Posledná aktualizácia :
18/03/2026
imunosupresívum   Ciclosporin  
Injekcia
Dermálny prípravok Očná instilácia Perorálny roztok
Stabilita roztokov Stabilita v zmesiach Faktory ovplyvňujúce stabilitu Kompatibility spôsob podania Odkazy na literatúru PDF
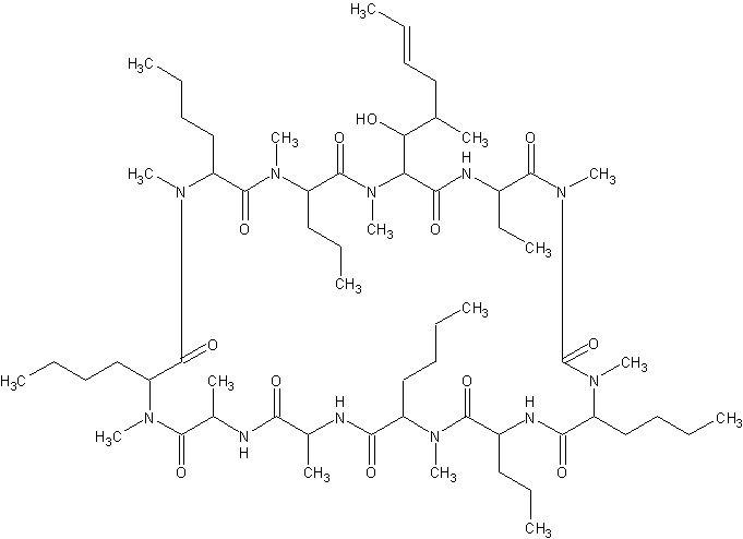
   Chemický vzorec  

Obchodný názov   Obchodný názov     

Obchodné názvy sú orientačné, a zloženie pomocných látok sa môže líšiť v závislosti od krajiny a výrobcu.

Cyclosporine Kanada, Spojené štáty Americké
Graftin India
Sandimmum Argentína, Austrália, Belgicko, Čile, Dánsko, Fínsko, Grécko, Irán, Írsko, Island, Kolumbia, Luxembursko, Maďarsko, Malajzia, Maroko, Mexiko, Nemecko, Nórsko, nový Zéland, peru, Poľsko, Portugalsko, Rakúsko, Saudská Arábia, Španielsko, Spojené arabské emiráty, Švajčiarsko, Švédsko, Taliansko, Tunisko, Turecko, Veľká Británia
Kompatibility   Injekcia   Kompatibility : Ciclosporin              
Toto okno zobrazuje kompatibility alebo inkombatibility, v prípade inkompatibility aj jej typ (vyzrážanie, zmena farby, zmena emulzie atď.). Tu vymenované kompatibility sú väčšinou len fyzikálne, chemická stabilita každej zo zlúčenín sa hodnotila len zriedkavo. Tieto zmesi sa skúmali za účelom možnosti súbežného podávania pacientovi cez infúznu spojku Y. Údaje sa nedajú použiť na prípravu zmesí vo vakoch alebo striekačkách. Taká informácia sa nachádza v okne „Stabilita v zmesiach“.
Zlúčenina rozpúšťadlo odkazy na lieteratúru
kompatibilný
Injekcia Ciclosporin 2.5 mg/ml
parenterálna výživa (binárna zmes) 3948
kompatibilný
Injekcia Ciclosporin 5 mg/ml
Injekcia Ceftaroline fosamil 2,22 mg/ml
0,9% chlorid sodný 3249
kompatibilný
Injekcia Ciclosporin 5 mg/ml
Injekcia Ceftobiprole medocaril sodium 2 mg/ml
0,9% chlorid sodný 2269
kompatibilný
Injekcia Ciclosporin 5 mg/ml
Injekcia Doripenem 5 mg/ml
0,9% chlorid sodný 2262
kompatibilný
Injekcia Ciclosporin 1 mg/ml
Injekcia Insulin aspart 1 UI/ml
0,9% chlorid sodný 1508
kompatibilný
Injekcia Ciclosporin 2 mg/ml
Injekcia Magnesium sulfate 30 mg/ml
5% glukóza 291
Okamžité zrážanie nezlučiteľný
Injekcia Ciclosporin 5 mg/ml
Parenterálna výživa (lipidy) 1415
kompatibilný
Injekcia Ciclosporin 5 mg/ml
Injekcia Anidulafungin 0.5 mg/ml
5% glukóza 1982
Okamžitá zákal nezlučiteľný
Injekcia Ciclosporin 50 mg/ml
Injekcia Ketamine hydrochloride 50 mg/ml
2109
Okamžité zrážanie nezlučiteľný
Injekcia Ciclosporin 50 mg/ml
Ringerov laktátový roztok 4603
Strata zákalu nezlučiteľný
Injekcia Ciclosporin 5 mg/ml
Injekcia Amphotericin B cholesteryl sulfate complex 0.83 mg/ml
5% glukóza 921
kompatibilný
Injekcia Ciclosporin 5 mg/ml
Injekcia Ceftaroline fosamil 2,22 mg/ml
5% glukóza 3249
kompatibilný
Injekcia Ciclosporin 5 mg/ml
Injekcia Ceftobiprole medocaril sodium 2 mg/ml
Ringerov laktátový roztok 2269
Okamžitá zákal nezlučiteľný
Injekcia Ciclosporin 5 mg/ml
Injekcia Ceftolozane / tazobactam 10/5 mg/ml
0,9% chlorid sodný 3828
Okamžitá zákal nezlučiteľný
Injekcia Ciclosporin 5 mg/ml
Injekcia Ceftolozane / tazobactam 10/5 mg/ml
5% glukóza 3828
kompatibilný
Injekcia Ciclosporin 5 mg/ml
Injekcia Doripenem 5 mg/ml
5% glukóza 2262
kompatibilný
Injekcia Ciclosporin 1 mg/ml
Injekcia Insulin aspart 1 UI/ml
5% glukóza 1508
Okamžitá zákal nezlučiteľný
Injekcia Ciclosporin 5 mg/ml
Injekcia Isavuconazonium sulfate 1.5 mg/ml
5% glukóza 3829
Okamžitá zákal nezlučiteľný
Injekcia Ciclosporin 5 mg/ml
Injekcia Isavuconazonium sulfate 1.5 mg/ml
0,9% chlorid sodný 3829
kompatibilný
Injekcia Ciclosporin 2,5 mg/ml
Parenterálna výživa (lipidy) 2730
Okamžitá zákal nezlučiteľný
Injekcia Ciclosporin 50 mg/ml
Injekcia Amoxicillin sodium / clavulanic acid 100/10 mg/ml
3824
kompatibilný
Injekcia Ciclosporin 1.2 mg/ml
Injekcia Cefmetazole sodium 100 mg/ml
voda na injekciu 93
kompatibilný
Injekcia Ciclosporin 5 mg/ml
Injekcia Ceftaroline fosamil 2,22 mg/ml
Ringerov laktátový roztok 3249
kompatibilný
Injekcia Ciclosporin 5 mg/ml
Injekcia Cloxacillin sodium 100 mg/ml
voda na injekciu 3012
kompatibilný
Injekcia Ciclosporin
Injekcia Dimenhydrinate
2087
kompatibilný
Injekcia Ciclosporin 50 mg/ml
Injekcia Ketamine hydrochloride 50 mg/ml
4389
kompatibilný
Injekcia Ciclosporin 5 mg/ml
Injekcia Linezolid 2 mg/ml
Žiadny 1925
kompatibilný
Injekcia Ciclosporin
parenterálna výživa (binárna zmes) 3985
Zrážky po 4 hodinách nezlučiteľný
Injekcia Ciclosporin 5 mg/ml
parenterálna výživa (binárna zmes) 301
kompatibilný
Injekcia Ciclosporin 2.5 mg/ml
Parenterálna výživa (lipidy) 3948
Okamžité zrážanie nezlučiteľný
Injekcia Ciclosporin 1 mg/ml
Injekcia Aciclovir sodium 5 mg/ml
0,9% chlorid sodný 2335
Zákal za 4 hodiny nezlučiteľný
Injekcia Ciclosporin 10 mg/ml
Injekcia Atenolol 0,1 mg/ml
0,9% chlorid sodný 4698
kompatibilný
Injekcia Ciclosporin 5 mg/ml
Injekcia Caspofungin acetate 0,7 mg/ml
0,9% chlorid sodný 2247
kompatibilný
Injekcia Ciclosporin 0,5 mg/ml
Injekcia Ciprofloxacin lactate 2 mg/ml
0,9% chlorid sodný 289
kompatibilný
Injekcia Ciclosporin 0,5 mg/ml
Parenterálna výživa (lipidy) 2730
kompatibilný
Injekcia Ciclosporin 1 mg/ml
Parenterálna výživa (lipidy) 2730
kompatibilný
Injekcia Ciclosporin 5 mg/ml
Injekcia Ceftobiprole medocaril sodium 2 mg/ml
5% glukóza 2269
kompatibilný
Injekcia Ciclosporin 1.27 mg/ml
Injekcia Defibrotide 8 mg/ml
0,9% chlorid sodný 3728
kompatibilný
Injekcia Ciclosporin 5 mg/ml
Injekcia Lansoprazole 0.55 mg/ml
0,9% chlorid sodný 1625
kompatibilný
Injekcia Ciclosporin 1 mg/ml
Injekcia Meropenem 10 mg/ml
5% glukóza 2335
Okamžitá zákal nezlučiteľný
Injekcia Ciclosporin 5 mg/ml
Injekcia Telavancin hydrochloride 7.5 mg/ml
Ringerov laktátový roztok 3254
kompatibilný
Injekcia Ciclosporin
5% glukóza 3229
kompatibilný
Injekcia Ciclosporin 5 mg/ml
Injekcia Meropenem 50 mg/ml
voda na injekciu 4319
Výroba plynových bublín nezlučiteľný
Injekcia Ciclosporin 1 mg/ml
Injekcia Mycophenolate mofetil 5,9 mg/ml
5% glukóza 2192
kompatibilný
Injekcia Ciclosporin 5 mg/ml
Injekcia Telavancin hydrochloride 7.5 mg/ml
5% glukóza 3254
kompatibilný
Injekcia Ciclosporin
0,9% chlorid sodný 3229
kompatibilný
Injekcia Ciclosporin 5 mg/ml
Injekcia Micafungin 1.5 mg/ml
0,9% chlorid sodný 2108
Nešpecifikovaná nekompatibilita nezlučiteľný
Injekcia Ciclosporin 50 mg/ml
Injekcia N-acetylcysteine 200 mg/ml
Žiadny 3766
Okamžité zrážanie nezlučiteľný
Injekcia Ciclosporin 50 mg/ml
Injekcia Naloxone hydrochloride 0.4 mg/ml
Žiadny 3408
Okamžité zrážanie nezlučiteľný
Injekcia Ciclosporin
Injekcia Pantoprazole sodium
2090
kompatibilný
Injekcia Ciclosporin 5 mg/ml
Injekcia Propofol 10 mg/ml
Žiadny 300
Okamžité zrážanie nezlučiteľný
Injekcia Ciclosporin 50 mg/ml
Injekcia Salbutamol sulfate 1 mg/ml
Žiadny 3216
kompatibilný
Injekcia Ciclosporin 5 mg/ml
Injekcia Sargramostim 6 §15 µg/ml
0,9% chlorid sodný 891
Okamžitá zákal nezlučiteľný
Injekcia Ciclosporin 5 mg/ml
Injekcia Tedizolid phosphate 0.8 mg/ml
0,9% chlorid sodný 3827
Okamžitá zákal nezlučiteľný
Injekcia Ciclosporin 5 mg/ml
Injekcia Telavancin hydrochloride 7,5 mg/ml
0,9% chlorid sodný 3254
Okamžité zrážanie nezlučiteľný
Injekcia Ciclosporin 50 mg/ml
Injekcia Thiopental sodium 25 mg/ml
0,9% chlorid sodný 3767

  Mentions Légales