Senaste uppdateringen :
18/03/2026
Immunsuppressivum   Ciclosporin  
injektion
ögondroppar Oral lösning Salvor
Lösningars stabilitet Stabilitet i blandningar Faktorer som påverkar stabiliteten Kompatibilitet Administreringssätt Hänvisningar pdf
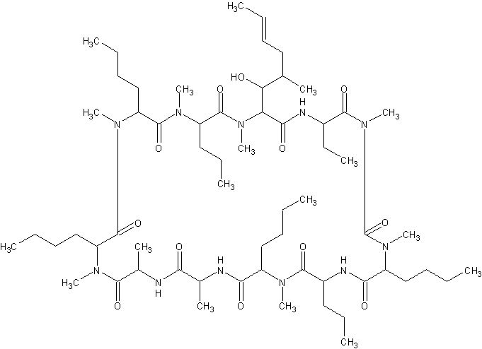
   Molekylstruktur  

Varunamn   Varunamn     

Angivna handelsnamn på läkemedel är enbart vägledande då formulering inklusive hjälpämnen kan variera mellan länder och tillverkare

Cyclosporine Förenta Staterna, Kanada
Graftin Indien
Sandimmum Argentina, Australien, Belgien, Chile, Colombia, Danmark, Finland, Förenade Arabemiraten, Grekland, Iran, Irland, Island, Italien, Luxemburg, Malaysia, Marocko, Mexiko, Norge, nya Zeeland, Österrike, Peru, Polen, Portugal, Saudi-Arabien, Schweiz, Spanien, Storbritannien, Sverige, Tunisien, Turkiet, Tyskland, Ungern
Kompatibilitet   injektion   Kompatibilitet : Ciclosporin              
Den här skärmen visar kompatibiliteten eller inkompatibiliteten med, i detta fall, typen av inkompatibilitet (utfällning, färgförändring, modifiering av en emulsion, etc.). De kompatibiliteter som visas här är oftast endast fysiska, varvid den kemiska stabiliteten för varje molekyl sällan utvärderas. Utvärderingen av dessa blandningar studerades för att överväga möjligheten för Y-platsadministrering till patienten. Dessa data kan inte användas för att göra blandningar i förväg i påsar eller sprutor. Denna typ av information finns på skärmen "Stabilitet i blandning".
Substans Lösningsmedel Hänvisningar
Kompatibel
injektion Ciclosporin 2.5 mg/ml
Parenteral nutrition (binär blandning) 3948
Kompatibel
injektion Ciclosporin 5 mg/ml
injektion Ceftaroline fosamil 2,22 mg/ml
Natriumklorid 0,9 % 3249
Kompatibel
injektion Ciclosporin 5 mg/ml
injektion Ceftobiprole medocaril sodium 2 mg/ml
Natriumklorid 0,9 % 2269
Kompatibel
injektion Ciclosporin 5 mg/ml
injektion Doripenem 5 mg/ml
Natriumklorid 0,9 % 2262
Kompatibel
injektion Ciclosporin 1 mg/ml
injektion Insulin aspart 1 UI/ml
Natriumklorid 0,9 % 1508
Kompatibel
injektion Ciclosporin 2 mg/ml
injektion Magnesium sulfate 30 mg/ml
Glukos 5 % 291
Omedelbar nederbörd Oförenlig
injektion Ciclosporin 5 mg/ml
Parenteral nutrition (med lipider) 1415
Kompatibel
injektion Ciclosporin 5 mg/ml
injektion Anidulafungin 0.5 mg/ml
Glukos 5 % 1982
Omedelbar grumlighet Oförenlig
injektion Ciclosporin 50 mg/ml
injektion Ketamine hydrochloride 50 mg/ml
2109
Omedelbar nederbörd Oförenlig
injektion Ciclosporin 50 mg/ml
Ringer-laktatlösning 4603
Förlust av grumlighet Oförenlig
injektion Ciclosporin 5 mg/ml
injektion Amphotericin B cholesteryl sulfate complex 0.83 mg/ml
Glukos 5 % 921
Kompatibel
injektion Ciclosporin 5 mg/ml
injektion Ceftaroline fosamil 2,22 mg/ml
Glukos 5 % 3249
Kompatibel
injektion Ciclosporin 5 mg/ml
injektion Ceftobiprole medocaril sodium 2 mg/ml
Ringer-laktatlösning 2269
Omedelbar grumlighet Oförenlig
injektion Ciclosporin 5 mg/ml
injektion Ceftolozane / tazobactam 10/5 mg/ml
Natriumklorid 0,9 % 3828
Omedelbar grumlighet Oförenlig
injektion Ciclosporin 5 mg/ml
injektion Ceftolozane / tazobactam 10/5 mg/ml
Glukos 5 % 3828
Kompatibel
injektion Ciclosporin 5 mg/ml
injektion Doripenem 5 mg/ml
Glukos 5 % 2262
Kompatibel
injektion Ciclosporin 1 mg/ml
injektion Insulin aspart 1 UI/ml
Glukos 5 % 1508
Omedelbar grumlighet Oförenlig
injektion Ciclosporin 5 mg/ml
injektion Isavuconazonium sulfate 1.5 mg/ml
Glukos 5 % 3829
Omedelbar grumlighet Oförenlig
injektion Ciclosporin 5 mg/ml
injektion Isavuconazonium sulfate 1.5 mg/ml
Natriumklorid 0,9 % 3829
Kompatibel
injektion Ciclosporin 2,5 mg/ml
Parenteral nutrition (med lipider) 2730
Omedelbar grumlighet Oförenlig
injektion Ciclosporin 50 mg/ml
injektion Amoxicillin sodium / clavulanic acid 100/10 mg/ml
3824
Kompatibel
injektion Ciclosporin 1.2 mg/ml
injektion Cefmetazole sodium 100 mg/ml
Vatten för injektion 93
Kompatibel
injektion Ciclosporin 5 mg/ml
injektion Ceftaroline fosamil 2,22 mg/ml
Ringer-laktatlösning 3249
Kompatibel
injektion Ciclosporin 5 mg/ml
injektion Cloxacillin sodium 100 mg/ml
Vatten för injektion 3012
Kompatibel
injektion Ciclosporin
injektion Dimenhydrinate
2087
Kompatibel
injektion Ciclosporin 50 mg/ml
injektion Ketamine hydrochloride 50 mg/ml
4389
Kompatibel
injektion Ciclosporin 5 mg/ml
injektion Linezolid 2 mg/ml
Ingen 1925
Kompatibel
injektion Ciclosporin
Parenteral nutrition (binär blandning) 3985
Utfällning efter 4 timmar Oförenlig
injektion Ciclosporin 5 mg/ml
Parenteral nutrition (binär blandning) 301
Kompatibel
injektion Ciclosporin 2.5 mg/ml
Parenteral nutrition (med lipider) 3948
Omedelbar nederbörd Oförenlig
injektion Ciclosporin 1 mg/ml
injektion Aciclovir sodium 5 mg/ml
Natriumklorid 0,9 % 2335
Grumlighet på 4 timmar Oförenlig
injektion Ciclosporin 10 mg/ml
injektion Atenolol 0,1 mg/ml
Natriumklorid 0,9 % 4698
Kompatibel
injektion Ciclosporin 5 mg/ml
injektion Caspofungin acetate 0,7 mg/ml
Natriumklorid 0,9 % 2247
Kompatibel
injektion Ciclosporin 0,5 mg/ml
injektion Ciprofloxacin lactate 2 mg/ml
Natriumklorid 0,9 % 289
Kompatibel
injektion Ciclosporin 0,5 mg/ml
Parenteral nutrition (med lipider) 2730
Kompatibel
injektion Ciclosporin 1 mg/ml
Parenteral nutrition (med lipider) 2730
Kompatibel
injektion Ciclosporin 5 mg/ml
injektion Ceftobiprole medocaril sodium 2 mg/ml
Glukos 5 % 2269
Kompatibel
injektion Ciclosporin 1.27 mg/ml
injektion Defibrotide 8 mg/ml
Natriumklorid 0,9 % 3728
Kompatibel
injektion Ciclosporin 5 mg/ml
injektion Lansoprazole 0.55 mg/ml
Natriumklorid 0,9 % 1625
Kompatibel
injektion Ciclosporin 1 mg/ml
injektion Meropenem 10 mg/ml
Glukos 5 % 2335
Omedelbar grumlighet Oförenlig
injektion Ciclosporin 5 mg/ml
injektion Telavancin hydrochloride 7.5 mg/ml
Ringer-laktatlösning 3254
Kompatibel
injektion Ciclosporin
Glukos 5 % 3229
Kompatibel
injektion Ciclosporin 5 mg/ml
injektion Meropenem 50 mg/ml
Vatten för injektion 4319
Produktion av gasbubblor Oförenlig
injektion Ciclosporin 1 mg/ml
injektion Mycophenolate mofetil 5,9 mg/ml
Glukos 5 % 2192
Kompatibel
injektion Ciclosporin 5 mg/ml
injektion Telavancin hydrochloride 7.5 mg/ml
Glukos 5 % 3254
Kompatibel
injektion Ciclosporin
Natriumklorid 0,9 % 3229
Kompatibel
injektion Ciclosporin 5 mg/ml
injektion Micafungin 1.5 mg/ml
Natriumklorid 0,9 % 2108
Ospecificerad inkompatibilitet Oförenlig
injektion Ciclosporin 50 mg/ml
injektion N-acetylcysteine 200 mg/ml
Ingen 3766
Omedelbar nederbörd Oförenlig
injektion Ciclosporin 50 mg/ml
injektion Naloxone hydrochloride 0.4 mg/ml
Ingen 3408
Omedelbar nederbörd Oförenlig
injektion Ciclosporin
injektion Pantoprazole sodium
2090
Kompatibel
injektion Ciclosporin 5 mg/ml
injektion Propofol 10 mg/ml
Ingen 300
Omedelbar nederbörd Oförenlig
injektion Ciclosporin 50 mg/ml
injektion Salbutamol sulfate 1 mg/ml
Ingen 3216
Kompatibel
injektion Ciclosporin 5 mg/ml
injektion Sargramostim 6 §15 µg/ml
Natriumklorid 0,9 % 891
Omedelbar grumlighet Oförenlig
injektion Ciclosporin 5 mg/ml
injektion Tedizolid phosphate 0.8 mg/ml
Natriumklorid 0,9 % 3827
Omedelbar grumlighet Oförenlig
injektion Ciclosporin 5 mg/ml
injektion Telavancin hydrochloride 7,5 mg/ml
Natriumklorid 0,9 % 3254
Omedelbar nederbörd Oförenlig
injektion Ciclosporin 50 mg/ml
injektion Thiopental sodium 25 mg/ml
Natriumklorid 0,9 % 3767

  Mentions Légales