Seneste opdatering :
18/03/2026
Immunsuppressivum   Ciclosporin  
Injektion
Oral opløsning Salver Øjendråber
Stabilitet i (vandige) opløsninger Stabilitet i blandinger Faktorer der påvirker stabiliteten Kompatibilitet Administrationsvej Bibliografi pdf
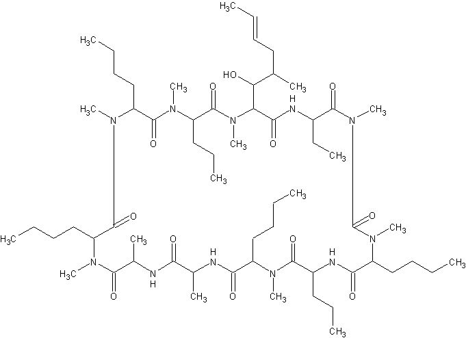
   Kemisk struktur  

Handelsnavn   Handelsnavn     

Handel navne er vejledende og hjælpestoffer sammensætning kan være forskellig afhængigt af landet og laboratorier

Cyclosporine Canada, USA
Graftin Indien
Sandimmum Argentina, Australien, Belgien, Chile, Colombia, Danmark, Finland, Forenede Arabiske Emirater, Grækenland, Iran, Irland, Island, Italien, Luxemborg, Malaysia, Marokko, Marokko, Mexico, New Zealand, Norge, Polen, Portugal, Saudi-Arabien, Schweiz, Spanien, Storbritanien, Sverige, Tunesien, Tyrkiet, Tyskland, Ungarn, Østrig
Kompatibilitet   Injektion   Kompatibilitet : Ciclosporin              
Denne skærm viser kompatibilitet eller uforenelighed med, i dette tilfælde typen af inkompatibilitet (udfældning, farveændring, ændring af en emulsion osv.). Kompatibiliteterne vist her er for det meste kun fysiske, idet den kemiske stabilitet af hvert molekyle sjældent vurderes. Evalueringen af disse blandinger blev undersøgt for at overveje muligheden for Y-sted-administration til patienten. Disse data kan ikke bruges til at fremstille blandinger på forhånd i poser eller sprøjter. Denne type information findes på skærmen "Stabilitet i blanding".
Molekyle Opløsningsmiddel Bibliografi
Kompatibel
Injektion Ciclosporin 2.5 mg/ml
Parenteral ernæring (lipid-fri) 3948
Kompatibel
Injektion Ciclosporin 5 mg/ml
Injektion Ceftaroline fosamil 2,22 mg/ml
0,9 % Natriumklorid 3249
Kompatibel
Injektion Ciclosporin 5 mg/ml
Injektion Ceftobiprole medocaril sodium 2 mg/ml
0,9 % Natriumklorid 2269
Kompatibel
Injektion Ciclosporin 5 mg/ml
Injektion Doripenem 5 mg/ml
0,9 % Natriumklorid 2262
Kompatibel
Injektion Ciclosporin 1 mg/ml
Injektion Insulin aspart 1 UI/ml
0,9 % Natriumklorid 1508
Kompatibel
Injektion Ciclosporin 2 mg/ml
Injektion Magnesium sulfate 30 mg/ml
5 % Glukose 291
Umiddelbar nedbør Uforenelig
Injektion Ciclosporin 5 mg/ml
Parenteral ernæring (lipider) 1415
Kompatibel
Injektion Ciclosporin 5 mg/ml
Injektion Anidulafungin 0.5 mg/ml
5 % Glukose 1982
Umiddelbar turbiditet Uforenelig
Injektion Ciclosporin 50 mg/ml
Injektion Ketamine hydrochloride 50 mg/ml
2109
Umiddelbar nedbør Uforenelig
Injektion Ciclosporin 50 mg/ml
Ringer laktat 4603
Tab af uklarhed Uforenelig
Injektion Ciclosporin 5 mg/ml
Injektion Amphotericin B cholesteryl sulfate complex 0.83 mg/ml
5 % Glukose 921
Kompatibel
Injektion Ciclosporin 5 mg/ml
Injektion Ceftaroline fosamil 2,22 mg/ml
5 % Glukose 3249
Kompatibel
Injektion Ciclosporin 5 mg/ml
Injektion Ceftobiprole medocaril sodium 2 mg/ml
Ringer laktat 2269
Umiddelbar turbiditet Uforenelig
Injektion Ciclosporin 5 mg/ml
Injektion Ceftolozane / tazobactam 10/5 mg/ml
0,9 % Natriumklorid 3828
Umiddelbar turbiditet Uforenelig
Injektion Ciclosporin 5 mg/ml
Injektion Ceftolozane / tazobactam 10/5 mg/ml
5 % Glukose 3828
Kompatibel
Injektion Ciclosporin 5 mg/ml
Injektion Doripenem 5 mg/ml
5 % Glukose 2262
Kompatibel
Injektion Ciclosporin 1 mg/ml
Injektion Insulin aspart 1 UI/ml
5 % Glukose 1508
Umiddelbar turbiditet Uforenelig
Injektion Ciclosporin 5 mg/ml
Injektion Isavuconazonium sulfate 1.5 mg/ml
5 % Glukose 3829
Umiddelbar turbiditet Uforenelig
Injektion Ciclosporin 5 mg/ml
Injektion Isavuconazonium sulfate 1.5 mg/ml
0,9 % Natriumklorid 3829
Kompatibel
Injektion Ciclosporin 2,5 mg/ml
Parenteral ernæring (lipider) 2730
Umiddelbar turbiditet Uforenelig
Injektion Ciclosporin 50 mg/ml
Injektion Amoxicillin sodium / clavulanic acid 100/10 mg/ml
3824
Kompatibel
Injektion Ciclosporin 1.2 mg/ml
Injektion Cefmetazole sodium 100 mg/ml
Vand til injektion 93
Kompatibel
Injektion Ciclosporin 5 mg/ml
Injektion Ceftaroline fosamil 2,22 mg/ml
Ringer laktat 3249
Kompatibel
Injektion Ciclosporin 5 mg/ml
Injektion Cloxacillin sodium 100 mg/ml
Vand til injektion 3012
Kompatibel
Injektion Ciclosporin
Injektion Dimenhydrinate
2087
Kompatibel
Injektion Ciclosporin 50 mg/ml
Injektion Ketamine hydrochloride 50 mg/ml
4389
Kompatibel
Injektion Ciclosporin 5 mg/ml
Injektion Linezolid 2 mg/ml
Ingen 1925
Kompatibel
Injektion Ciclosporin
Parenteral ernæring (lipid-fri) 3985
Nedbør efter 4 timer Uforenelig
Injektion Ciclosporin 5 mg/ml
Parenteral ernæring (lipid-fri) 301
Kompatibel
Injektion Ciclosporin 2.5 mg/ml
Parenteral ernæring (lipider) 3948
Umiddelbar nedbør Uforenelig
Injektion Ciclosporin 1 mg/ml
Injektion Aciclovir sodium 5 mg/ml
0,9 % Natriumklorid 2335
Turbiditet på 4 timer Uforenelig
Injektion Ciclosporin 10 mg/ml
Injektion Atenolol 0,1 mg/ml
0,9 % Natriumklorid 4698
Kompatibel
Injektion Ciclosporin 5 mg/ml
Injektion Caspofungin acetate 0,7 mg/ml
0,9 % Natriumklorid 2247
Kompatibel
Injektion Ciclosporin 0,5 mg/ml
Injektion Ciprofloxacin lactate 2 mg/ml
0,9 % Natriumklorid 289
Kompatibel
Injektion Ciclosporin 0,5 mg/ml
Parenteral ernæring (lipider) 2730
Kompatibel
Injektion Ciclosporin 1 mg/ml
Parenteral ernæring (lipider) 2730
Kompatibel
Injektion Ciclosporin 5 mg/ml
Injektion Ceftobiprole medocaril sodium 2 mg/ml
5 % Glukose 2269
Kompatibel
Injektion Ciclosporin 1.27 mg/ml
Injektion Defibrotide 8 mg/ml
0,9 % Natriumklorid 3728
Kompatibel
Injektion Ciclosporin 5 mg/ml
Injektion Lansoprazole 0.55 mg/ml
0,9 % Natriumklorid 1625
Kompatibel
Injektion Ciclosporin 1 mg/ml
Injektion Meropenem 10 mg/ml
5 % Glukose 2335
Umiddelbar turbiditet Uforenelig
Injektion Ciclosporin 5 mg/ml
Injektion Telavancin hydrochloride 7.5 mg/ml
Ringer laktat 3254
Kompatibel
Injektion Ciclosporin
5 % Glukose 3229
Kompatibel
Injektion Ciclosporin 5 mg/ml
Injektion Meropenem 50 mg/ml
Vand til injektion 4319
Produktion af gasbobler Uforenelig
Injektion Ciclosporin 1 mg/ml
Injektion Mycophenolate mofetil 5,9 mg/ml
5 % Glukose 2192
Kompatibel
Injektion Ciclosporin 5 mg/ml
Injektion Telavancin hydrochloride 7.5 mg/ml
5 % Glukose 3254
Kompatibel
Injektion Ciclosporin
0,9 % Natriumklorid 3229
Kompatibel
Injektion Ciclosporin 5 mg/ml
Injektion Micafungin 1.5 mg/ml
0,9 % Natriumklorid 2108
Uspecificeret inkompatibilitet Uforenelig
Injektion Ciclosporin 50 mg/ml
Injektion N-acetylcysteine 200 mg/ml
Ingen 3766
Umiddelbar nedbør Uforenelig
Injektion Ciclosporin 50 mg/ml
Injektion Naloxone hydrochloride 0.4 mg/ml
Ingen 3408
Umiddelbar nedbør Uforenelig
Injektion Ciclosporin
Injektion Pantoprazole sodium
2090
Kompatibel
Injektion Ciclosporin 5 mg/ml
Injektion Propofol 10 mg/ml
Ingen 300
Umiddelbar nedbør Uforenelig
Injektion Ciclosporin 50 mg/ml
Injektion Salbutamol sulfate 1 mg/ml
Ingen 3216
Kompatibel
Injektion Ciclosporin 5 mg/ml
Injektion Sargramostim 6 §15 µg/ml
0,9 % Natriumklorid 891
Umiddelbar turbiditet Uforenelig
Injektion Ciclosporin 5 mg/ml
Injektion Tedizolid phosphate 0.8 mg/ml
0,9 % Natriumklorid 3827
Umiddelbar turbiditet Uforenelig
Injektion Ciclosporin 5 mg/ml
Injektion Telavancin hydrochloride 7,5 mg/ml
0,9 % Natriumklorid 3254
Umiddelbar nedbør Uforenelig
Injektion Ciclosporin 50 mg/ml
Injektion Thiopental sodium 25 mg/ml
0,9 % Natriumklorid 3767

  Mentions Légales