinh dưỡng đường tĩnh mạch (hỗn hợp 2 thành phần) 3985
Lượng mưa sau 4 giờ Không tương thích
Dạng tiêm Ciclosporin 5 mg/ml
Dinh dưỡng đường tĩnh mạch (hỗn hợp 2 thành phần) 301
Tương thích
Dạng tiêm Ciclosporin 2.5 mg/ml
Dinh dưỡng đường tĩnh mạch (có lipids) 3948
Lượng mưa ngay lập tức Không tương thích
Dạng tiêm Ciclosporin 1 mg/ml
Dạng tiêm Aciclovir sodium 5 mg/ml
NaCl 0,9% 2335
Độ đục trong 4 giờ Không tương thích
Dạng tiêm Ciclosporin 10 mg/ml
Dạng tiêm Atenolol 0,1 mg/ml
NaCl 0,9% 4698
Tương thích
Dạng tiêm Ciclosporin 5 mg/ml
Dạng tiêm Caspofungin acetate 0,7 mg/ml
NaCl 0,9% 2247
Tương thích
Dạng tiêm Ciclosporin 0,5 mg/ml
Dạng tiêm Ciprofloxacin lactate 2 mg/ml
NaCl 0,9% 289
Tương thích
Dạng tiêm Ciclosporin 0,5 mg/ml
Dinh dưỡng đường tĩnh mạch (có lipids) 2730
Tương thích
Dạng tiêm Ciclosporin 1 mg/ml
Dinh dưỡng đường tĩnh mạch (có lipids) 2730
Tương thích
Dạng tiêm Ciclosporin 5 mg/ml
Dạng tiêm Ceftobiprole medocaril sodium 2 mg/ml
Glucose 5% 2269
Tương thích
Dạng tiêm Ciclosporin 1.27 mg/ml
Dạng tiêm Defibrotide 8 mg/ml
NaCl 0,9% 3728
Tương thích
Dạng tiêm Ciclosporin 5 mg/ml
Dạng tiêm Lansoprazole 0.55 mg/ml
NaCl 0,9% 1625
Tương thích
Dạng tiêm Ciclosporin 1 mg/ml
Dạng tiêm Meropenem 10 mg/ml
Glucose 5% 2335
Độ đục ngay lập tức Không tương thích
Dạng tiêm Ciclosporin 5 mg/ml
Dạng tiêm Telavancin hydrochloride 7.5 mg/ml
Dung dịch Ringer’s lactate 3254
Tương thích
Dạng tiêm Ciclosporin
Glucose 5% 3229
Tương thích
Dạng tiêm Ciclosporin 5 mg/ml
Dạng tiêm Meropenem 50 mg/ml
Nước cất pha tiêm 4319
Sản xuất bong bóng khí Không tương thích
Dạng tiêm Ciclosporin 1 mg/ml
Dạng tiêm Mycophenolate mofetil 5,9 mg/ml
Glucose 5% 2192
Tương thích
Dạng tiêm Ciclosporin 5 mg/ml
Dạng tiêm Telavancin hydrochloride 7.5 mg/ml
Glucose 5% 3254
Tương thích
Dạng tiêm Ciclosporin
NaCl 0,9% 3229
Tương thích
Dạng tiêm Ciclosporin 5 mg/ml
Dạng tiêm Micafungin 1.5 mg/ml
NaCl 0,9% 2108
Không tương thích không xác định Không tương thích
Dạng tiêm Ciclosporin 50 mg/ml
Dạng tiêm N-acetylcysteine 200 mg/ml
Không 3766
Lượng mưa ngay lập tức Không tương thích
Dạng tiêm Ciclosporin 50 mg/ml
Dạng tiêm Naloxone hydrochloride 0.4 mg/ml
Không 3408
Lượng mưa ngay lập tức Không tương thích
Dạng tiêm Ciclosporin
Dạng tiêm Pantoprazole sodium
2090
Tương thích
Dạng tiêm Ciclosporin 5 mg/ml
Dạng tiêm Propofol 10 mg/ml
Không 300
Lượng mưa ngay lập tức Không tương thích
Dạng tiêm Ciclosporin 50 mg/ml
Dạng tiêm Salbutamol sulfate 1 mg/ml
Không 3216
Tương thích
Dạng tiêm Ciclosporin 5 mg/ml
Dạng tiêm Sargramostim 6 §15 µg/ml
NaCl 0,9% 891
Độ đục ngay lập tức Không tương thích
Dạng tiêm Ciclosporin 5 mg/ml
Dạng tiêm Tedizolid phosphate 0.8 mg/ml
NaCl 0,9% 3827
Độ đục ngay lập tức Không tương thích
Dạng tiêm Ciclosporin 5 mg/ml
Dạng tiêm Telavancin hydrochloride 7,5 mg/ml
NaCl 0,9% 3254
Lượng mưa ngay lập tức Không tương thích
Dạng tiêm Ciclosporin 50 mg/ml
Dạng tiêm Thiopental sodium 25 mg/ml
NaCl 0,9% 3767

  Mentions Légales