Останнє оновлення :
18/03/2026
Імунодепресант   Ciclosporin  
ін'єкція
Мазі Очні краплі Розчин для перорального застосування
Стійкість в розчинах Стійкість сумішей Фактори, що впливають на стабільність Сумісність Шлях введення Список літератури pdf
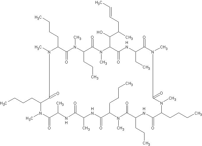
   Хімічна структура  

Торгова назва   Торгова назва     

Торгові назви є орієнтовними, а склад допоміжних речовин може бути різним залежно від країни та виробника

Cyclosporine Канада, Сполучені Штати Америки
Graftin Індія
Sandimmum Іран, Ірландія, Ісландія, Іспанія, Італія, Австрія, Австралія, Аргентина, Бельгія, Великобританія, Греція, Данія, Колумбія, Люксембург, Малайзія, Марокко, Мексика, Німеччина, Нова Зеландія, Норвегія, Об'єднані Арабські Емірати, Перу, Польща, Португалія, Саудівська Аравія, Туніс, Туреччина, Угорщина, Фінляндія, Чилі, Швейцарія, Швеція
Сумісність   ін'єкція   Сумісність : Ciclosporin              
explication_incompatibilite_molecules
З'єднання Розчинник Список літератури
сумісний
ін'єкція Ciclosporin 2.5 mg/ml
Парентеральне харчування (бінарна суміш) 3948
сумісний
ін'єкція Ciclosporin 5 mg/ml
ін'єкція Ceftaroline fosamil 2,22 mg/ml
Натрію хлорид 0,9% 3249
сумісний
ін'єкція Ciclosporin 5 mg/ml
ін'єкція Ceftobiprole medocaril sodium 2 mg/ml
Натрію хлорид 0,9% 2269
сумісний
ін'єкція Ciclosporin 5 mg/ml
ін'єкція Doripenem 5 mg/ml
Натрію хлорид 0,9% 2262
сумісний
ін'єкція Ciclosporin 1 mg/ml
ін'єкція Insulin aspart 1 UI/ml
Натрію хлорид 0,9% 1508
сумісний
ін'єкція Ciclosporin 2 mg/ml
ін'єкція Magnesium sulfate 30 mg/ml
Глюкоза 5% 291
Миттєві опади Несумісні
ін'єкція Ciclosporin 5 mg/ml
Парентеральне харчування (ліпідами) 1415
сумісний
ін'єкція Ciclosporin 5 mg/ml
ін'єкція Anidulafungin 0.5 mg/ml
Глюкоза 5% 1982
Негайне помутніння Несумісні
ін'єкція Ciclosporin 50 mg/ml
ін'єкція Ketamine hydrochloride 50 mg/ml
2109
Миттєві опади Несумісні
ін'єкція Ciclosporin 50 mg/ml
Розчин лактату Рінгера 4603
Втрата каламутності Несумісні
ін'єкція Ciclosporin 5 mg/ml
ін'єкція Amphotericin B cholesteryl sulfate complex 0.83 mg/ml
Глюкоза 5% 921
сумісний
ін'єкція Ciclosporin 5 mg/ml
ін'єкція Ceftaroline fosamil 2,22 mg/ml
Глюкоза 5% 3249
сумісний
ін'єкція Ciclosporin 5 mg/ml
ін'єкція Ceftobiprole medocaril sodium 2 mg/ml
Розчин лактату Рінгера 2269
Негайне помутніння Несумісні
ін'єкція Ciclosporin 5 mg/ml
ін'єкція Ceftolozane / tazobactam 10/5 mg/ml
Натрію хлорид 0,9% 3828
Негайне помутніння Несумісні
ін'єкція Ciclosporin 5 mg/ml
ін'єкція Ceftolozane / tazobactam 10/5 mg/ml
Глюкоза 5% 3828
сумісний
ін'єкція Ciclosporin 5 mg/ml
ін'єкція Doripenem 5 mg/ml
Глюкоза 5% 2262
сумісний
ін'єкція Ciclosporin 1 mg/ml
ін'єкція Insulin aspart 1 UI/ml
Глюкоза 5% 1508
Негайне помутніння Несумісні
ін'єкція Ciclosporin 5 mg/ml
ін'єкція Isavuconazonium sulfate 1.5 mg/ml
Глюкоза 5% 3829
Негайне помутніння Несумісні
ін'єкція Ciclosporin 5 mg/ml
ін'єкція Isavuconazonium sulfate 1.5 mg/ml
Натрію хлорид 0,9% 3829
сумісний
ін'єкція Ciclosporin 2,5 mg/ml
Парентеральне харчування (ліпідами) 2730
Негайне помутніння Несумісні
ін'єкція Ciclosporin 50 mg/ml
ін'єкція Amoxicillin sodium / clavulanic acid 100/10 mg/ml
3824
сумісний
ін'єкція Ciclosporin 1.2 mg/ml
ін'єкція Cefmetazole sodium 100 mg/ml
Вода для ін'єкцій 93
сумісний
ін'єкція Ciclosporin 5 mg/ml
ін'єкція Ceftaroline fosamil 2,22 mg/ml
Розчин лактату Рінгера 3249
сумісний
ін'єкція Ciclosporin 5 mg/ml
ін'єкція Cloxacillin sodium 100 mg/ml
Вода для ін'єкцій 3012
сумісний
ін'єкція Ciclosporin
ін'єкція Dimenhydrinate
2087
сумісний
ін'єкція Ciclosporin 50 mg/ml
ін'єкція Ketamine hydrochloride 50 mg/ml
4389
сумісний
ін'єкція Ciclosporin 5 mg/ml
ін'єкція Linezolid 2 mg/ml
Жодного 1925
сумісний
ін'єкція Ciclosporin
Парентеральне харчування (бінарна суміш) 3985
Опади через 4 год Несумісні
ін'єкція Ciclosporin 5 mg/ml
Парентеральне харчування (бінарна суміш) 301
сумісний
ін'єкція Ciclosporin 2.5 mg/ml
Парентеральне харчування (ліпідами) 3948
Миттєві опади Несумісні
ін'єкція Ciclosporin 1 mg/ml
ін'єкція Aciclovir sodium 5 mg/ml
Натрію хлорид 0,9% 2335
Помутніння через 4 години Несумісні
ін'єкція Ciclosporin 10 mg/ml
ін'єкція Atenolol 0,1 mg/ml
Натрію хлорид 0,9% 4698
сумісний
ін'єкція Ciclosporin 5 mg/ml
ін'єкція Caspofungin acetate 0,7 mg/ml
Натрію хлорид 0,9% 2247
сумісний
ін'єкція Ciclosporin 0,5 mg/ml
ін'єкція Ciprofloxacin lactate 2 mg/ml
Натрію хлорид 0,9% 289
сумісний
ін'єкція Ciclosporin 0,5 mg/ml
Парентеральне харчування (ліпідами) 2730
сумісний
ін'єкція Ciclosporin 1 mg/ml
Парентеральне харчування (ліпідами) 2730
сумісний
ін'єкція Ciclosporin 5 mg/ml
ін'єкція Ceftobiprole medocaril sodium 2 mg/ml
Глюкоза 5% 2269
сумісний
ін'єкція Ciclosporin 1.27 mg/ml
ін'єкція Defibrotide 8 mg/ml
Натрію хлорид 0,9% 3728
сумісний
ін'єкція Ciclosporin 5 mg/ml
ін'єкція Lansoprazole 0.55 mg/ml
Натрію хлорид 0,9% 1625
сумісний
ін'єкція Ciclosporin 1 mg/ml
ін'єкція Meropenem 10 mg/ml
Глюкоза 5% 2335
Негайне помутніння Несумісні
ін'єкція Ciclosporin 5 mg/ml
ін'єкція Telavancin hydrochloride 7.5 mg/ml
Розчин лактату Рінгера 3254
сумісний
ін'єкція Ciclosporin
Глюкоза 5% 3229
сумісний
ін'єкція Ciclosporin 5 mg/ml
ін'єкція Meropenem 50 mg/ml
Вода для ін'єкцій 4319
Виробництво бульбашок газу Несумісні
ін'єкція Ciclosporin 1 mg/ml
ін'єкція Mycophenolate mofetil 5,9 mg/ml
Глюкоза 5% 2192
сумісний
ін'єкція Ciclosporin 5 mg/ml
ін'єкція Telavancin hydrochloride 7.5 mg/ml
Глюкоза 5% 3254
сумісний
ін'єкція Ciclosporin
Натрію хлорид 0,9% 3229
сумісний
ін'єкція Ciclosporin 5 mg/ml
ін'єкція Micafungin 1.5 mg/ml
Натрію хлорид 0,9% 2108
Неуточнена несумісність Несумісні
ін'єкція Ciclosporin 50 mg/ml
ін'єкція N-acetylcysteine 200 mg/ml
Жодного 3766
Миттєві опади Несумісні
ін'єкція Ciclosporin 50 mg/ml
ін'єкція Naloxone hydrochloride 0.4 mg/ml
Жодного 3408
Миттєві опади Несумісні
ін'єкція Ciclosporin
ін'єкція Pantoprazole sodium
2090
сумісний
ін'єкція Ciclosporin 5 mg/ml
ін'єкція Propofol 10 mg/ml
Жодного 300
Миттєві опади Несумісні
ін'єкція Ciclosporin 50 mg/ml
ін'єкція Salbutamol sulfate 1 mg/ml
Жодного 3216
сумісний
ін'єкція Ciclosporin 5 mg/ml
ін'єкція Sargramostim 6 §15 µg/ml
Натрію хлорид 0,9% 891
Негайне помутніння Несумісні
ін'єкція Ciclosporin 5 mg/ml
ін'єкція Tedizolid phosphate 0.8 mg/ml
Натрію хлорид 0,9% 3827
Негайне помутніння Несумісні
ін'єкція Ciclosporin 5 mg/ml
ін'єкція Telavancin hydrochloride 7,5 mg/ml
Натрію хлорид 0,9% 3254
Миттєві опади Несумісні
ін'єкція Ciclosporin 50 mg/ml
ін'єкція Thiopental sodium 25 mg/ml
Натрію хлорид 0,9% 3767

  Mentions Légales