Zadnji put ažurirano :
18/03/2026
imunosupresori   Ciclosporin  
injekcija
kapi za oko masti oralna otopina
Stabilizacija rješenja Stabilnost mješavine Stabilizacijski faktor Kompatibilnosti način davanja lijeka Bibliografija pdf
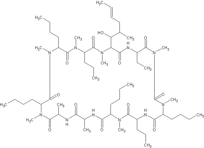
   Kemijska struktura  

Nekomercijalni   Nekomercijalni     

Zaštićeni nazivi su indikativni i sastav ekscipijensa može biti različit ovisno o državi i laboratorijima

Cyclosporine Kanada, S A D
Graftin Indija
Sandimmum Argentina, Australija, Austrija, Belgija, Čile, Danska, Finska, Grčka, Iran, Irska, Island, Italija, Kolumbija, Luksemburg, Madžarska, Malezija, Maroko, Meksiko, Njemačka, Norveška, novi Zeland, Peru, Poljska, Portugal, Saudijska Arabija, Španjolska, Švedska, Švicarska, Tunis, Turska, Ujedinjeni Arapski Emirati, Velika Britanija
Kompatibilnosti   injekcija   Kompatibilnosti : Ciclosporin              
Ovdje su prikazane kompatibilnosti ili nekompatibilnosti s tipom nekompatibilnosti (taloženje, promjena boje, modifikacija emulzije itd.) u ovom slučaju. Kompatibilnosti prikazane ovdje najčešće su fizikalne dok se kemijska stabilnost molekule rijetko procjenjuje. Procjena ovih mikstura je proučavana kako bi se razmotrila mogućnost primjene lijeka putem Y-mjesta. Ovi se podaci ne smiju koristiti za pripremu mikstura unaprijed u vrećicama ili štrcaljkama. Ova vrsta informacije se može pronaći u odjeljku « stabilnost u miksturama ».
molekula sredstvo za rastapanje Bibliografija
Kompatibilan
injekcija Ciclosporin 2.5 mg/ml
Parenteralna prehrana (bezlipidna) 3948
Kompatibilan
injekcija Ciclosporin 5 mg/ml
injekcija Ceftaroline fosamil 2,22 mg/ml
natrijumkorid 0,9% 3249
Kompatibilan
injekcija Ciclosporin 5 mg/ml
injekcija Ceftobiprole medocaril sodium 2 mg/ml
natrijumkorid 0,9% 2269
Kompatibilan
injekcija Ciclosporin 5 mg/ml
injekcija Doripenem 5 mg/ml
natrijumkorid 0,9% 2262
Kompatibilan
injekcija Ciclosporin 1 mg/ml
injekcija Insulin aspart 1 UI/ml
natrijumkorid 0,9% 1508
Kompatibilan
injekcija Ciclosporin 2 mg/ml
injekcija Magnesium sulfate 30 mg/ml
glukoza 5% 291
Neposredne oborine inkompatibilan
injekcija Ciclosporin 5 mg/ml
Parenteralna prehrana (lipidima) 1415
Kompatibilan
injekcija Ciclosporin 5 mg/ml
injekcija Anidulafungin 0.5 mg/ml
glukoza 5% 1982
Neposredna zamućenost inkompatibilan
injekcija Ciclosporin 50 mg/ml
injekcija Ketamine hydrochloride 50 mg/ml
2109
Neposredne oborine inkompatibilan
injekcija Ciclosporin 50 mg/ml
Ringer laktat 4603
Gubitak zamućenosti inkompatibilan
injekcija Ciclosporin 5 mg/ml
injekcija Amphotericin B cholesteryl sulfate complex 0.83 mg/ml
glukoza 5% 921
Kompatibilan
injekcija Ciclosporin 5 mg/ml
injekcija Ceftaroline fosamil 2,22 mg/ml
glukoza 5% 3249
Kompatibilan
injekcija Ciclosporin 5 mg/ml
injekcija Ceftobiprole medocaril sodium 2 mg/ml
Ringer laktat 2269
Neposredna zamućenost inkompatibilan
injekcija Ciclosporin 5 mg/ml
injekcija Ceftolozane / tazobactam 10/5 mg/ml
natrijumkorid 0,9% 3828
Neposredna zamućenost inkompatibilan
injekcija Ciclosporin 5 mg/ml
injekcija Ceftolozane / tazobactam 10/5 mg/ml
glukoza 5% 3828
Kompatibilan
injekcija Ciclosporin 5 mg/ml
injekcija Doripenem 5 mg/ml
glukoza 5% 2262
Kompatibilan
injekcija Ciclosporin 1 mg/ml
injekcija Insulin aspart 1 UI/ml
glukoza 5% 1508
Neposredna zamućenost inkompatibilan
injekcija Ciclosporin 5 mg/ml
injekcija Isavuconazonium sulfate 1.5 mg/ml
glukoza 5% 3829
Neposredna zamućenost inkompatibilan
injekcija Ciclosporin 5 mg/ml
injekcija Isavuconazonium sulfate 1.5 mg/ml
natrijumkorid 0,9% 3829
Kompatibilan
injekcija Ciclosporin 2,5 mg/ml
Parenteralna prehrana (lipidima) 2730
Neposredna zamućenost inkompatibilan
injekcija Ciclosporin 50 mg/ml
injekcija Amoxicillin sodium / clavulanic acid 100/10 mg/ml
3824
Kompatibilan
injekcija Ciclosporin 1.2 mg/ml
injekcija Cefmetazole sodium 100 mg/ml
čista voda za injektiranje 93
Kompatibilan
injekcija Ciclosporin 5 mg/ml
injekcija Ceftaroline fosamil 2,22 mg/ml
Ringer laktat 3249
Kompatibilan
injekcija Ciclosporin 5 mg/ml
injekcija Cloxacillin sodium 100 mg/ml
čista voda za injektiranje 3012
Kompatibilan
injekcija Ciclosporin
injekcija Dimenhydrinate
2087
Kompatibilan
injekcija Ciclosporin 50 mg/ml
injekcija Ketamine hydrochloride 50 mg/ml
4389
Kompatibilan
injekcija Ciclosporin 5 mg/ml
injekcija Linezolid 2 mg/ml
nijedan 1925
Kompatibilan
injekcija Ciclosporin
Parenteralna prehrana (bezlipidna) 3985
Padavine nakon 4 sata inkompatibilan
injekcija Ciclosporin 5 mg/ml
Parenteralna prehrana (bezlipidna) 301
Kompatibilan
injekcija Ciclosporin 2.5 mg/ml
Parenteralna prehrana (lipidima) 3948
Neposredne oborine inkompatibilan
injekcija Ciclosporin 1 mg/ml
injekcija Aciclovir sodium 5 mg/ml
natrijumkorid 0,9% 2335
Zamućenost u 4 sata inkompatibilan
injekcija Ciclosporin 10 mg/ml
injekcija Atenolol 0,1 mg/ml
natrijumkorid 0,9% 4698
Kompatibilan
injekcija Ciclosporin 5 mg/ml
injekcija Caspofungin acetate 0,7 mg/ml
natrijumkorid 0,9% 2247
Kompatibilan
injekcija Ciclosporin 0,5 mg/ml
injekcija Ciprofloxacin lactate 2 mg/ml
natrijumkorid 0,9% 289
Kompatibilan
injekcija Ciclosporin 0,5 mg/ml
Parenteralna prehrana (lipidima) 2730
Kompatibilan
injekcija Ciclosporin 1 mg/ml
Parenteralna prehrana (lipidima) 2730
Kompatibilan
injekcija Ciclosporin 5 mg/ml
injekcija Ceftobiprole medocaril sodium 2 mg/ml
glukoza 5% 2269
Kompatibilan
injekcija Ciclosporin 1.27 mg/ml
injekcija Defibrotide 8 mg/ml
natrijumkorid 0,9% 3728
Kompatibilan
injekcija Ciclosporin 5 mg/ml
injekcija Lansoprazole 0.55 mg/ml
natrijumkorid 0,9% 1625
Kompatibilan
injekcija Ciclosporin 1 mg/ml
injekcija Meropenem 10 mg/ml
glukoza 5% 2335
Neposredna zamućenost inkompatibilan
injekcija Ciclosporin 5 mg/ml
injekcija Telavancin hydrochloride 7.5 mg/ml
Ringer laktat 3254
Kompatibilan
injekcija Ciclosporin
glukoza 5% 3229
Kompatibilan
injekcija Ciclosporin 5 mg/ml
injekcija Meropenem 50 mg/ml
čista voda za injektiranje 4319
Proizvodnja mjehurića plina inkompatibilan
injekcija Ciclosporin 1 mg/ml
injekcija Mycophenolate mofetil 5,9 mg/ml
glukoza 5% 2192
Kompatibilan
injekcija Ciclosporin 5 mg/ml
injekcija Telavancin hydrochloride 7.5 mg/ml
glukoza 5% 3254
Kompatibilan
injekcija Ciclosporin
natrijumkorid 0,9% 3229
Kompatibilan
injekcija Ciclosporin 5 mg/ml
injekcija Micafungin 1.5 mg/ml
natrijumkorid 0,9% 2108
Neodređena nespojivost inkompatibilan
injekcija Ciclosporin 50 mg/ml
injekcija N-acetylcysteine 200 mg/ml
nijedan 3766
Neposredne oborine inkompatibilan
injekcija Ciclosporin 50 mg/ml
injekcija Naloxone hydrochloride 0.4 mg/ml
nijedan 3408
Neposredne oborine inkompatibilan
injekcija Ciclosporin
injekcija Pantoprazole sodium
2090
Kompatibilan
injekcija Ciclosporin 5 mg/ml
injekcija Propofol 10 mg/ml
nijedan 300
Neposredne oborine inkompatibilan
injekcija Ciclosporin 50 mg/ml
injekcija Salbutamol sulfate 1 mg/ml
nijedan 3216
Kompatibilan
injekcija Ciclosporin 5 mg/ml
injekcija Sargramostim 6 §15 µg/ml
natrijumkorid 0,9% 891
Neposredna zamućenost inkompatibilan
injekcija Ciclosporin 5 mg/ml
injekcija Tedizolid phosphate 0.8 mg/ml
natrijumkorid 0,9% 3827
Neposredna zamućenost inkompatibilan
injekcija Ciclosporin 5 mg/ml
injekcija Telavancin hydrochloride 7,5 mg/ml
natrijumkorid 0,9% 3254
Neposredne oborine inkompatibilan
injekcija Ciclosporin 50 mg/ml
injekcija Thiopental sodium 25 mg/ml
natrijumkorid 0,9% 3767

  Mentions Légales